Yöneylem Araştırması Final 9. Deneme Sınavı
Toplam 20 Soru1.Soru
Ele alınan problemin hedeflerinin herhangi bir önceliğinin bulunmaması ve sapma değişkenlerinin de eşit önemli olması halinde ortaya çıkan programlama türüne ne ad verilir?
|
Öncelikli-ağırlıklı çok hedefli programlama |
|
Tek hedefli programlama |
|
Eşit ağırlıklı çok hedefli programlama |
|
Öncelikli çok hedefli programlama |
|
Ağırlıklı çok hedefli programlama |
Eşit Ağırlıklı Çok Hedefli Programlama: Ele alınan problemin hedeflerinin herhangi bir önceliğinin bulunmaması ve sapma değişkenlerinin de eşit önemli olması halinde ortaya çıkan programlama türüdür.
2.Soru
Aşağıdakilerden hangisi katkı parametresidir?
|
R |
|
B |
|
B-1 |
|
R |
|
CB |
Verilen bir problemde, katkı parametreleri olan CB veya CR değişebilir.
3.Soru
Hedef programlamada belirlenen amaç için başarmak istenilen kesin ifadeye ne ad verilir?
|
Amaç |
|
Sistem Kısıtları |
|
Pozitif Sapma değişkenleri |
|
Hedef Kısıtları |
|
Hedef |
Hedef: Belirlenen amaç için başarmak istenilen kesin ifadedir. Bir başka deyişle, istenilen seviye ile belirlenmiş bir amaçtır (Ignizio, 1976). Örneğin, “toplam aylık envanter taşıma maliyetlerini en küçüklemek” bir amaç iken, bu maliyetlerin en fazla 10.000. olması bir hedeftir. “Yıllık karı en büyüklemek” de bir amaç iken, yıllık karın en az 2.000.000. olması da bir başka hedeftir.
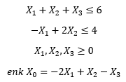
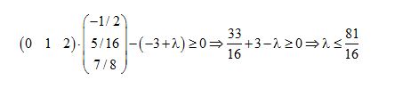
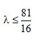
4.Soru
Bir enküçükleme problemi için geliştirilen matematiksel model ve karşı gelen eniyi çözüm tablosu verilmiştir.

X2’nin amaç fonksiyonundaki katkısında olabilecek λ kadar değişimin hangi aralığı için eldeki çözüm korunur?
|
|
|
|
|
|
|
|
|
|
6.Soru
Bir otomobil firmasında yıllık üretim miktarı en az 20.000 adet olmalı hedefine karşılık yıllık üretim miktarının 15.000 adet olması durumunda negatif sapma değişkeni değeri kaçtır?
|
3 |
|
5000 |
|
15000 |
|
35000 |
|
50000 |
2. Negatif sapma değişkeni : Hedefin ne kadar altında kalındığını gösteren değişkendir. Örneğin, bir otomobil firmasında yıllık üretim miktarı en az 30.000 adet olmalı hedefine karşılık yıllık üretim miktarının 28.000 adet olması durumunda, hedef miktarına ulaşılamadığından, negatif sapma değişkeni değeri 2.000 adet olacaktır.
8.Soru
Bir doğrusal karar modelinin Simpleks Algoritması ile çözümü sırasında, temel değişkenlerin temel olmayan değişkenler cinsinden ifadesi olan amaç fonksiyonu tabloda kaçıncı satırdır?
Bir doğrusal karar modelinin Simpleks Algoritması ile çözümü sırasında, temel değişkenlerin temel olmayan değişkenler cinsinden ifadesi olan amaç fonksiyonu tabloda kaçıncı satırdır?
|
Birinci |
|
İkinci |
|
Üçüncü |
|
Dördüncü |
|
Beşinci |
Bir doğrusal karar modelinin Simpleks Algoritması ile çözümü sırasında, temel değişkenlerin temel olmayan değişkenler cinsinden ifadesi olan amaç fonksiyonu (tabloda birinci satır) satırında yer alır.
9.Soru
I. Üretim merkezi sayısı “m” ve talep merkezi sayısı “n” dir.
II. Her dengelenmiş ulaştırma modelinin en az bir uygun çözümü vardır.
III. Ulaştırma modelinde, sunum ve talep miktarlarına karşı gelen değerler tamsayı ise, karar değişkenleri her temel uygun çözümde tamsayı değer alır.
IV. Dengelenmiş ulaştırma modelinin bir temel uygun çözümünde en fazla (n -1) adet değişken temelde yer alabilir.
Yukarıdakilerden hangileri dengelenmiş ulaştırma modelinin taşıdığı özelliklerdendir?
|
I ve II |
|
II ve III |
|
III ve IV |
|
I, II ve III |
|
I, II ve IV |
Dengelenmiş ulaştırma modelinin taşıdığı üç önemli özellik vardır:
1. Üretim merkezi sayısı “m” ve talep merkezi sayısı “n” iken, dengelenmiş ulaştırma modelinin bir temel uygun çözümünde en fazla (m + n -1) adet değişken temelde yer alabilir.
2. Her dengelenmiş ulaştırma modelinin en az bir uygun çözümü olup, eniyi çözümü de vardır.
3. Ulaştırma modelinde, sunum ve talep miktarlarına karşı gelen değerler tamsayı ise, karar değişkenleri her temel uygun çözümde, dolayısıyla eniyi çözümde tamsayı değer alır.
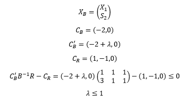
10.Soru
Bir enküçükleme problemi için geliştirilen matematiksel model ve karşı gelen eniyi çözüm tablosu verilmiştir.

X1’in amaç fonksiyonundaki katkısında olabilecek λ kadar değişimin hangi aralığı için eldeki çözüm korunur?
|
|
|
|
|
|
|
|
|
|
11.Soru
Katkı parametreleri için açıklanan duyarlılık analizinde olduğu gibi aşağıdaki hangi değişimin çözümünün korunduğu bulunabilir?
|
Alt taraf sabitlerin deki değişim |
|
Üst taraf sabitlerin deki değişim |
|
Sağ taraf sabitlerin deki değişim |
|
Sol taraf sabitlerin deki değişim |
|
Çapraz taraf sabitlerin deki değişim |
Katkı parametreleri için açıklanan duyarlılık analizinde olduğu gibi, sağ taraf sabitlerin deki değişimin hangi aralığı için eldeki çözümün korunduğu da bulunabilir.
12.Soru
Amaç fonksiyonunu etkileyen kısıtlayıcıların bulunması ve bunların doğrusal eşitlik ve eşitsizlikler olarak verilmesi durumunda, amaca en iyi bir biçimde ulaşılması için, kıt kaynakların en verimli şekilde kullanılmasını sağlayan bir matematiksel yönteme ne ad verilir?
|
Karar Modeli |
|
Seçenekli Çözüm |
|
Uygun Çözüm |
|
Uç Nokta Teoremi |
|
Doğrusal Programlama |
Bir önceki bölümde görüldüğü gibi, çok farklı alanlardaki problemler doğrusal programlamada, karar modeli olarak modellenebilmektedir. Doğrusal programlama, amaç fonksiyonunu etkileyen kısıtlayıcıların bulunması ve bunların doğrusal eşitlik ve eşitsizlikler olarak verilmesi durumunda, amaca en iyi bir biçimde ulaşılması için, kıt kaynakların en verimli şekilde kullanılmasını sağlayan bir matematiksel yöntemdir. Böyle bir programlama sürecinde, önce gerekli veriler toplanır, probleme ait bir model kurulur ve modelin çözümü araştırılır. Bu çözümler, kurulmuş olan modelin yapısına bağlı olarak tek bir çözüm ya da seçenekli çözüm olabilir. Hatta modelin hiçbir çözümü bulunmayabilir.
Bir doğrusal programlama modelinin tüm kısıtlarını sağlayan her X vektörüne, uygun çözüm denir.
Uç(köşe) Nokta Teoremi: Grafik üzerinde Uygun Çözüm Alanının (UÇA) farklı iki noktasının dışbükey birleşimi olarak yazılamayan noktası varsa, buna uç nokta veya köşe nokta denir. Düzlemde bir üçgenin, bir karenin köşeleri uç (köşe) noktadır.
13.Soru
Bir doğrusal programlama modelinin tüm kısıtlarını sağlayan her X vektörü aşağıdakilerden hangisidir?
|
Uygun çözüm |
|
Dışbükey |
|
Uç nokta teoremi |
|
Optimum çözüm |
|
Sınırsız çözüm |
Bir doğrusal programlama modelinin tüm kısıtlarını sağlayan her X vektörüne uygun çözüm denir.
14.Soru
Grafik yöntemi modeldeki karar değişkeni kaç olduğunda tercih edilen bir yöntemdir?
|
3 |
|
5 |
|
1 |
|
4 |
|
2 |
Grafik yöntemi, modeldeki karar değişkeni sayısı iki olduğunda tercih edilen bir yöntemdir.
15.Soru
8x1+6x2<=24, 4x1+6x2>=12 ve x1,x2>=0 kısıtlarının gösterdiği uygun çözüm alanı aşağıdakilerin hangisinde gösterilmiştir?
|
|
|
|
|
|
|
|
|
|
Önce kısıtlar eşitlik haline dönüştürülür. 8x1+6x2=24, 4x1+6x2=12
Sonra ise sırasıyla x1 ve x2'ye sıfır değerleri verilerek doğruların apsis ve ordinatı kestiği noktalar bulunur.
8x1+6x2=24 doğrusu x2=0 için 8x1=24 x1=3 (3,0)noktasında apsisi ve x1=0 için 6x2=24 x2=4 (0,4) noktasında ordinatı kesmektedir.
4x1+6x2=12 doğrusu x2=0 için 4x1=12 x1=3 (3,0) noktasında apsisi ve x1=0 için 6x2=12 x2=2 (0,2) noktasında ordinatı kesmektedir.
Kısıtlar arasındaki büyüklük küçüklük ilişkisi ele alındığında doğru cevap B olarak bulunur.
16.Soru
Problemde kullanılan parametrelerin değerlerinin bilinmesi anlamına gelen ve doğrusal karar modeli oluşturmak için gerekli olan özellik aşağıdakilerden hangisidir?
|
Bölünebilirlik |
|
Belirlilik |
|
Toplanabilirlik |
|
Oranlılık |
|
Saydamlık |
Sorudaki tanım, doğrusal karar modellerinin belirlilik özelliğine işaret etmektedir. Doğru cevap B'dir.
17.Soru
- Karar değişkenleri kontrol edilebilen değişkenlerdir
- İstatistikte değişken Xi-tesadüfi değişkendir
- Hem karar değişkenleri hem tesadüfi değişkenler serbestçe değer alabilir
Karar değişkeni ve tesadüfi değişken ile ilgili yukarıdaki bilgilerden hangisi/hangileri doğrudur?
|
Yalnız I |
|
I ve II |
|
Yalnız II |
|
II ve III |
|
I, II ve III |
Karar değişkeni: bir problemde karar vericinin kontrolü altında olup da, değeri araştırılan eylemler karar değişkenleridir. Karar değişkenlerine kontrol edilebilen değişkenlere denir. İstatistikte değişken Xi-tesadüfi değişkendir ve karar değişkenlerinin aksine serbestçe değerler alabilen değişken olarak tanımlanır. Doğru cevap B'dir.
18.Soru
Matematiksel modeli aşağıda verilen bir hedef programlama problemi için aşağıdakilerden hangisi yanlıştır?
|
Problemin iki amacı vardır. |
|
Modele ait dört sistem kısıtı vardır. |
|
Birinci hedef büyük eşitlik yönündedir. |
|
İkinci hedef küçük eşitlik yönündedir. |
|
Her üç hedef de enküçüklenmek istenmektedir. |
Problemin üç ayrı indisli sapma değişkeni ve dolayısıyla üç amacı bulunmaktadır. Bu nedenle doğru yanıt a) seçeneğidir.
19.Soru
İki amaçlı bir hedef programlama modelinde, birinci hedef büyük eşitlik (≥) yönündedir. İkinci hedef ise eşitlik halinde tam olarak sağlanması istenen bir hedeftir. İkinci hedef için negatif sapma değişkeni pozitif sapma değişkeninden 2 kat daha önemlidir. Aynı zamanda, ikinci hedefin birinci hedeften dört kat daha önemli olduğu saptanmıştır. Bu koşullar altında amaç fonksiyonu aşağıdakilerden hangisinde doğru kurulmuştur?
|
|
|
|
|
|
|
|
|
|
20.Soru
Bir doğrusal karar modeli için aşağıdaki durumların hangisinin olması durumunda doğrusallık bozulur?
|
Karar değişkenlerinin sürekli değişken olması |
|
Karar değişkenlerinin tam sayılı olması |
|
Karar değişkenlerinin her reel değeri alabilmesi |
|
Problemde kullanılan parametrelerin değerlerinin bilinmesi |
|
Kullanılan kaynak miktarının değişken değeri ile doğru orantılı olması |
Doğrusal karar modelinde karar değişkenleri sürekli değişkenler olmakta ve bölünebilirlik özelliği gereği karar değişkenleri her reel değeri alabilmektedir. Belirlilik özelliğine göre, problemde kullanılan parametrelerin değerlerinin bilinmesi ve oranlılık özelliği gereğince kullanılan kaynak miktarının değişkenin değeri ile aynı olması gerekmektedir. Karar değişkenlerinin tam sayılı olması durumunda doğrusallık bozulmaktadır.
-
- 1.SORU ÇÖZÜLMEDİ
- 2.SORU ÇÖZÜLMEDİ
- 3.SORU ÇÖZÜLMEDİ
- 4.SORU ÇÖZÜLMEDİ
- 5.SORU ÇÖZÜLMEDİ
- 6.SORU ÇÖZÜLMEDİ
- 7.SORU ÇÖZÜLMEDİ
- 8.SORU ÇÖZÜLMEDİ
- 9.SORU ÇÖZÜLMEDİ
- 10.SORU ÇÖZÜLMEDİ
- 11.SORU ÇÖZÜLMEDİ
- 12.SORU ÇÖZÜLMEDİ
- 13.SORU ÇÖZÜLMEDİ
- 14.SORU ÇÖZÜLMEDİ
- 15.SORU ÇÖZÜLMEDİ
- 16.SORU ÇÖZÜLMEDİ
- 17.SORU ÇÖZÜLMEDİ
- 18.SORU ÇÖZÜLMEDİ
- 19.SORU ÇÖZÜLMEDİ
- 20.SORU ÇÖZÜLMEDİ