Busıness Fınance Iı Ara 7. Deneme Sınavı
Toplam 20 Soru1.Soru
ABC Corp. has a historical beta of 1.25 and the expected market return is 10%, whereas the risk free rate is 5%. What is the required return of the stockholders of ABC?
|
0.1575 |
|
0.1525 |
|
0.1300 |
|
0.1215 |
|
0.1125 |
k= 0.05 + (0.10–0.05)*1.25= 0.05 + 0.0625=0.1125
2.Soru
I. Surety for a person.
II. Feasibility,
III. Pledge,
IV. Leasing.
Which of the factors listed above is assessed by the banks while deciding on a loan?
|
I, II & III. |
|
Only I. |
|
II, III & IV. |
|
Only II. |
|
I, III & IV. |
Loans are granted by financial institutions after a client presents an application form. Before deciding about providing the loan, financial institutions consider all details of the client’s financial position, the feasibility of their business plans, and they require securing the loan with real estate (pledge), backing it by a third person (surety for a person), by a bank guarantee etc. Therefore, the correct option is A.
3.Soru
Which of the following equations is used to measure WACC?
|
|
|
|
|
|
|
|
|
|
The weighted average cost of capital (WACC) is the average cost of the different types of capital employed by the firm and is measured with the equation below:
where wD is the weight of the debt component and wCE is the weight of the equity component. T is the tax rate and after-tax cost of debt component is calculated by multiplying the before-tax cost of debt (kD) by the tax deductibility. Cost of equity component is denoted as kCE in the above equation. The correct answer is B.
4.Soru
- The basic terms of the bonds
- The total amount of bonds issued
- A description of property used as security
- The repayment arrangements
- The call provisions
- Details of the protective covenants
What does the bond indenture generally include?
|
I and II |
|
I, II and III |
|
III, IV and V |
|
I, III, IV, V and VI |
|
I, II, III, IV, V and VI |
The bond indenture is a legal document. It can run in several hundred pages it generally includes the following provisions:
- The basic terms of the bonds
- The total amount of bonds issued
- A description of property used as security
- The repayment arrangements
- The call provisions
- Details of the protective covenants
As can also be understood from the information given, the correct answer is E. The bond indenture generally includes all the provisions given in the options.
5.Soru
Which one of the following is a ratio measuring the profitability on equity capital and it is the division of the net income by the total common equity?
|
Capital asset pricing model |
|
Bond yield |
|
Dividend payout ratio |
|
Return on equity |
|
Return on investment |
The ROE is a ratio measuring the profitability on equity capital and it is the division of the net income by the total common equity.
6.Soru
- It requires projected cash flows are discounted at an appropriate discount rate.
- It tells the length of time it takes to get initial cash outflow back.
- It is a simple, easy to use and easy to understand technique.
- It has the assumption that cash flow occurs at a constant rate throughout the year.
Which of the above are among the characteristics of payback period decision-making technique?
|
I and II |
|
III and IV |
|
I, II and III |
|
I, II and IV |
|
II, III and IV |
Payback period (II) tells the length of time it takes to get initial cash outflow back, that is the period from the initial cash outflow to the time when the investment project’s cash inflows add up to the initial cash outflow. This technique is (III) a simple, easy to use and easy to understand technique. The assumption is that (IV) cash flow occurs at a constant rate throughout the year. The fact that projected cash flows are discounted at an appropriate discount rate and their present values are used to calculate payback period is in effect in discounted payback period technique. The correct answer is E.
7.Soru
- Estimating cash flow
- Adding up the discounted cash flows to obtain NPV
- Discounting cash flows by an appropriate discount rate
- Projecting the risk differences of different projects
Which of the following are the steps of calculating net present value?
|
I and III |
|
II and IV |
|
I, II and III |
|
I, II and IV |
|
II, III and IV |
Tthere are three steps of calculating NPV:
- Estimating cash flows,
- Discounting cash flows by an appropriate discount rate,
- Adding up the discounted cash flows to obtain NPV.
The correct answer is C.
8.Soru
Which of the following is the real option correspondent of the effect of stock's price in stock options in the valuation of a stock option?
Which of the following is the real option correspondent of the effect of stock's price in stock options in the valuation of a stock option?
|
The same risk-free interest rate in real options |
|
Uncertainty of the project’s cash flows in real options |
|
The effect of the project’s useful life in real options |
|
The effect of the present value of cash flows from the investment opportunity in real options |
|
The effect of the present value of the delayed capital expenditure of future cost savings in real options |
Real options are priced in a similar way like stock options which is called real option valuation (ROV). Peterson and Fabozzi (2002: 153) list five factors that are important in the valuation of a stock option. Then, they list the real option correspondent of each factor as follows.
- Effect of stock’s price in stock options is the effect of the present value of cash flows from the investment opportunity in real options.
- Effect of the exercise (strike) price of the option in stock options is the effect of the present value of the delayed capital expenditure of future cost savings in real options.
- Effect of the risk-free interest rate in stock options is the same risk-free interest rate in real options.
- Effect of the volatility of stock’s price in stock options is uncertainty of the project’s cash flows in real options.
- Effect of the time remaining to the expiration of the option in stock options is the effect of the project’s useful life in real options.
The correct answer is D.
9.Soru
- No fixed dividend payment obligation
- Irredeemable
- Obstacles in Managemeent
- Limited Income to Investor
- Loss of Leverage Contributions
Which of the above are disadvantages of common stock?
|
I and II |
|
II and III |
|
I, III and IV |
|
I, II, III and IV |
|
II, III, IV and V |
Common stock is the most common security to provide finance for the corporate. This way of financing has the following disadvantages:
Irredeemable: Common stock cannot be redeemed during the lifetime of the company. Over capitalization is a very costly phenomenon financially so all companies must search for optimum capital structure.
Obstacles in management: Common stock holders can put obstacles in management by manipulation and organizing themselves. The managers may use their power in such ways that are against the wealth of the shareholders.
Limited income to investor: The investors who desire to invest in safe securities with a fixed income have no attraction for equity shares.
Loss of leverage contributions: When the company raises capital only with the help of equity, the company cannot take advantage of leverage
“Irredeemable”, “Obstacles in management”, “Limited income to investor” and “Loss of leverage contributions” are disadvantages of common stock, so the correct answer is E. “No fixed dividend payment obligation” is one of the advantages of common stock.
Advantages of common stock are as follows:
Permanent sources of finance: Common stock is a long-term permanent nature of sources of finance; hence, it can be used for long-term or fixed capital requirement of the business.
No fixed dividend payment obligation: The issuance of common stock does not create any obligation to pay a fixed rate of dividend. If the company earns a profit, owners are eligible for profit, they are eligible to get dividend otherwise, and they cannot claim any dividend from the company.
Lower cost of capital: Cost of capital is the major factor, which affects the value of the company. A company with a strong capital base can secure funding less costly as the capital base is considered as a buffer for risks buy the debtors.
Retained earnings: When the company have more share capital, it will be suitable for retained earning which is the fewer cost sources of finance while compared to other sources of finance.
10.Soru
Which of the following is not among the other factors that affect the capital structure?
|
The age of the market |
|
The political stability |
|
The firm's level of leverage |
|
The demand volatility |
|
The legal status of the firm |
There are other factors that affect the capital structure. The political stability (economic environment-specific factors), the demand volatility (industry-specific factors), the legal status of the firm and the firm's level of leverage (firm-specific factors) are among these factors. The correct answer is A.
11.Soru
Which of the followings is not among the possible costs considering long-term loans?
|
Covenant compliance fees. |
|
Arrangement fees. |
|
Lease. |
|
Professional advice. |
|
Interest. |
Project finance transactions are complex undertakings, they have higher costs of borrowing when compared to conventional financing and the negotiation of the financing and operating agreements is time-consuming. The costs applicable loans can be in the forms of:
• interest
• arrangement fees
• covenant compliance costs
• professional advice.
Therefore, the correct option is C.
12.Soru
- Classical Loans
- Revolving Credits
- Bank Overdraft
- Project Loans
- Syndication Loans
Which of the above are the loans which are based on the same principle?
|
I and II |
|
II and III |
|
II and V |
|
III and IV |
|
IV and V |
According to the type of drawing and paying back, the loans are categorized as classical, revolving credits, bank overdraft, project loans, and syndication loans.
- With “classical” loans, after the drawing phase, the principal is paid gradually or by a single payment until a zero balance is achieved together with the interest for the period.
- With revolving credits, a limit of credit is set on the credit account of the borrower and both limits of credit and the due date are determined in a loan agreement. From concluding a loan contract till maturity date the borrower can draw the credit repeatedly within the limit.
- The bank overdraft is based on the same principle as the revolving loans, but the limit of the credit is set as a debit of a company’s current account. If the limit is overdrawn, the borrower pays a penalty interest rate. Loans are granted by financial institutions after a client presents an application form.
- The main medium and long term funding provided by banks are in the form of Project Finance. Project finance is the process of financing a specific economic unit that the sponsors create, in which creditors share much of the venture’s business risk and funding is obtained strictly for the project itself.
- Syndication loans are credits granted by a group of banks to a borrower. In a syndication loan, two or more banks agree jointly to make a loan to a borrower.
As can also be understood from the information given “the bank overdraft” is based on the same principle as “the revolving loans”, so the correct answer is B.
13.Soru
- Stockholders
- Sales volume
- Per-unit price
- Input costs
- Competition
Which of the above are among the factors affecting the business risk?
|
I, II and III |
|
II, III and IV |
|
I, II, III and IV |
|
I, II, III and V |
|
II, III, IV and V |
The business risk is related to the uncertainty in the business operations of the firm. Business risk is influenced by numerous factors, including sales volume, per-unit price, input costs, competition, the overall economic conditions and etc. If not diversified, the stockholders bear both the business risk and the financial risk of the company. The correct answer is E.
14.Soru
- Projecting the cost of debt and equity in order to quantify the WACC
- Identifying a capital structure maximizing the firm value
- Deducting debt from the value of the firm to measure the value of the equity and the stock price
- Evaluating shareholders’ wealth
- Capitalizing the forecasted free cash flows at the calculated WACC to determine the firm value
In which of the following is the order of analysis in estimating the optimal capital structure given correctly?
- Projecting the cost of debt and equity in order to quantify the WACC
- Identifying a capital structure maximizing the firm value
- Deducting debt from the value of the firm to measure the value of the equity and the stock price
- Evaluating shareholders’ wealth
- Capitalizing the forecasted free cash flows at the calculated WACC to determine the firm value
In which of the following is the order of analysis in estimating the optimal capital structure given correctly?
|
1-2-4-3-5 |
|
2-4-1-3-5 |
|
2-1-4-5-3 |
|
4-1-2-3-5 |
|
4-2-1-5-3 |
Estimating the optimal capital structure requires a careful analysis with repetitions. The managers normally start with a trial capital structure and (4) evaluate shareholders’ wealth. They continue the same practice until they (2) identify a capital structure maximizing the firm value. At each trial, (1) the cost of debt and equity are projected in order to quantify the WACC. Then, (5) the forecasted free cash flows are capitalized at the calculated WACC to determine the firm value. As a final step, (3) debt is deducted from the value of the firm to measure the value of the equity and the stock price. In practice, we can utilize the earnings per share (EPS) analysis to determine the shareholders’ wealth:
The correct answer is E.
15.Soru
... refers to the process of evaluating and selecting long-term investments which are consistent with the firm’s main objective of maximizing shareholders’ wealth.
Which one of the following completes the sentence?
|
Capital budgeting |
|
Investment |
|
Capital expenditure |
|
Cash flow |
|
Payback period |
Capital budgeting refers to the process of evaluating and selecting long-term investments which are consistent with the firm’s main objective of maximizing shareholders’ wealth.
16.Soru
XYZ Corp. borrows $200,000 as a bank loan at an annual interest rate of 10%. The company pays 25% corporate tax rate. What is the after-tax rate of borrowing for XYZ Corp.?
|
0.025 |
|
0.05 |
|
0.075 |
|
0.1 |
|
0.15 |
After-tax kD=kD*(1-T)
After-tax kD=0.10*(1-0.25)= 0.075
17.Soru
- Debt is not an ownership interest in the firm.
- The corporation’s payment of interest on debt is considered a cost of doing business and is fully tax deductible.
- Creditors do not generally have voting power.
- Dividends paid to stockholders are tax deductible.
- Unpaid debt is a liability of the firm.
Which of the statements above in terms of debt and equity are correct?
|
I and II |
|
I and III |
|
I, II and IV |
|
I, II, III and V |
|
II, III, IV and V |
Securities issued by corporations may be classified roughly as equity securities or debt securities. The main differences between debt and equity are the following:
- Debt is not an ownership interest in the Creditors do not generally have voting power.
- The corporation’s payment of interest on debt is considered a cost of doing business and is fully tax deductible. Dividends paid to stockholders are not tax deductible.
- Unpaid debt is a liability of the If it is not paid, the creditors can legally claim the assets of the firm. This action can result in liquidation or reorganization, two of the possible consequences of bankruptcy. Thus, one of the costs of issuing debt is the possibility of financial failure. This possibility does not arise when equity is issued.
As can also be understood from the information given, the statements in the options; I, II, III and V are correct, so the correct answer is D. The statement “Dividends paid to stockholders are tax deductible.” is not correct, because dividends paid to stockholders are not tax deductible.
18.Soru
What is a Eurobond?
|
International bonds are issued in a country by a domestic entity. |
|
A Eurobond is a bond issued in multiple countries but denominated in a single currency and those bonds have become an important way to raise capital for many international companies and governments. |
|
A Eurobond is denominated in returnsas the company's stock other than that, of its country of issue. |
|
Eurobond the stock market is unpredictable it is very easy to lose money by investing in the wrong stocks. |
|
A Eurobond is an national bond that is denominated in a currency not native to the country where it is issued. |
A Eurobond is a bond issued in multiple countries but denominated in a single currency and those bonds have become an important way to raise capital for many international companies and governments. A Eurobond was once defined as a debt instrument underwritten by an international syndicate and offered for sale immediately in a number of countries. Eurobonds are issued outside the restrictions that apply to domestic offerings and are syndicated and traded mostly from London. However, trading can and does take place anywhere there are buyers and sellers.
19.Soru
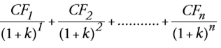
What is the formula above used to calculate?
|
The value of the debts |
|
The value of the firm |
|
The sum of the firm's equity |
|
The net working capital of the firm |
|
The average cost of capital of the firm |
The value of the firm is measured as the sum of the value of the firm’s equity and the value of the debt:
The correct answer is B.
20.Soru
How it is possible to measure level of the fixed costs in total costs?
|
Return of invested capital |
|
Weighted average cost of capital |
|
Total liabilites and equity |
|
Working capital |
|
Degree of operating leverage |
The level of the fixed costs in total costs which are measured by the degree of-operating leverage.
-
- 1.SORU ÇÖZÜLMEDİ
- 2.SORU ÇÖZÜLMEDİ
- 3.SORU ÇÖZÜLMEDİ
- 4.SORU ÇÖZÜLMEDİ
- 5.SORU ÇÖZÜLMEDİ
- 6.SORU ÇÖZÜLMEDİ
- 7.SORU ÇÖZÜLMEDİ
- 8.SORU ÇÖZÜLMEDİ
- 9.SORU ÇÖZÜLMEDİ
- 10.SORU ÇÖZÜLMEDİ
- 11.SORU ÇÖZÜLMEDİ
- 12.SORU ÇÖZÜLMEDİ
- 13.SORU ÇÖZÜLMEDİ
- 14.SORU ÇÖZÜLMEDİ
- 15.SORU ÇÖZÜLMEDİ
- 16.SORU ÇÖZÜLMEDİ
- 17.SORU ÇÖZÜLMEDİ
- 18.SORU ÇÖZÜLMEDİ
- 19.SORU ÇÖZÜLMEDİ
- 20.SORU ÇÖZÜLMEDİ