Coğrafi Bilgi Sistemleri İçin Temel Geometri Final 4. Deneme Sınavı
Toplam 17 Soru1.Soru
Aşağıdakilerden hangisi aynı değerdeki sürekli verileri birbirine bağlayan çizgilere veya eğrilere verilen isimdir?
|
Slope |
|
Raster |
|
Hücre |
|
Bakı |
|
Kontur |
Konturlar aynı değerdeki sürekli verileri birbirine bağlayan çizgilere veya eğrilere verilen isimdir
2.Soru
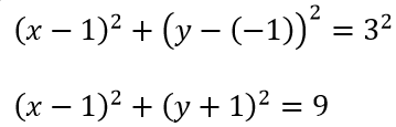
(1,-1) noktasına 3 birim uzaklıktaki noktaların kümesi aşağıdaki denklemlerden hangisini sağlar?
|
|
|
|
|
|
|
|
|
|
Düzlemde verilen bir noktaya eşit uzaklıkta bulunan noktaların kümesi çember belirtir. Dolayısıyla merkezi (1,-1) ve yarıçapı 3 birim olan çember denklemini yazacak olursak,
Denklemini elde ederiz.
3.Soru
İki yüzey arasındaki değişen hacimleri hesaplamak için, aşağıdaki hangi yüzey analizi kullanılmaktadır?
|
Bakı analizi
|
|
Hacim analizi
|
|
Görünürlük analizi
|
|
Kabartma analizi |
|
Kontur analizi |
Hacim Analizi, iki yüzey arasındaki değişen hacimleri hesaplamak için kullanılmaktadır.
4.Soru
Aşağıdakilerden hangisi yanlıştır?
|
Dörtgenlerin kenar orta noktalarının birleştirilmesiyle bir paralelkenar oluşur. |
|
Düzgün çokgenin bütün kenarları ve bütün açılarının ölçüleri eşittir. |
|
Paralelkenarda köşegenler birbirine eşittir. |
|
Deltoitte köşegenler birbirini dik keser. |
|
Eşkenar dörtgen aynı zamanda bir paralelkenardır. |
Doğru cevap C seçeneğidir. Diğerleri doğrudur.
5.Soru
Güneşin bulunduğu konumun açısal yönüne verilen isim nedir?
|
Azimut |
|
İrtifa |
|
Görünürlük |
|
Hacim |
|
Kontur |
Güney açışı (Azimut), güneşin bulunduğu konumun açısal yönüne verilen isimdir, kuzeyden başlayarak saat yönünde ölçülür. 0’dan 360 dereceye kadar değer alır. 90 derece güney açısı doğuyu gösterir. Varsayılan güney açısı değeri 315 derecedir (Kuzeybatı)
6.Soru
Kabartma için gerekli olan Azimut açısı 315 dercedir. Bu açı aşağıdaki yönlerden hangisini gösterir?
|
Güneybatı |
|
Kuzeydoğu |
|
Kuzeybatı |
|
Doğu |
|
Güneydoğu |
Azimut (Güney Açısı)
Güney açışı, güneşin bulunduğu konumun açısal yönüne verilen isimdir, kuzeyden başlayarak saat yönünde ölçülür. 0’dan 360 dereceye kadar değer alır. 90 derece
güney açısı doğuyu gösterir. Varsayılan güney açısı değeri 315 derecedir (Kuzeybatı)
7.Soru
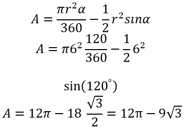
Şekilde taralı olan daire parçasının alanı nedir?
|
|
|
|
|
|
|
|
|
|
Şekildeki kesmenin alanı=(Dilimin Alanı)-(Üçgenin Alanı)
8.Soru
Aşağıdakilerden hangisi yüzey analizlerinden biri değildir?
|
Derece analizleri |
|
Eğim analizleri |
|
Kontur analizleri |
|
Kabartma analizleri |
|
Görünürlük analizleri |
Yüzey analizleri; Eğim, Bakı, Kontur, Kabartma, Görünürlük ve Hacim analizleri olarak sıralanabilir.
9.Soru
Üç boyutlu uzayda (1,4,1) ve (1,1,5) noktaları arasındaki uzaklık aşağıdakilerden hangisine eşittir?
|
4 |
|
5 |
|
6 |
|
7 |
|
8 |
Üç boyutlu uzayda iki nokta arasındaki uzaklık formülünden,olarak elde edilir.
10.Soru
O merkezli çember ; E noktasında teğet ; x = OAE açısı = 30o ; a = 6 birim ; y (= BD uzunluğu) kaç birimdir?
|
5 |
|
6 |
|
7 |
|
8 |
|
9 |
r = OE = a . sin 30 = 6 . 1/2 = 3 ; b = 2 . 3 = 6 . Doğru cevap B'dir.
11.Soru
Aşağıdakilerden hangisi eğim analizi için doğru değildir?
|
her hücreyi komşuları ile kıyaslayarak maksimum değişim miktarının değerini hesaplar. |
|
Çok eğimli yerler yeşil renkle, az eğimli yerler ise kırmızı renkle gösterilmektedir. |
|
Eğim değeri, TIN veya DEM verisinden iki farklı türde hesaplanabilmektedir. |
|
Yükselme değeri mantıksal olarak 90 dereceye yaklaşırsa yükselme yüzdesi değeri sonsuza gider. |
|
Çıktı eğim rasterı iki birim üzerinden hesaplanabilir, derece veya yüzde |
- Her hücreyi komşuları ile kıyaslayarak maksimum değişim miktarının
değerini hesaplar. - Yükselme değeri mantıksal olarak 90 dereceye yaklaşırsa yükselme yüzdesi değeri sonsuza gider.
- Eğim değeri, TIN veya DEM verisinden iki farklı türde hesaplanabilmektedir.
- Çok eğimli yerler kırmızı renkle, az eğimli yerler ise yeşil renkle gösterilmektedir.
- Çıktı eğim rasterı iki birim üzerinden hesaplanabilir, derece veya yüzde olarak...
12.Soru
Kenar sayısı 9 olan konveks bir çokgen, bir köşesinden çizilen köşegen doğrularıyla en fazla kaç tane üçgene ayrılabilir?
|
6 |
|
7 |
|
8 |
|
9 |
|
10 |
Kenar sayısı n olan konveks bir çokgen, bir köşesinden çizilen köşegen doğrularıyla en fazla (n-2) tane üçgene ayrılabilir, demek ki kenar sayısı 9 olan konveks bir çokgen, bir köşesinden çizilen köşegen doğrularıyla en fazla 7 tane üçgene ayrılabilir, dolayısıyla doğru cevap B’dir.
13.Soru
- Kenar sayısı n olan düzgün konveks bir çokgenin her bir iç açısının ölçüsü, α = (n – 2) ⋅180˚/n ’dir.
- Kenar sayısı çift olan düzgün çokgenlerde, karşılıklı kenarlar birbirine paralel ve karşıt köşeleri birleştiren köşegenler açıortaydır.
- Düzgün çokgenlerde bir köşeden çizilen ardışık köşegenlerin arasındaki açı ölçüleri birbirine eşittir.
- Düzgün çokgenlerde iç açıortaylarının kesim noktası ile kenar orta dikmelerinin kesim noktası aynı noktadır ve bu nokta, düzgün çokgenin iç teğet çemberinin ve çevrel çemberinin merkezi olup aynı zamanda ağırlık merkezidir.
Düzgün çokgenlerle ilgili yukarıda yer alan ifadelerden hangileri doğrudur?
|
I ve II |
|
III ve IV |
|
I, II ve IV |
|
II, III ve IV |
|
I, II, III ve IV |
- Kenar sayısı n olan düzgün konveks bir çokgenin her bir iç açısının ölçüsü,
α = (n – 2) ⋅180˚/n ’dir.
- Kenar sayısı çift olan düzgün çokgenlerde, karşılıklı kenarlar birbirine paralel ve karşıt köşeleri birleştiren köşegenler açıortaydır.
- Düzgün çokgenlerde bir köşeden çizilen ardışık köşegenlerin arasındaki açı ölçüleri birbirine eşittir.
- Düzgün çokgenlerde iç açıortaylarının kesim noktası ile kenar orta dikmelerinin kesim noktası aynı noktadır ve bu nokta, düzgün çokgenin iç teğet çemberinin ve çevrel çemberinin merkezi olup aynı zamanda ağırlık merkezidir.
Bu bilgilerden de anlaşıldığı gibi düzgün çokgenlerle ilgili seçeneklerde yer alan ifadelerin tümü doğrudur, dolayısıyla doğru cevap E’dir.
14.Soru
Aşağıdakilerden hangisi çemberin bir parçasına verilen isimdir?
|
Kiriş |
|
Kesen |
|
Yay |
|
Teğet |
|
Normal |
Çemberin bir parçasına yay denir.
15.Soru
│AB│ uzunluğu 10 cm ve O merkezinden küçük çembere teğettir. Taralı alan kaç cm2’dir?
|
10π |
|
15π |
|
20π |
|
25π |
|
30π |
│AB│ kirişi O merkezli küçük çembere teğet iken Alan = π ( │AB│/2)2’dir. Alan= π ( 10/2)2 = 25 π cm2’dir.
16.Soru
y = 3x + 4 doğrusuna paralel olan ve P(-1, 2) noktasından geçen doğrunun denklemi aşağıdakilerden hangisidir?
|
y = 3x - 5 |
|
y = 3x - 1 |
|
y = 3x + 1 |
|
y = 3x + 3 |
|
y = 3x + 5 |
y = 3x + 4 doğrusuna paralel olan doğrunun eğimi bu doğrunun eğimi ile aynı olup 3'tür. Buradan eğimi 3 olan ve P(-1, 2) noktasından geçen doğrunun denklemi
olarak elde edilir. Buna göre Doğru Cevap E seçeneğidir.
17.Soru
Hacim analizinin kullanım amacı aşağıdakilerden hangisidir?
|
İki yüzey arasındaki değişen hacimleri hesaplamak için kullanılır.
|
|
İki yüzey arasındaki değişen yüksekliği hesaplamak için kullanılır.
|
|
İki yüzey arasındaki değişen kütleyi hesaplamak için kullanılır.
|
|
İki yüzey arasındaki değişen yoğunluğu hesaplamak için kullanılır.
|
|
İki yüzey arasındaki değişen genişliği hesaplamak için kullanılır.
|