Coğrafi Bilgi Sistemleri İçin Temel Geometri Final 6. Deneme Sınavı
Toplam 15 Soru1.Soru
Işık kaynağının ufuk çizgisi üzerindeki eğimi veya açısına ne denir?
|
Güney açısı |
|
Azimut |
|
Görünürlük |
|
Hacim |
|
İrtifa |
İrtifa, ışık kaynağının ufuk çizgisi üzerindeki eğimi veya açısı olarak tanımlanabilir. Birimi derecedir, 0’dan (tam ufuk çizgisi üzerinde) 90’a (tam dik olarak üzerinde) değerler alabilir. Varsayılan değeri ise 45 derecedir.
2.Soru
Aşağıdaki doğrulardan hangisi y=x+1 doğrusuna paralel olan ve (-1,2) noktasından geçen doğrunun denklemidir?
|
y=x+3 |
|
y=2x+1 |
|
y=-x+1 |
|
y=-x+3 |
|
y=-2x-1 |
Aranan doğrunun eğimi paralel doğruların eğimi eşit olacağından ve y=x+1 doğrusunun eğimi 1 olduğundan 1 dir. O halde eğimi ve noktası belli doğru denkleminden aranan doğrunun denklemi
y-2=1(x-(-1))
y=x+3
olarak elde edilir.
3.Soru
ifadesinin sadeleştirilmiş şekli aşağıdakilerden hangisidir?
|
|
|
cos x
|
|
tan x
|
|
cot x |
|
1 |
4.Soru
A(1, 3) ve B(-1, -1) noktalarından geçen doğrunun eğimi aşağıdakilerden hangisidir?
|
-2 |
|
-1 |
|
0 |
|
1 |
|
2 |
A(1, 3) ve B(-1, -1) noktalarından geçen doğrunun eğimi, düşey doğrultuda olan değişimin yatay doğrultuda olan değişime oranı bulunarak hesaplanır. Matematiksel eşitlik olarak;
ile hesaplanır. Buradan ilgili değerler yerine konulduğunda eğim;
olarak elde edilir. Dolayısıyla Doğru Cevap E seçeneğidir.
5.Soru
Aşağıdakilerden hangisi ya da hangileri Görünürlük Analizi ile ilgilidir?
I. Yol çalışmalarında kazı ve dolgu hesaplamaları amacıyla kullanılır.
II. Orman yangınlarını erken tespit etmek için kurulacak kulelere en uygun yer seçimi hesapları yapılır.
III. Yüzeyin kuzeyle yaptığı coğrafi açıdır.
|
Yalnız I
|
|
Yalnız II
|
|
Yalnız III
|
|
I ve II |
|
I ve III |
Orman yangınlarını erken tespit etmek için kurulacak kulelere en uygun yer seçimi hesapları Görünürlük analizi ile yapılır.
6.Soru
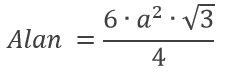
Bir kenar uzunluğu 8 birim olan düzgün altıgenin alanını nedir?
|
96 |
|
|
|
|
|
|
|
192 |
Bir düzgün altıgenin alanı
formülüyle bulunur. Burada a kenar uzunluğudur. O halde alan olur.
7.Soru
ve
noktaları arasındaki uzaklık aşağıdakilerden hangisidir?
|
|
|
|
|
|
|
|
|
|
ve
noktaları arasındaki uzaklık;
olarak hesaplanır. Dolayısıyla Doğru Cevap C seçeneğidir.
8.Soru
O merkezli çember ; R noktasında teğet ; x = OSR açısı = 50o ; y kaç derecedir?
|
32 |
|
28 |
|
24 |
|
20 |
|
16 |
ROS açısı = 90 – 50 = 40 ; y = 40 / 2 = 20 . Doğru cevap D'dir.
9.Soru
Şekildeki ABCD dörtgeninde [AC]⊥[BD] olduğuna göre x uzunluğu nedir?
|
9 |
|
10 |
|
11 |
|
12 |
|
13 |
Aşağıdaki ABCD dörtgeni için [AC] ve [BD] köşegenleri dik kesişiyor ise,
Buna göre verilen problem için
olur.
10.Soru
Merkezi C(4, –3) ve yarıçapı r = 5 birim olan çemberin denklemi aşağıdakilerden hangisidir?
|
|
|
|
|
|
|
|
|
|
Merkezi (h, k) ve yarıçapı r olan çemberin denkleminin
biçiminde ifade edilebilir. Buradan aradığımız Merkezi C(4, –3) ve yarıçapı r = 5 birim olan çemberin denklemi
olarak elde edilir. Dolayısıyla Doğru Cevap B seçeneği olur.
11.Soru
Aynı değerdeki sürekli verileri birbirine bağlayan çizgilere veya eğrilere verilen
isime ne denir?
|
Bakı |
|
Kontur |
|
Tonaj |
|
Eğim |
|
Görünürlük |
Konturlar aynı değerdeki sürekli verileri birbirine bağlayan çizgilere veya eğrilere verilen isimdir. Yükseklik, sıcaklık, nem, kirlilik veya atmosferik basınç için oluşturulabilirler. Çizgiler girdi olarak verilen sabit değerdeki hücreleri birbirine bağlar. Kontur çizgileri sıklıkla izo-çizgileri olarak isimlendirilirler ama aynı zamanda genellikle gösterdikleri değerin ismine göre isimlendirilirler. Örneğin, yükseklik için izohips, basınç için izobar, sıcaklık için izoterm çizgileri şeklinde adlandırılırlar.
12.Soru
A çembere teğet halde, m(CAD) açısı 110° iken, m(ABC) yayının ölçüsü nedir?
|
60° |
|
70° |
|
80° |
|
90° |
|
100° |
Çemberin dış açının ölçüsü, gördüğü yayların ölçülerinin farkının yarısına eşittir.
m(DGF)=(m(ABC) - m(DEF))/2 => 40 =(160 - m(DEF))/2 => m(DEF) =80°’ dir.
13.Soru
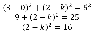
(3,2) ve (0,k) noktaları arasındaki uzaklık 5 birim olduğuna göre k aşağıdakilerden hangisi olabilir?
|
3 |
|
4 |
|
5 |
|
6 |
|
7 |
İki nokta arasındaki uzaklık formülünden,
2-k=4 veya 2-k=-4
Buradan
k=-2 veya k=6
olarak elde edilir.
14.Soru
Yukarıdaki dik üçgenin eğim yüzdesi 100 ise bu üçgenin eğim derecesi aşağıdakilerden hangisidir?
|
30 |
|
35 |
|
40 |
|
45 |
|
60 |
Eğim yüzdesi; derece cinsinden eğim ile 100’ ün çarpımı olduğundan
15.Soru
Aşağıdakilerden hangisi görünürlük analizi konusunda yanlış bilgi olarak verilmiştir?
|
Gözlem noktasından görülemeyen alanlar “0” değerinde, görülebilen alanlar ise “1” değerinde gösterilir. |
|
Görünürlük aracı bir objenin nereden ne kadar görünür olacağını saptamak için |
|
Yeşil hücreler görünen, kırmızı hücreler görünmeyen yerleri gösterir. |
|
Açık renk alanlar daha yüksek yerleri gösterir. |
|
Genel olarak yol çalışmalarında kazı ve dolgu hesaplamaları amacıyla kullanılır. |
Görünürlük (Viewshed)
TIN veya DEM verisi üzerinde işaretlenmiş bir veya birden fazla noktadan/çizgiden görülebilen alanlar bu analizde çıkartılabilmektedir. Şekil 8.17’de görüldüğü gibi gözlem noktasından görülemeyen alanlar “0” değerinde kırmızı renkle, görülebilen alanlar ise “1” değerinde yeşil renkle gösterilmiştir.
Görünürlük girdi rasterındaki bir hücrenin bir veya daha çok gözlem noktasından görülüp görülemediğini saptamaya yarayan araçtır. Çıktı rasterındaki her hücre içerisindeki
değer o konumun kaç gözlemci noktası tarafından görülüp, görülemediğini belirtir. Eğer
bir adet gözlemci noktanız varsa, o nokta tarafından görülebilen her hücre 1 değerini alır. O noktadan görülemeyen tüm hücreler ise 0 değerini alırlar. Gözlemci noktaları, nokta ve doğru içerebilirler. Düğüm ve köşe noktaları da aynı zamanda gözlemci noktaları olarak kullanılabilirler.
Görünürlük aracı bir objenin nereden ne kadar görünür olacağını saptamak için
kullanışlıdır. Mesela su kulelerini belirli bir yere inşa edersek hangi konumlardan görünürler veya yol üzerinden çevrenin görünümü nasıl olacak gibi sorulara cevap bulmanıza yardımcı olur.
Aşağıdaki örnekte bir gözetleme kulesinin görünürlüğü gösterilmiştir. Yükselti rasterı arazinin yüksekliğini gösterirken (açık renk alanlar daha yüksek yerleri), gözetleme kulesi yeşil üçgen şeklinde tanımlanmıştır. Gözetleme kulesinin yüksekliği analiz
sırasında tanımlanabilir. Yeşil hücreler kuleden görünürken, kırmızı hücreler kuleden
görünmezler.
Katman şeffaflığını kullanarak, kabartı rasterını yükseklik rasterınızın altında, üzerlerinde görünürlük rasterı varken gösterebilir ve görünürlük ile arazi arasındaki ilişkiyi analiz edebilirsiniz.