Coğrafi Bilgi Sistemleri İçin Temel Geometri Final 7. Deneme Sınavı
Toplam 18 Soru1.Soru
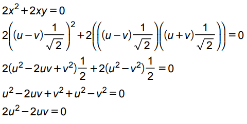
denklemi ile verilen eğri θ = 45 derecelik bir döndürme ile elde edilen uv koordinat sistemine göre yazılırsa oluşacak denklem aşağıdakilerden hangisidir?
|
|
|
|
|
|
|
|
|
|
İki koordinat sistemi arasında geçiş aşağıdaki denklemler yardımı ile kolaylıkla yapılabilir.
θ = 45 derecelik bir döndürme olduğundan;
olarak elde edilir. Bulunan x ve y değerleri verilen denklemde yerine konulduğunda;
olarak elde edilir. Buna göre Doğru Cevap A seçeneği olur.
2.Soru
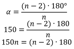
Her bir iç açısı 150 derece olan düzgün çokgen kaç kenarlıdır?
|
6
|
|
8
|
|
10
|
|
12 |
|
14 |
Kenar sayısı n olan düzgün konveks bir çokgenin her bir iç açısının ölçüsü şu şekilde hesaplanır:
180n-150n=360
30n=360
n=12
3.Soru
Hacim analizinde dolgu olan yerler ne renkle gösterilir?
|
Mavi |
|
Yeşil |
|
Kırmızı |
|
Mor |
|
Turuncu |
Kazı olan yerler mavi renkle, dolgu olan yerler ise kırmızı renkle gösterilmiştir.
4.Soru
Aşağıdaki şekilde a=4 cm,b=5 ise k’nin uzunluğu kaç cm olur?
|
3 |
|
4 |
|
5 |
|
6 |
|
7 |
Çemberde teğet kuvvet özelliğinden
dir. O halde
5.Soru
- Dörtgenlerin hem iç açıları toplamı hem de dış açıları toplamı 360°’dir.
- Dörtgenlerde komşu iki iç açıortayın kesişimiyle elde edilen açının ölçüsü, diğer iki iç açının ölçüleri toplamının yarısına eşittir.
- Bir dörtgenin köşegen uzunluklarının toplamı, dörtgenin çevresinden küçük ancak çevrenin yarısından büyüktür.
- Dörtgenlerin alanları, köşegen uzunlukları ve bu köşegenlerin arasındaki açı yardımıyla bulunabilir.
- Dörtgenlerin kenar orta noktalarının birleştirilmesiyle bir paralelkenar oluşur.
Dörtgenler hakkında yukarıda yer alan ifadelerden hangileri doğrudur?
|
I ve II |
|
II, III ve IV |
|
III, IV ve V |
|
I, III, IV ve V |
|
I, II, III, IV ve V |
Dört kenarlı çokgenlere dörtgen denir.
Dörtgenlerin açı özellikleri şunlardır: “Dörtgenlerin hem iç açıları toplamı hem de dış açıları toplamı 360°’dir.”, ve “Dörtgenlerde komşu iki iç açıortayın kesişimiyle elde edilen açının ölçüsü, diğer iki iç açının ölçüleri toplamının yarısına eşittir.”
“Bir dörtgenin köşegen uzunluklarının toplamı, dörtgenin çevresinden küçük ancak çevrenin yarısından büyüktür.” ifadesi dörtgenlerin kenar ve köşegen özelliklerindendir.
“Dörtgenlerin alanları, köşegen uzunlukları ve bu köşegenlerin arasındaki açı yardımıyla bulunabilir.” ve “Dörtgenlerin kenar orta noktalarının birleştirilmesiyle bir paralelkenar oluşur.” ifadeleri de dörtgenlerin alan özelliklerindendir.
Bu bilgilerden de anlaşıldığı gibi dörtgenler hakkında seçeneklerde yer alan ifadelerin tümü doğrudur, dolayısıyla doğru cevap E’dir.
6.Soru
O merkezli çember ; a = |CE| = 4 cm, c = |EB| = 8 cm ; b = |EO| kaç cm’dir?
|
4 |
|
4.5 |
|
5 |
|
5.5 |
|
6 |
r = b + 4 ; b2 + 82 = (b +4)2 ; b2 + 64 = b2 + 8.b + 16 ; 48 = 8.b ; b = 6 . Doğru cevap E'dir.
7.Soru
9 kenarlı bir çokgenin çizilebilmesi için en az kaç açı ve kaç uzunluğunun bilinmesi gerekir?
|
6 açı, 6 uzunluk |
|
7 açı, 6 uzunluk |
|
7 açı, 7 uzunluk |
|
8 açı, 7 uzunluk |
|
8 açı, 8 uzunluk |
Bir çokgenin çizilebilmesi için en az n-1 açı ve n-2 uzunluğunun bilinmesi gerekir. Dolayısıyla cevap D seçeneğidir.
8.Soru
Şekildeki çemberde a=5 cm , b=8 cm ve c=6 cm olduğuna göre d kaç cm olur?
|
5 |
|
|
|
6 |
|
|
|
7 |
İç kuvvet özelliğinden ab=cd
olup, olur.
9.Soru
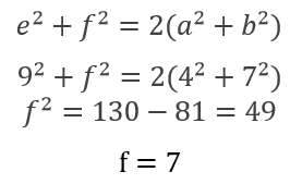
ABCD paralel kenarı için a=4,b=7 ve e=9 ise f nedir?
|
9 |
|
8 |
|
7 |
|
6 |
|
5 |
10.Soru
Kontur çizgileri hangisi için oluşturulamaz?
|
Sıcaklık |
|
Nem |
|
Kirlilik |
|
Gürültü |
|
Yükseklik |
Konturlar aynı değerdeki sürekli verileri birbirine bağlayan çizgilere veya eğrilere verilen isimdir. Yükseklik, sıcaklık, nem, kirlilik veya atmosferik basınç için oluşturulabilirler.
11.Soru
İzoterm, izobar ve izohips kelimeleri aşağıdaki hangi Yüzey Analizi ile ilgilidir?
|
Hacim analizi
|
|
Kontur analizi
|
|
Görünürlük analizi
|
|
Kabartma analizi |
|
Bakı analizi |
Kontur çizgileri sıklıkla izo-çizgileri olarak isimlendirilirler ama aynı zamanda genellikle gösterdikleri değerin ismine göre isimlendirilirler. Örneğin, sıcaklık için izoterm, basınç için izobar, yükseklik için izohips çizgileri şeklinde adlandırılırlar.
12.Soru
3x + 2y - 4 = 0 ve x + y - 3 = 0 doğrularının kesim noktası aşağıdakilerden hangisidir?
|
(-2, 5) |
|
(-1, 4) |
|
(0, 3) |
|
(1, 2) |
|
(2, 1) |
3x + 2y - 4 = 0 ve x + y - 3 = 0 doğrularının eğimleri farklı olduğundan tek noktada kesişirler. Bu doğruların kesim noktası;
olarak hesaplanır. Dolayısıyla kesişim noktası (-2, 5) olarak ifade edildiğinden Doğru Cevap A seçeneği olur.
13.Soru
Girdi rasterındaki bir hücrenin bir veya daha çok gözlem noktasından görülüp görülemediğini saptamaya yarayan araç aşağıdakilerden hangisidir?
Girdi rasterındaki bir hücrenin bir veya daha çok gözlem noktasından görülüp görülemediğini saptamaya yarayan araç aşağıdakilerden hangisidir?
|
Girdi açısı |
|
Bakı |
|
Zirve |
|
Görünürlük |
|
Kabartma |
Görünürlük girdi rasterındaki bir hücrenin bir veya daha çok gözlem noktasından görülüp görülemediğini saptamaya yarayan araçtır. Çıktı rasterındaki her hücre içerisindeki değer o konumun kaç gözlemci noktası tarafından görülüp, görülemediğini belirtir. Eğer bir adet gözlemci noktanız varsa, o nokta tarafından görülebilen her hücre 1 değerini alır. O noktadan görülemeyen tüm hücreler ise 0 değerini alırlar. Gözlemci noktaları, nokta ve doğru içerebilirler. Düğüm ve köşe noktaları da aynı zamanda gözlemci noktaları olarak kullanılabilirler. Yanıt D seçeneğidir.
14.Soru
Tepe noktaları (0, 10) ve (0, –10), odak noktaları (0, 6) ve (0, –6) olan hiperbolün denklemi aşağıdakilerden hangisidir?
|
|
|
|
|
|
|
|
|
|
Tepe ve odak noktaları y ekseni üzerinde olduklarından hiperbolün asal ekseni y eksenidir. Tepe noktalarının orijine uzaklığı b = 10, odak noktalarının ise c = 6’dır. Buradan;
olarak elde edilir. Buradan hiperbolün denklemi;
biçiminde bulunur. Buna göre Doğru Cevap B seçeneğidir.
15.Soru
Aşağıdaki noktalardan hangisi IV. bölgededir?
|
(1,2) |
|
(-1,2) |
|
(3,-2) |
|
(-3,-4) |
|
(5,3) |
(3,-2) noktasının apsisi 1>0 ve ordinatı -2<0 olduğundan IV. bölgededir.
16.Soru
ABCD yamuğu için [AB]∕∕[CD] olduğuna göre x nedir?
|
20 |
|
18 |
|
16 |
|
14 |
|
12 |
Aşağıdaki şekil yardımıyla problemi çözelim
ADE üçgeni ikizkenar üçgen olur ve |AE|=9 dir. O halde |AB|=12 olur.
17.Soru
O merkezli çember ; P noktasında teğet ; x = SOT açısı = STO açısı ; a = OR uzunluğu = RT uzunluğu = 9 birim ; c (= PS uzunluğu) kaç birimdir ?
|
6 . (3)1/2 |
|
5 . (3)1/2 |
|
4 . (3)1/2 |
|
3 . (3)1/2 |
|
2 . (3)1/2 |
m = OSP açısı = 2x ; n = SOP açısı ; OP uzunluğu = a = 8 ; sin x = a / 2a = 1 / 2 ; x = 30o ; m = 60o ; c = a / tan 60 = 9 / (3)1/2 = 3 (3)1/2 . Doğru cevap D'dir.
18.Soru
Şekilde [AB] krişi O merkezli küçük çembere teğet olup uzunluğu 6 cm dir. Buna göre taralı bölgenin alanını kaç olur?
|
|
|
|
|
|
|
|
|
|
-
- 1.SORU ÇÖZÜLMEDİ
- 2.SORU ÇÖZÜLMEDİ
- 3.SORU ÇÖZÜLMEDİ
- 4.SORU ÇÖZÜLMEDİ
- 5.SORU ÇÖZÜLMEDİ
- 6.SORU ÇÖZÜLMEDİ
- 7.SORU ÇÖZÜLMEDİ
- 8.SORU ÇÖZÜLMEDİ
- 9.SORU ÇÖZÜLMEDİ
- 10.SORU ÇÖZÜLMEDİ
- 11.SORU ÇÖZÜLMEDİ
- 12.SORU ÇÖZÜLMEDİ
- 13.SORU ÇÖZÜLMEDİ
- 14.SORU ÇÖZÜLMEDİ
- 15.SORU ÇÖZÜLMEDİ
- 16.SORU ÇÖZÜLMEDİ
- 17.SORU ÇÖZÜLMEDİ
- 18.SORU ÇÖZÜLMEDİ