Coğrafi Bilgi Sistemleri İçin Temel Geometri Final 8. Deneme Sınavı
Toplam 8 Soru1.Soru
Şekildeki x açısının değeri nedir?
|
60 |
|
70 |
|
80 |
|
90 |
|
100 |
Çemberde çevre açının ölçüsü, aynı yayı gören merkez açının ölçüsünün yarısıdır. Buna göre x açısı x=2(40)=80 derece olur
2.Soru
- Herhangi bir çokgenin iç bölgesinde alınan, herhangi iki noktanın birleşmesiyle oluşan doğru parçası çokgeni kesiyor ise bu tür çokgenlere içbükey çokgen (konkav) denir.
- Herhangi bir çokgenin iç bölgesinde alınan, herhangi iki noktanın birleşmesiyle oluşan doğru parçası çokgeni kesmiyor ise bu tür çokgenlere dışbükey çokgen (konveks) denir.
- Konveks bir çokgenin kenarlarının uzatılarak birleştirilmesiyle oluşan şekle yıldızıl çokgen denir.
- Tüm kenarlarının uzunlukları, iç açıları ve dış açıları eşit olan dışbükey çokgene düzgün çokgen denir.
- Karşılıklı kenarları birbirine paralel veya karşılıklı kenarları birbirine eşit olan dörtgene paralelkenar denir.
Çokgenler hakkında yukarıda yer alan ifadelerden hangileri doğrudur?
|
I ve III |
|
IV ve V |
|
I, III ve IV |
|
II, III, IV ve V |
|
I, II, III, IV ve V |
- Herhangi bir çokgenin iç bölgesinde alınan, herhangi iki noktanın birleşmesiyle oluşan doğru parçası çokgeni kesiyor ise bu tür çokgenlere içbükey çokgen (konkav) denir.
- Herhangi bir çokgenin iç bölgesinde alınan, herhangi iki noktanın birleşmesiyle oluşan doğru parçası çokgeni kesmiyor ise bu tür çokgenlere dışbükey çokgen (konveks) denir.
- Konveks bir çokgenin kenarlarının uzatılarak birleştirilmesiyle oluşan şekle yıldızıl çokgen denir.
- Tüm kenarlarının uzunlukları, iç açıları ve dış açıları eşit olan dışbükey çokgene düzgün çokgen denir.
- Karşılıklı kenarları birbirine paralel veya karşılıklı kenarları birbirine eşit olan dörtgene paralelkenar denir.
Bu bilgilerden de anlaşıldığı gibi soruda yer alan ifadelerin tümü doğrudur, dolayısıyla doğru cevap E’dir.
3.Soru
Aşağıdakilerden hangisi konveks çokgenler için doğru değildir?
|
Kenar sayısından bağımsız olarak konveks çokgenlerin dış açıları toplamı 360˚’dir. |
|
Kare ve dikdörtgen hariç, n kenarlı bir konveks çokgenin iç açılarından en az (n-3) tanesi geniş açıdır. |
|
Konveks bir çokgende bir köşeden çizilebilecek köşegenlerin sayısı en fazla (n-1) tanedir. |
|
N kenarlı konveks bir çokgende çizilebilecek köşegen sayısı en fazla n(n-3)/2’dir. |
|
Kenar sayısı n olan bir konveks çokgenin çizilebilmesi için (2n-3) tane elemanı bilinmelidir. |
Konveks Çokgenlerin Özellikleri
• Kenar sayısından bağımsız olarak konveks çokgenlerin dış açıları toplamı 360˚’dir.
• Kare ve dikdörtgen hariç, n kenarlı bir konveks çokgenin iç açılarından en az (n-3) tanesi geniş açıdır.
• Konveks bir çokgende bir köşeden çizilebilecek köşegenlerin sayısı en fazla (n-3) tanedir.
• n kenarlı konveks bir çokgende çizilebilecek köşegen sayısı en fazla n(n-3)/2’dir.
• Kenar sayısı n olan bir konveks çokgenin çizilebilmesi için (2n-3) tane elemanı bilinmelidir. Bu elemanlardan en az (n-2) tanesi uzunluk, en çok (n-1) tanesi açı olmalıdır.
4.Soru
Tepe noktası orijinde ve odak noktası (0, –2) olan parabolün denklemi aşağıdakilerden hangisidir?
|
|
|
|
|
|
|
|
|
|
Odak noktasının koordinat bileşenlerine baktığımızda x = 0 olduğunu görüyoruz. Buradan parabolün odak noktasının y ekseni üzerinde olduğu sonucuna varabiliriz. Tepe noktası orijinde ve odak noktasının ordinatı y = –2 olduğundan parabol denklemini
olarak elde edilir. Buna göre Doğru Cevap B seçeneği olur.
5.Soru
Eğim ile ilgili aşağıda verilenlerden hangileri doğrudur? Eğim fonksiyonu, her hücreyi komşuları ile kıyaslayarak maksimum değişim miktarının değerini hesaplar. Eğim değeri, TIN veya DEM verisinden iki farklı türde hesaplanabilmektedir. Yalnızca yüzde cinsinden ifade edilir. Hesaplanmasında dikey ve yatay mesafe ile ilgili verilerden yararlanılır.
|
I-II |
|
I-II-III |
|
I-II-IV |
|
II-III-IV |
|
I-II-III-IV |
Eğim fonksiyonu, her hücreyi komşuları ile kıyaslayarak maksimum değişim miktarının değerini hesaplar.
Eğim değeri, TIN veya DEM verisinden iki farklı türde hesaplanabilmektedir. TIM yüzde (%) cinsinden, DEM ise derece (o) cinsinden raster verisi olarak üretilebilir.
Yüzde cinsinden eğim, düşey mesafenin yatay mesafeye oranının yüzde olarak ifadesidir. Derece cinsinden eğim ise düşey mesafenin yatay mesafeye oranının tanjant açısıyla ifade edilmesi anlamına gelir.
Yanıt C seçeneğidir.
6.Soru
Düzlemde (-1,1) ile (1,2) noktalarından geçen doğrunun eğimi kaçtır?
|
2 |
|
|
|
0 |
|
|
|
-2 |
Düzlemde iki noktadan geçen doğrunun eğimi, koordinatları farkının apsisleri farkına bölümüdür. O halde eğim, olarak bulunur.
7.Soru
Aşağıdaki doğrulardan hangisi 2
|
y=-2x+1 |
|
|
|
y=x+2 |
|
y=-x+4 |
|
|
Verilen doğruyu olarak ifade edersek, verilen doğrunun eğimi
olarak elde ederiz. Dik doğruların eğimleri çarpımı -1 olacağından aradığımız doğrunun eğimi -2 olacaktır. Eğimi -2'dir.
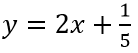
8.Soru
Aşağıdaki doğrulardan hangisi y=3x+1 doğrusuna paraleldir?
|
y=2x+1 |
|
y=-3x+1 |
|
y=2x-2 |
|
y=3x+2 |
|
y=1-4x |
Paralel doğruların eğimleri eşittir. Verilen doğrunun eğimi 3’tür. Eğimi 3 olan doğru ise D seçeneğinde verilen y=3x+2 doğrusudur.