Coğrafi Bilgi Sistemleri İçin Temel İstatistik Ara 1. Deneme Sınavı
Toplam 20 Soru1.Soru
Standart normal eğrilerde, Aritmetik ortalamanın iki yanında -2? ile +2? noktaları arasında kalan alan, tüm eğri alanının yüzde kaçını kapsar?
|
% 65 |
|
%68,3 |
|
%99,7 |
|
%95,5 |
|
%100 |
Standart normal eğrilerde, Aritmetik ortalamanın iki yanında -2? ile +2? noktaları arasında kalan alan, tüm eğri alanının %95,5'ini kapsar.
2.Soru
Aşağıda güven aralığı ile ilgili verilen bilgilerden hangisi yanlıştır?
|
Güven aralığı ne kadar geniş olursa tahmin ana kütlesine o kadar yakın olur. |
|
Güven aralığının daralması, örnek kütle için hesaplanacak standart hatanın küçük olmasına bağlıdır. |
|
Güven aralığının daralması, güven seviyesinin küçük seçilmesine bağlıdır. |
|
Güven aralığının sınırları ana kütleden alınacak n birimlik her örnek kütle için değişebilir. |
|
Uygulamada birçok araştırmacı güven seviyesi olarak %99 veya %95 tercihinde bulunmaktadır. |
Güven aralığı ne kadar dar olursa tahmin ana kütlesine o kadar yakın olur.
3.Soru
Bir seride en çok gözlenen (tekrarlanan) değere veya frekansı en büyük olan değere ne ad verilir?
|
Medyan |
|
Kareli Ortalama |
|
Mod |
|
Aritmetik Ortalama |
|
Harmonik Ortalama |
Bir seride en çok gözlenen (tekrarlanan) değere veya frekansı en büyük olan değere Mod denir.
4.Soru
Herhangi bir uygulamada güven seviyesi %99'dan %95'e düştüğünde aşağıdakilerden hangisi gerçekleşmektedir?
|
Güven aralığında değişme olmaz. |
|
Güven aralığının çarpıklığı artar |
|
Güven aralığı daralır. |
|
Güven aralığı genişler. |
|
Güven aralığınının basıklığı artar. |
Güven seviyesi %99’dan %95’e düştüğünde, güven aralığı daralır.
5.Soru
Aşağıdaki durumlardan hangisinde tamsayım yerine örneklemeye başvurmak daha uygun olur?
|
Araştırmaya ayrılan süre kısıtlı değilse |
|
Ana kütle çok sayıda birimden oluşuyorsa |
|
Araştırmaya ayrılan bütçe sınırlı değilse |
|
Ana kütle mekansal olarak çok geniş bir alana yayılıyorsa |
|
Araştırma sürecinde birimlerin zarar görme olasılığı yok ise |
Ana kütlenin sonsuz veya sonlu fakat çok sayıda birimden oluştuğu durumlarda örneklemeye başvurmak daha uygundur.
6.Soru
Bir istatistik dersinde hoca:
"Aşağıdaki yöntemler konumuz olan örnekleme yönteminin yararlı yönleridir:
- Ana kütledeki her birimin eşit seçilme şansı vardır
- Ana kütle çok büyük ve karmaşık değilse seçme işlemi kolaydır
- Örnek kütle ile yap›lan istatistiksel işlemlerde ağırlıklandırma yapmaya gerek
olmaz."
diyorsa aşağıdaki örnekleme yöntemlerinden hangisini anlatıyordur?
|
Basit Rassal Örnekleme |
|
Sistematik Rassal Örnekleme |
|
Küme Örnekleme |
|
Tabakalı Örnekleme |
|
Kota Örnekleme |
A
7.Soru
İki ayrı ana kütlenin birincisinin aritmetik ortalaması µ1 ve ikincisininki µ2 olarak ele alınırsa, iki ana kütle ortalamaları arasındaki farkları için aşağıdaki yorumlardan hangisi yanlıştır?
|
µ1 - µ2 = + ise birinci ana kütlenin ortalaması ikinciden büyüktür. |
|
µ1 - µ2 = - ise birinci ana kütlenin ortalaması ikinciden küçüktür. |
|
µ1 - µ2 = 0 ise birinci ana kütlenin ortalaması ile ikinci ana kütlenin ortalaması arasında fark vardır. |
|
µ1 - µ2 = 0 ise birinci ana kütlenin ortalaması ile ikinci ana kütlenin ortalaması arasında fark yoktur. |
|
µ1 - µ2 = 1 ise birinci ana kütlenin ortalaması ikinciden büyüktür. |
µ1 - µ2 = 0 ise birinci ana kütlenin ortalaması ile ikinci ana kütlenin ortalaması arasında fark yoktur. Bu nedenle bu şık yanlıştır.
8.Soru
"Sınıftaki öğrencilerin boyları" değişkeni nasıl bir değişkendir?
|
Sürekli Değişken |
|
Kesikli Değişken |
|
Sözel Değişken |
|
Niteliksel Değişken |
|
Bağımlı Değişken |
"Sınıftaki öğrencilerin boyları" değişkeni araya farklı değerler alabildiği için Sürekli Değişkendir.
9.Soru
Bir kağıt baskı fabrikasında 30 dakikada ortalama 2 kağıt telef olmaktadı. 30 dakikada 1 adet kağıdın telef olma olasılığı yüzde kaçtır?
|
%27, 07 |
|
%26, 06 |
|
%25, 07 |
|
%20 |
|
%21 |
A
10.Soru
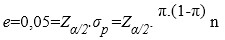
Bir yazar kitabının benzer kitaplar içerisindeki okunma oranının %20 olduğunu kanıtlamak istemektedir. Örnek oranı gerçek ana kütle oranndan ± 0,05 (%5) uzaklıkta olmak üzere %99 güvenirlikle emin olabilmek için ne büyüklükte örnekleme yapmak gerekir?
|
200 |
|
400 |
|
300 |
|
40 |
|
20 |
%99 güven seviyesi için,
ve buradan
olur. Bu durumda, örnek kütle büyüklüğü,
11.Soru
Bir İngilizce kursuna katılan bireylerin kursa verilen derslere devam oranı ortalaması % 75 ise devamsızlık oranı aşağıdakilerden hangisidir?
|
% 25 |
|
%75 |
|
%65 |
|
%80 |
|
%85 |
%90
12.Soru
Örneklemelerle elde edilen ham verilerin, elde edildikleri ya da gözlendikleri sıra ile veya küçükten büyüğe ya da büyükten küçüğe sıralanması ile oluşturulan seriye ne ad verilir?
|
Nitel Seri |
|
Basit Seri |
|
Sınıflandırılmış Seri |
|
Gruplandırılmış Seri |
|
Bileşik Seri |
Örneklemelerle elde edilen ham verilerin, elde edildikleri ya da gözlendikleri sıra ile veya küçükten büyüğe ya da büyükten küçüğe sıralanması ile oluşturulan seriler basit serilerdir.
13.Soru
Aşağıdakilerden hangisi sonsuz kütleye örnektir?
|
Anadolu üniversitesindeki öğrenci sayısı |
|
Marmara denizinde yaşayan canlılar |
|
Bir toplu konut projesinde inşaatı tamamlanmış konutlar |
|
Bir otomobil fabrikasında gelecek yıl 20.000 otomobil üretilmesinin planlanması |
|
Bir top kumaşın parçalara ayrılması |
Anadolu üniversitesindeki öğrenci sayısı gerçek kütledir. Gerçek birimlerden oluşmuş kütleye gerçek kütle denir.
Marmara denizinde yaşayan canlılar sonsuz kütledir. Kütleyi oluşturan birimler sayılamıyorsa bu tür kütlelere sonsuz kütle denir.
Bir toplu konut projesinde inşaatı tamamlanmış konutlar sonlu kütledir. Kütledeki birimler sayılabiliyorsa, yani bir sonu varsa bu tür kütlelere sonlu kütle denir.Bir otomobil fabrikasında gelecek yıl 20.000 otomobil üretilmesinin planlanması varsayımsal kütledir. Henüz oluşmamış ancak oluşturulabilecek birimlerden oluşan kütleye varsayımsal kütle denir. Bir top kumaşın parçalara ayrılması sürekli kütledir. Doğal olmayan birimlerden oluşan, parçalandıkları ve birleştirildiklerinde niteliklerini kaybetmeyen kütlelerdir.
14.Soru
Türkiye İstatistik kurumu tarafınıdan açıklanan enflasyon oranlarını,ülkelerin sosyo ekonomik gelişim düzeyleri, hava sıcaklığı değişimleri, yağışlar yıllara göre verilmek istenmektedir. Bu veri iki sütunlu olarak hangi seriye bağlı olarak gösterilir?
|
Zaman serisi |
|
Nitel seri |
|
Basit seri |
|
Gruplandırılmış seri |
|
Sınıflandırılmış seri |
Zaman serisi: Verilerin çeşitli özellikleri saat, gün, ay ve yıl gibi bir zaman birimine göre sıralanıyor veya dağılımı oluşturuyorsa, iki sütunlu bu serilere zaman serisi denilir. Nitel seri: Sayısal olarak ifade edilemeyen ve sınıfların doğal olarak oluştuğu serilere de nitel seri denilir.
Basit seri: Örneklemelerle elde edilen ham verilerin, elde edildikleri ya da gözlendikleri sıra ile veya küçükten büyüğe ya da büyükten küçüğe sıralanması ile oluşturulan serilerdir.Genellikle örneklenen birim sayısının çok az olduğu durumlarda kullanılan ve tek sütundan oluşan serilerdir.
Gruplandırılmış seri: Ana kütleden örneklenen veri sayısının çok fazla olması durumunda, verilerin belirli aralıklarla gruplandırılıp ve her bir gruba düşen frekans değerlerinin belirlenmesi ile gruplandırılmış seriler elde edilebilir.
Sınıflandırılmış seri: Ana kütleden örneklenmiş verilerin küçükten büyüğe ya da büyükten küçüğe doğru sıralanıp, tekrarlanan verilerin tekrarlanma sayılarının (frekanslarının) bulunması ile elde edilen serilere sınıflandırılmış seri veya frekans serisi denilir.
15.Soru
Üçüncü boğaz köprüsünden 30 dakikada ortalama 2 tır ceza almaktadır. 1 saat içinde 2'den fazla tırın ceza alma olasılığı nedir?
|
0,7619 |
|
0,8619 |
|
0,9619 |
|
0,6619 |
|
0,5619 |
A
16.Soru
Aşağıdaki gruplandırılmış serinin geometrik ortalaması kaçtır?
|
10,5 |
|
10,6 |
|
11,6 |
|
12,5 |
|
12,6 |
ve
olduğundan
bulunur. O halde, gruplandırılmış serinin geometrik ortalaması
olarak elde edilir.
17.Soru
Bir zeytinyağı üretim tesisinde rassal olarak seçilen 26 adet 1 litrelik zeytinyağı şişelerinin ağırlık ortalaması 1,04 kg ve standart sapması 0,18 kg olarak belirlenmiştir. Bir günde üretilen bütün şişelenmiş 1 litrelik zeytinyağlarının ortalama ağırlığının %98 güven seviyesi için güven aralığı kaçtır?
|
|
|
|
|
|
|
|
|
|
ve n=25 < 30' dur.
Güven aralığını hesaplamak için eşitliği kullanılır.
ve
ve serbestlik derecesi
olduğundan Student t çizelgesinden
elde edilir. Ana kütle ortalamasının %98 güven seviyesi için alt ve üst güven sınırlarını şöyle hesaplayabiliriz:
18.Soru
"N" simgesi ile imgelenen kavram aşağıdakilerden hangisidir?
|
Örnek boyutu |
|
Örnek hacmi |
|
Ana kütle hacmi |
|
Standart hata |
|
Ortalama |
Ana kütle birimleri sayısının tamamına ana kütle hacmi veya boyutu denilmekte olup, “N” ile simgelenir.
19.Soru
Büyütme faktörünün (k=N/n) kullanılarak örneklem seçimi yapıldığı rassal örnekleme yöntemi aşağıdakilerden hangisidir?
|
Küme Örnekleme |
|
Tabakalı Örnekleme |
|
Basit Rassal Örnekleme |
|
Tabakalı Örnekleme |
|
Sistematik Rassal Örnekleme |
Sistematik Rassal Örnekleme yönteminde , öncelikle ana kütle 1 den N'e kadar numaralanır. Daha sonra büyütme faktörü k=N/n işlemi ile hesaplanır. Bu işlemler tamamlandıktan sonra sıralanmış ana kütlenin ilk k tane birimi arasından bir tanesi rassal olarak seçilir. Rassal olarak başlangıç noktasının seçilmesinden sonra, ana kütlenin
her k’ıncı birimi örnek kütleye seçilir. Ana kütleden, sistematik olarak “k” eklenerek seçim işlemi, örnek kütle birey sayısına (n) ulaşıncaya kadar devam edilir.
20.Soru
Aşağıdaki ifadelerden hangisi "ortalama" için söylenebilir?
|
Serideki en küçük ile en büyük değerler arasında bulunur. |
|
Serideki en büyük değerdir. |
|
Serideki en küçük değerdir. |
|
Her zaman pozitif bir değer çıkacaktır. |
|
Her zaman negatif bir değer çıkacaktır. |
Bir örnekleme sonucunda toplanan verilerin hangi değer etrafında toplandığını gösteren ve verilerin oluşturduğu seriyi temsil eden rakama “ortalama” denilir. Bu nedenle ortalama, serideki en küçük ve en büyük değerler arasında bulunur.
-
- 1.SORU ÇÖZÜLMEDİ
- 2.SORU ÇÖZÜLMEDİ
- 3.SORU ÇÖZÜLMEDİ
- 4.SORU ÇÖZÜLMEDİ
- 5.SORU ÇÖZÜLMEDİ
- 6.SORU ÇÖZÜLMEDİ
- 7.SORU ÇÖZÜLMEDİ
- 8.SORU ÇÖZÜLMEDİ
- 9.SORU ÇÖZÜLMEDİ
- 10.SORU ÇÖZÜLMEDİ
- 11.SORU ÇÖZÜLMEDİ
- 12.SORU ÇÖZÜLMEDİ
- 13.SORU ÇÖZÜLMEDİ
- 14.SORU ÇÖZÜLMEDİ
- 15.SORU ÇÖZÜLMEDİ
- 16.SORU ÇÖZÜLMEDİ
- 17.SORU ÇÖZÜLMEDİ
- 18.SORU ÇÖZÜLMEDİ
- 19.SORU ÇÖZÜLMEDİ
- 20.SORU ÇÖZÜLMEDİ