Coğrafi Bilgi Sistemleri İçin Temel İstatistik Ara 10. Deneme Sınavı
Toplam 20 Soru1.Soru
Rassal örneklenmiş verilerin aritmetik ortalamaya göre farklarının karelerinin toplamının ortalamasına ne ad verilir?
|
Standart Sapma |
|
Değişkenlik Katsayısı |
|
Varyans |
|
Mod |
|
Medyan |
Rassal örneklenmiş verilerin aritmetik ortalamaya göre farklarının karelerinin toplamının ortalamasına varyans denir.
2.Soru
Aşağıdakilerden hangisi nokta tahmininin sahip olması gereken özelliklerden değildir?
|
Rassallık |
|
Sapmasızlık |
|
Tutarlılık |
|
Etkinlik |
|
Yeterlilik |
A
3.Soru
N birimlik ana kütleden, her birine eşit seçilme şansı verilmesi ile n birimlik örnek seçilmesi işlemine ne denir?
|
Basit Rassal Örnekleme |
|
Sistematik Rassal Örnekleme |
|
Küme Örnekleme |
|
Tabakalı Örnekleme |
|
Dilim Örnekleme |
N birimlik ana kütleden, her birine eşit seçilme şansı verilmesi ile n birimlik örnek seçilmesi işlemine basit rassal örnekleme denir.
4.Soru

Yukarıda gruplandırılmış serinin modu kaçtır?
|
40 |
|
45 |
|
50 |
|
55 |
|
60 |
Mod grubunun frekansı=5
Mod grubundan önceki grubun frekansı=4
Mod grubunun bir sonraki grubun frekansı=3
Mod grubunun alt sınırı=57
Mod grubunun aralığı=9=5-4=1
=5-3=2
Formülde yerlerine koyarsak;
Mod= 57 + (9 * ((5-4)/(5-4)+(5-3)=57+(9*(1/1+2)= 57+(19*1/3)=57+3=60 bulunur.
5.Soru
,ortalaması 48 ve standart sapması 6 olan normal bir dağılım göstermektedir. Buna göre,
değeri hangi standart
değerine dönüşür?
|
1 |
|
1,5 |
|
2 |
|
2,5 |
|
3 |
Gerekli hesaplamalarla bulunur.
6.Soru
Ana kütle birimlerinin seri olarak numaralandırılabildiği ya da kayıt altına alınabildiği durumlarda uygulanan örnekleme yöntemi aşağıdakilerden hangisidir?
|
Sistematik Rasssal Örnekleme |
|
Tabaklı Örnekleme |
|
Dilim Örnekleme |
|
Basit Rassal Örnekleme |
|
Küme Örnekleme |
A
7.Soru
Aşağıdakilerden hangisi ortalamaya göre yayılımın büyüklüğünü gösterir?
|
Aritmetik Ortalama |
|
Medyan |
|
Değişkenlik aralığı |
|
Varyans |
|
Değişkenlik Katsayısı |
Değişkenlik Katsayısı, ortalamaya göre yayılımın büyüklüğünü gösterir
8.Soru
Aşağıdakilerden hangisi sürekli değişkendir?
|
Doğum yeri |
|
Doğum tarihi |
|
Öğrencilerin okul numarası |
|
Yüzölçümü |
|
Medeni hal |
Rassal örneklenen verilerin aldığı değerler bir eksen üzerinde kesintisiz bir şekilde sıralanabiliyorsa ve bir aralıktaki bütün değerleri alabiliyorsa, bu değişkenler sürekli değişkenler olarak tanımlanmaktadır. Sürekli değişkenlerde, iki değişken değeri arasına sonsuz sayıda değer yerleştirmek mümkündür. Buna karşılık, rassal örneklenen bir değişken sadece belirli sayıda değerler alabiliyor ve yalnızca sayılabilir sayıda değerler alıyorsa, bu değişken kesikli değişken olarak tanımlanmaktadır. Kesikli değişkenlerde, iki değişken arasında sonlu sayıda değer bulunmaktadır. Doğum yeri, doğum tarihi, öğrencilerin okul numarası, medeni hal süreksiz değişken iken yüzölçümü sürekli değişkendir.
9.Soru
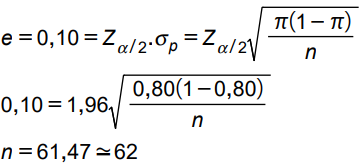
Bir pazarlama şirketi insanların %80'inin giyim ihtiyaçlarını mağazalara gitmeden internet üzerinden aldığını iddia etmektedir. Örnek oranının gerçek ana kütle oranından ±0,10 (%10) uzaklıkta olacağından (ana kütle oranının tahmininde %10 hata yapılacağından) %95 güvenirlikle emin olabilmek için hangi büyüklükte örnekleme yapmak gerekir?
|
62 |
|
58 |
|
49 |
|
45 |
|
30 |
10.Soru
Nitel değişkenin ilgili sınıfının frekansını temsil edecek şekilde dilimlere ayrılmasıyla hazırlanan grafiğe ne ad verilir?
|
Pasta grafiği |
|
Çubuk grafiği |
|
Sütun grafiği |
|
Kartezyen grafiği |
|
Histogram grafiği |
Nitel değişkenin ilgili sınıfının frekansını temsil edecek şekilde dilimlere ayrılmasıyla hazırlanan grafiğe pasta grafiği adı verilir.
11.Soru
Zaman serileri genellikle hangi grafik yöntemle gösterilir?
|
Pasta grafiği |
|
Histogram |
|
Sütun grafiği |
|
Çubuk grafiği |
|
Kartezyen grafiği |
Zaman serileri genellikle kartezyen grafiği ile gösterilir.
12.Soru
Ana kütleden örnek seçiminin rassal olarak yapılmadığı, araştırmacının kendi takdiri veya iradesi ile seçtiği birimlerden oluşan örnekleme aşağıdakilerden hangisidir?
|
Sistematik Örnekleme |
|
Rassal Olmayan Örnekleme |
|
Küme Örnekleme |
|
Tabakalı Örnekleme |
|
Basit Rassal Örnekleme |
Ana kütleden örnek seçiminin rassal olarak yapılmadığı, araştırmacının kendi takdiri veya iradesi ile seçtiği birimlerden oluşan örnekleme rassal olmayan örneklemedir.
13.Soru
Örneklenen veri toplamı 235 ve aritmetik ortalaması 47 ise örneklenen veri sayısı kaçtır?
|
5 |
|
6 |
|
4 |
|
3 |
|
2 |
47*5=235
14.Soru
Bir lisedeki çocukların gelişimini incelemek amacı ile boyları araştırılmak istenilmiştir. Rasgele seçilen 25 öğrencinin boyları ölçülmüş ve boylarının ortalaması 1.72 m, varyansı 0.18 olarak belirlenmiştir. %99 güven seviyesinde anakütle ortalamasının güven aralığı nedir?
|
14,8-19,6 |
|
1,04-1,09 |
|
1,48-1,96 |
|
1,58-1,86 |
|
15,8-18,6 |
15.Soru
Bir cep telefonu satıcısı firmaya gelen müşterilerden rassal olarak seçilen 100 tanesinden 70 ‘inin A marka cep telefonunu tercih ettikleri saptanmıştır. Cep telefonu satın alanlarda A markayı tercih edenlerin oranı için % 95 güven düzeyinde güven aralığı aşağıdakilerden hangisidir?
|
AGS= 0,60 ÜGS=0,80 |
|
AGS= 0,61 ÜGS=0,79 |
|
AGS= 0,40 ÜGS=0,79 |
|
AGS= 0,50 ÜGS=0,50 |
|
AGS= 0,60 ÜGS=0,79 |
16.Soru
Aşağıda frekanslarla çoğunlukları belirtilmiş insanların belli bir gıda maddesi için aylık yaptıkları harcama miktarları gruplandırılmış seri olarak verilmiştir. İnsanların bu gıda maddesi için yaptıkları harcamanının geometrik ortalaması kaçtır?
|
42,8 |
|
40,8 |
|
39 |
|
38,2 |
|
43,2 |
ln G= 104/28= 3,71
G= 40,8
17.Soru
Ana kütlede yer alan bütün birimler üzerinden bilgi elde ediliyorsa yapılan işleme ne ad verilir?
|
Tam sayım |
|
Örnekleme |
|
Değişken |
|
İstatistik |
|
Evren |
Ana kütlede yer alan bütün birimler üzerinden bilgi elde ediliyorsa yapılan işlem tam sayım olarak adlandırılmaktadır.
18.Soru
Ana kütleyi oluşturan birimlerin listelenemediği durumlarda veya coğrafi olarak geniş bir alana yayılmış birimler hakkında araştırma yapıldığı durumlarda maliyeti azaltmak için kullanılan örnekleme yöntemi aşağıdakilerden hangisidir?
|
Küme Örnekleme |
|
Dilim Örnekleme |
|
Basit Rassal Örnekleme |
|
Sistematik Rassal Örnekleme |
|
Tabaklı Örnekleme |
a
19.Soru
Pil üreten bir fabrikada üretim sürecinden rassal olarak alınan 25 pilin ömür süresi ortalaması 4 saat ve standart sapması 0.5 saat bulunmuştur. Bugün üretilen bütün pillerin ortalama ömür süresinin güven aralığı %95 güven seviyesi için aşağıdakilerden hangisidir?
|
AGS=4,7203 ÜGS=8,2797 |
|
AGS=2,7203 ÜGS=5,2797 |
|
AGS=1,7203 ÜGS=3,2797 |
|
AGS=2,72 ÜGS=5,2797 |
|
AGS=3,7203 ÜGS=4,2797 |
Örnekten elde edilen veriler,
4 s=0,5 ve n=25 ’dur.
Küçük örnekleme (n = 25 < 30) söz konusu olduğundan;
Eşitliği ile güven aralığı hesaplanır.
(1 - α) = 0,99, α = 0,01 ve α / 2 = 0,005 ve serbestlik derecesi v=n-1=25-1=24 olduğundan Student t çizelgesinden olduğundan tα/2,v = t 0,005,24 = 2,797’dir.
20.Soru
İki ayrı üretim biriminin hatalı üretim yapma oranları karşılaştırılmak isteniyor. Bu amaçla birinci üretim biriminden 50 parça alınıyor ve hatalı ürün oranı 0,10 bulunuyor. İkinci üretim biriminden de 50 parça alınıyor ve hatalı ürün oranı 0,08 olarak bulunuyor. Bu verilere göre iki ana kütle oranları arasındaki farkların standart hata değeri kaçtır?
|
0,057 |
|
0,049 |
|
0,030 |
|
0,028 |
|
0,010 |
-
- 1.SORU ÇÖZÜLMEDİ
- 2.SORU ÇÖZÜLMEDİ
- 3.SORU ÇÖZÜLMEDİ
- 4.SORU ÇÖZÜLMEDİ
- 5.SORU ÇÖZÜLMEDİ
- 6.SORU ÇÖZÜLMEDİ
- 7.SORU ÇÖZÜLMEDİ
- 8.SORU ÇÖZÜLMEDİ
- 9.SORU ÇÖZÜLMEDİ
- 10.SORU ÇÖZÜLMEDİ
- 11.SORU ÇÖZÜLMEDİ
- 12.SORU ÇÖZÜLMEDİ
- 13.SORU ÇÖZÜLMEDİ
- 14.SORU ÇÖZÜLMEDİ
- 15.SORU ÇÖZÜLMEDİ
- 16.SORU ÇÖZÜLMEDİ
- 17.SORU ÇÖZÜLMEDİ
- 18.SORU ÇÖZÜLMEDİ
- 19.SORU ÇÖZÜLMEDİ
- 20.SORU ÇÖZÜLMEDİ