Coğrafi Bilgi Sistemleri İçin Temel İstatistik Final 11. Deneme Sınavı
Toplam 20 Soru1.Soru
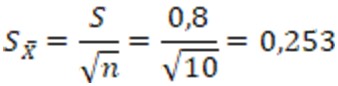
Gribal enfeksiyon hastalığının tedavisi için geliştirilen yeni bir ilaçla tedavi edilen hastaların ortalama iyileşme süresinin 6 günden az olduğu iddia edilmektedir. Rassal olarak seçilen 10 hastanın bu ilaçla ortalama 5,6 günde iyileştiği belirleniyor. Standart sapma 0,8 olduğuna göre, %1 anlamlılık düzeyi için yeni ilacın 6 günden kısa sürede iyileşme sağlaması hakkında ne karar verilebilir?
|
Yeni ilaç 6 günden daha uzun sürede iyileşme sağlar. |
|
Yeni ilaç 6 günden daha kısa sürede iyileşme sağlar. |
|
Yeni ilacın kaç günde iyileşme sağlayacağı belirsizdir. |
|
Yeni ilaç hiç iyileşme sağlamamaktadır. |
|
Yeni ilacın iyileşme sağlayıp sağlamayacağı bu verilerle belirsizdir. |
Hipotezler: olduğuna göre, %1 anlamlılık düzeyine göre test istatistiği şöyle hesaplanır:
olduğundan t çizelgesinden
olarak bulunur.
ise
reddedilir ve
kabul edilir.
bulunur.
Buradan olduğuna göre,
olur ki böylece
hipotezi kabul edilir. Yani %99 olasılıkla yeni ilaç 6 günden daha kısa sürede iyileşme sağlar.
2.Soru
Aşağıdakilerden hangisi ana kütlenin durumu hakkında ileri sürülen iddiaların örnek kütle olasılık dağılım modeline göre araştırılmasıdır?
|
Hipotez |
|
Tez |
|
Varsayım |
|
Yasa |
|
Kural |
İstatistiksel anlamda hipotez, ana kütlenin durumu hakkında ileri sürülen iddiaların örnek kütle olasılık dağılım modeline göre araştırılmasıdır.
3.Soru
Hesaplanan test istatistiği ile ilgili verilecek karar için aşağıdakilerden hangisi yanlıştır?
|
Red bölgesinde kalması durumunda H0 hipotezi reddedilir. |
|
Red bölgesinde kalması durumunda H1 hipotezi kabul edilir. |
|
Kabul bölgesinde kalması durumunda H0 hipotezi kabul edilir. |
|
Kabul bölgesinde kalması durumunda H1 hipotezi reddedilir. |
|
Kabul bölgesinde kalması durumunda H0 hipotezi reddedilir. |
Kabul bölgesinde kalması durumunda H0 hipotezi kabul edilir.
4.Soru
Aşağıdakilerden hangisi bölgeselleşmiş değişkenlerin özelliklerinden biri değildir ?
|
Benzerlik |
|
Yersellik |
|
Devamlılık |
|
Yönsel Değişim |
|
Geçişler |
Bölgeselleşmiş değişkenlerin özelliklerini aşağıdaki gibi özetleyebiliriz.
- Yersellik
- Devamlılık
- Yönsel Değişim
- Geçişler
Doğru cevap A şıkkıdır.
5.Soru
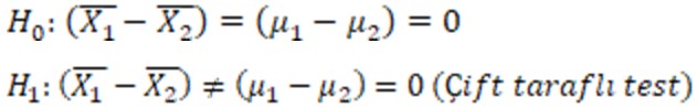
Ampul üretimi yapan A firmasının ürettiği ampuller arasından seçilen 51 tanesinin ortalama dayanma süresi 68 gün ve standart sapması 17 gün olarak bulunmuştur. Yine ampul üretimi yapan B firmasının ürettiği ampuller arasından seçilen 64 tanesinin ortalama dayanma süresi 58 gün ve standart sapması 16 gün olarak bulunmuştur. A firmasının ürettiği ampullerin ortalama dayanma süresinin, B firmasınınkilere göre daha fazla olduğu şeklindeki iddia, %5 anlamlılık düzeyine göre test edilecektir. Bu testte, karşıt hipotez aşağıdakilerden hangisidir?
|
A firmasının ürettiği ampullerin ortalama dayanma süresi, B firmasının ürettiği ampullerin ortalama dayanma süresinden daha düşüktür |
|
A firmasının ürettiği ampullerin ortalama dayanma süresi, B firmasının ürettiği ampullerin ortalama dayanma süresinden daha fazladır |
|
A firmasının ürettiği ampullerin ortalama dayanma süresi ile B firmasının ürettiği ampullerin ortalama dayanma süresi arasında fark vardır |
|
A firmasının ürettiği ampullerin ortalama dayanma süresi ile B firmasının ürettiği ampullerin ortalama dayanma süresi arasında fark yoktur |
|
A firmasının ürettiği ampullerin ortalama dayanma süresi ile B firmasının ürettiği ampullerin ortalama dayanma süresi eşit kabul edilebilir |
A firmasının ürettiği ampullerin ortalama dayanma süresinin, B firmasınınkilerden daha fazla olduğu iddiası test edilmek istendiğinden, tek taraflı karşıt hipotez kurulmalıdır. Buna göre karşıt hipotez iddiayı destekleyecek şekilde, A firmasının ürettiği ampullerin B firmasının ürettiği ampullerden ortalama olarak daha uzun süre dayandığı biçiminde kurulur.
6.Soru
Aşağıdakilerden hangileri en yakın komşuluk yönteminin dezavantajlarındandır?
I. Uzak noktaları dikkate almaması
II. Tahminlerde kullanılacak komşu nokta sayısının belirsiz olması
III. 2 ya da 3 boyutlu uzayda kullanılabilir olması
IV. Polinom denklemi yardımıyla ortalama bir tahmin yapıldığından aşırı yüksek ya da aşırı düşük değişken değerlerinin tahmininde aşırı yanıltıcı sonuçlar verebilmesi
|
Yalnız I |
|
I ve II |
|
I, II ve IV |
|
I, II ve III |
|
Hepsi |
En yakın komşu yöntemi, sadece en yakın komşu örnek noktası veya noktalarının değişken değeri ile tahmin yapmakta ve daha uzak noktalardaki diğer noktaları dikkate almamaktadır. Tahminlerde kullanılacak komşu noktaların sayısının (k) kaç adet olacağı belirsizdir. Ayrıca, örnek noktaları arasındaki bağımlılığı, devamlılığı ve yönsel sürekliliği dikkate almayan bir yöntemdir. En yakın komşu yöntemi genellikle blok modellemede örnek noktası olmayan bloklara değişken değeri atamada kullanılmaktadır.
7.Soru
Topografik yüzeylerin düzenli grid ağlar şeklinde modellenmesi için hangi yöntem kullanılır?
|
En Yakın Komşu Yöntemi |
|
Yüzey Trend Analizi |
|
Kriging Tahmin Yöntemi |
|
Uzaklığın Tersi ile Ağırlıklandırma Yöntemi |
|
Ki-kare Yöntemi |
Topografik yüzeylerin düzenli grid ağlar şeklinde modellenmesi için yüzey trend analizi kullanılır.
8.Soru
Standart sapması 4,5 olan 380 kişilik bir ana kütleden her seferinde 15 kişi içerecek biçimde bir örnekleme yapıldığında ana kütle aritmetik ortalamalarının standart hatası kaçtır?
|
1,04 |
|
1,14 |
|
1,24 |
|
1,34 |
|
1,44 |
Ana kütle , örnek kütlelerin birey sayısı , ana kütle standart sapması olduğuna göre, istenen standart hataolarak hesaplanır.
9.Soru
Aşağıdakilerden hangisi bölgeselleşmiş değişkenlerin özelliklerinden biri değildir?
|
Yersellik |
|
Külçe Varyansı |
|
Devamlılık |
|
Yönsel Değişim |
|
Geçişler |
Külçe varyansı, bölgeselleşmiş değişkenlerin özelliklerinden biri değildir.Çünkü Külçe varyansı bir parametredir.
10.Soru
9. sorudaki veriler göz önüne alınarak ve
model yazıcıların baskı sayılarının farklı olması hakkında % 5 anlamlılıkla ne karar verilebilir?
|
%5 olasılıkla |
|
%5 olasılıkla |
|
%95 olasılıkla |
|
%95 olasılıkla |
|
İstatistiksel test cevap vermez. |
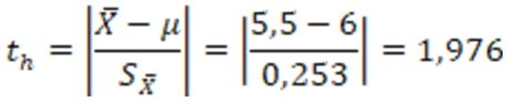
Soruda verilen verilere göre tür.Hipotezler:
değeri için t tablosundan
bulunur.
olduğundan
reddedilir. Yani % 95 olasılıkla iki yazıcı modelinin kağıt baskı sayıları anlamlı ölçüde farklıdır.
11.Soru
Z(x) rassal değişkeni farklı olasılıksal dağılımla her x örnek noktasında farklı z ölçüm değerine sahip olabilmektedir. Bu kararsız ve düzensiz yapının ardında, birbirine yakın olanlar, birbirine uzak olanlardan daha fazla benzerlik eğilimi göstermektedir. Bu karakteristik davranış veya yapı, bölgeselleşmiş değişkenin hangi özelliği ile açıklanabilir ?
|
Konumsal otokorelasyon |
|
Yersel özellik |
|
Rassal değişkenlik |
|
Yapısal özellik |
|
Konumsal tutarlılık |
Böylece Z(x) rassal değişkeni farklı olasılıksal dağılımla her x örnek noktasında farklı z ölçüm değerine sahip olabilmektedir. Aslında bu kararız ve düzensiz yapının ardında, birbirine yakın olanlar, birbirine uzak olanlardan daha fazla benzerlik eğilimi göstermektedir. Bu karakteristik davranış veya yapı, bölgeselleşmiş değişkenin konumsal tutarlılığını göstermektedir.
Doğru cevap E şıkkıdır.
12.Soru
Korelasyon katsayısının r=-1 olmasının karşılığı olan ifade aşağıdakilerden hangisinde doğru olarak verilmiştir?
|
İki değişken arasında herhangi bir ilişkinin bulunmamasını ifade etmektedir. |
|
İki değişken arasında aynı yönde güçlü bir ilişki bulunmasını ifade etmektedir. |
|
İki değişken arasında aynı yönde zayıf ilişki bulunmasını ifade etmektedir. |
|
İki değişken arasında ters yönlü güçlü ilişki bulunmasını ifade etmektedir. |
|
İki değişken arasında ters yönlü zayıf ilişki bulunmasını ifade etmektedir. |
İki değişken arasında ters yönlü güçlü ilişki
13.Soru
Bölgeselleşmiş bir değişken örnekleri arasında belirli bir mesafe içerisinde devamlılığın yönsel farklılıklar göstermesi, ilgili değişkenin hangi özelliğini gösterir?
|
Anizotropik bir değişken olduğunu |
|
Devamlı bir değişken olduğunu |
|
Külçe etki oranını |
|
Parabolik oluşunu |
|
Üstel oluşunu |
Bölgeselleşmiş bir değişken örnekleri arasında belirli bir mesafe içerisinde devamlılığın yönsel farklılıklar göstermesi, ilgili değişkenin anizotropik bir değişken olduğunu gösterir.
14.Soru
Deneysel semi-variogram değerlerinden külçe etkisinin (C0), yapısal varyansa (C) oranına ne ad verilmektedir?
Deneysel semi-variogram değerlerinden külçe etkisinin (C0), yapısal varyansa (C) oranına ne ad verilmektedir?
|
Külçe Varyansı |
|
Eşik Değer |
|
Etki Mesafesi |
|
Yönsel Etki Mesafe Oranı |
|
Külçe Etki Oranı |
Deneysel semi-variogram değerlerinden külçe etkisinin (C0), yapısal varyansa (C)
oranına külçe etki oranı denilmektedir. Doğru cevap E'dir.
15.Soru
Aşağıdakilerden hangisi örneklenen değişkenin bölgesel homojenliğini gösterir?
|
Külçe Varyansı |
|
Eşik Değer |
|
Külçe Etki Oranı |
|
Etki Mesafesi |
|
Yönsel Etki Mesafesi Oranı |
a
16.Soru
Sıfır hipotezi doğru olduğu halde reddedilirse yapılan hata aşağıdakilerden hangisinde doğru olarak verilmiştir?
|
I. tip hata |
|
II. tip hata |
|
Oransal hata |
|
Teta hatası |
|
Yansızlık hatası |
Sıfır hipotezi doğru olduğu halde reddedilirse yapılan hata I. tip hatadır.
17.Soru
Bir değişken değeri için dört noktadan örnek alınmış, A noktasından alınmamıştır. Aşağıdaki verilere göre, en yakın iki komşu nokta kullanılarak elde edilen A’nın değişken değeri nedir?
|
1.33 |
|
2.66 |
|
3.66 |
|
4.55 |
|
6.66 |
A ya ve en yakın iki nokta S1 ve S3 noktalarıdır. d(S1 , A) = 20, d(S3 , A) = 10, Z(S1) = 8 ve Z(S3 ) = 4 olduğundan, olur.
18.Soru
I) Yönsel Etki Mesafesi Oranı
II) Eşik Değer
III) Külçe Etki Oranı
Yukarıdakilerden hangileri Deneysel Semi-Variogram Parametreleridir?
|
I, II , III |
|
I ve II |
|
II ve III |
|
I ve III |
|
Hiçbiri |
a
19.Soru
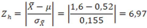
Bir içme suyu işletmesinin ürettiği şişe suların içinde olması gerekenden yüksek miktarda florür bulunduğu iddia ediliyor. Şişe üzerinde florür miktarının 0,52 mg/L olduğu belirtiliyor. 60 farklı şişe örneğinin analizleri sonucunda florür içeriği ortalamasının 1,6 mg/L ve standart sapmanın 1,2 mg/L olduğu belirlendiğine göre, test istatistiğinin değeri kaçtır?
|
4,97 |
|
5,95 |
|
6,95 |
|
6,97 |
|
7,97 |
olduğuna göre
bulunur.
Böylece elde edilir.
20.Soru
Aşağıdakilerden hangisi neden niteliğindeki değişken ile sonuç niteliğindeki değişken arasındaki fonksiyonel ilişkinin belirlenmesinde yararlanılan analizdir?
|
Örnekleme |
|
Korelasyon analizi |
|
Tahminleme |
|
Hipotez testi |
|
Regresyon analizi |
Neden niteliğindeki değişken ile sonuç niteliğindeki değişken arasındaki fonksiyonel ilişkinin belirlenmesinde regresyon, ilişkinin güçlü olup olmadığını belirlemede ise korelasyon analizlerinden yararlanılabilir.
-
- 1.SORU ÇÖZÜLMEDİ
- 2.SORU ÇÖZÜLMEDİ
- 3.SORU ÇÖZÜLMEDİ
- 4.SORU ÇÖZÜLMEDİ
- 5.SORU ÇÖZÜLMEDİ
- 6.SORU ÇÖZÜLMEDİ
- 7.SORU ÇÖZÜLMEDİ
- 8.SORU ÇÖZÜLMEDİ
- 9.SORU ÇÖZÜLMEDİ
- 10.SORU ÇÖZÜLMEDİ
- 11.SORU ÇÖZÜLMEDİ
- 12.SORU ÇÖZÜLMEDİ
- 13.SORU ÇÖZÜLMEDİ
- 14.SORU ÇÖZÜLMEDİ
- 15.SORU ÇÖZÜLMEDİ
- 16.SORU ÇÖZÜLMEDİ
- 17.SORU ÇÖZÜLMEDİ
- 18.SORU ÇÖZÜLMEDİ
- 19.SORU ÇÖZÜLMEDİ
- 20.SORU ÇÖZÜLMEDİ