Coğrafi Bilgi Sistemleri İçin Temel Matematik Ara 12. Deneme Sınavı
Toplam 18 Soru1.Soru
olmak üzere
ifadesinin eşiti aşağıdakilerden hangisidir?
|
1 |
|
2 |
|
3 |
|
4 |
|
5 |
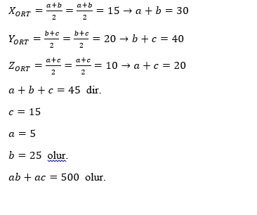
Verilen fonksiyonlar için aşağıdaki işlemler sırasıyla uygulandığında istenilen değer
olarak elde edilir. Bu nedenle Doğru Cevap C seçeneği olur.
2.Soru
olmak üzere bu vektörler arasındaki açının kosinüsü nedir?
|
-2 |
|
|
|
|
|
|
|
|
θ, ve
vektörleri arasındaki açı olmak üzere bu iki vektör arasındaki açının kosinüsü
şeklinde bulunur. Bu nedenle hesaplanmalıdır.
olur. Buradan
elde edilir.
3.Soru
Aşağıdakilerden hangisi bir rasyonel sayıdır?
|
|
|
|
|
|
|
|
|
|
sayıları iki tamsayının oranı şeklinde yazılamadığı için irrasyonel sayılardır. Fakat
sayısı iki tamsayının oranı şeklinde yazılabildiğinden rasyonel sayıdır.
4.Soru
olarak veriliyor.
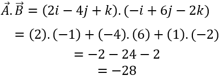
ve
vektörlerinin iç çarpımı aşağıdakilerden hangisidir ?
|
-28 |
|
-27 |
|
-19 |
|
19 |
|
28 |
eşitliğinde
vektörü yerine konulursa
olur. Buradan
elde edilir.
olmak üzere a ve b vektörleri arasındaki iç çarpım
ile hesaplanır.
olur.
5.Soru
Aşağıdaki noktalardan hangisi 2x+3y=6 doğrusunun üzerindedir?
|
(2,0) |
|
(0,1) |
|
(0,-2) |
|
(0,2) |
|
(-2,0) |
(0,2) noktası 2x+3y=6 doğru denkleminde yerine yazılırsa 2·0+3·2=6=6 eşitliği sağlanır. Verilen diğer noktalar ise bu eşitliği sağlamaz.
6.Soru
Bir atölye sadece özel tasarım bir masa üretmekte ve bir masanın maliyeti atölyeye 40 liraya mal olmaktadır. Ayrıca bu atölyenin aylık kira bedeli 2000 TL olduğuna göre x bir ayda üretilen masa sayısını göstermek üzere bu atölyenin aylık masrafını veren fonksiyon aşağıdakilerden hangisidir?
|
f(x) = 2000 + 40x |
|
f(x) = 2000 - 40x |
|
f(x) = 2000 |
|
f(x) = 40x |
|
f(x) = 2000 + 80x |
Aylık kira bedeli 2000 TL ve bir ayda üretilen masa sayısı x olmak üzere toplam masa maliyeti 40.x TL olduğuna göre atölyenin toplam maliyeti f(x)=2000+40x olur.
8.Soru
f(x)= √(x-7) fonksiyonunun tersi aşağıdakilerden hangisidir ?
|
y= x2+7 |
|
y= x2 - 7 |
|
y2= x-7 |
|
y= x +7 |
|
y= x2+1 |
y = f-1(x) olsun. Buradan x=f(y)= √(y-7) elde edilir. Denklemden y çekilirse
y= x2+7 olur.
9.Soru
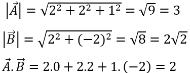
olarak veriliyor.
|
|
|
|
|
|
|
|
|
|
elde edilir. Böylece ,
olur.
10.Soru
1, 1, 2, 3, 4, 2, 2, 5, 3 veri serisinin mod ve medyan değerini bulunuz?
|
1/3 |
|
2/4 |
|
3/5 |
|
4/1 |
|
2/2 |
Mod, bir dağılımda ya da popülasyonda en çok tekrar edilen terime denir. Veri serisinde en çok tekrar edilen terim 2 dir. Bundan dolayı mod değeri 2’dir. Medyan, bir popülayondaki veri serisi sayısal büyüklük olarak sıralandığında ortadaki sayıdır. Karışık seri düzenlenirse 1, 1, 2, 2, 2, 3, 3, 4, 5 serisi elde edilir. Bu seri 9 elemanlı olduğundan ortadaki, yani 5. eleman medyan olacaktır. 5. sıradaki sayı 2 olduğundan bu örneklem için medyan 2’dir.
11.Soru
İçince 3 kırmızı, 4 yeşil ve 5 mavi top olan bir torbadan geri atılmamak koşuluyla arka arkaya çekilen üç topun yeşil gelme olasılığı nedir?
|
|
|
|
|
|
|
|
|
|
I. yol: (bağımsız olayların olasılıklarının çarpımı)
II. yol: (istenilen durumların sayısının toplam durumların sayısına bölümü)
12.Soru
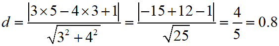
P1=(5,3) noktası ve -3x+4y-1=0 ile verilen L1 doğrusu arasındaki mesafe aşağıdakilerden hangisidir?
|
0.5 |
|
0.6 |
|
0.7 |
|
0.8 |
|
0.9 |
Bir nokta ile doğru arasındaki mesafe formülünde P1 noktası ve L1 doğrusu yerine konulduğunda
olarak bulunabilmektedir.
13.Soru
A(1,2) noktasından geçen ve 2x-3y-7=0 doğrusuna paralel olan doğrunun denklemi aşağıdakilerden hangisidir?
|
2x+3y+4=0 |
|
2x+3y-4=0 |
|
-2x+3y-4=0 |
|
2x+3y-7=0 |
|
2x-3y+4=0 |
Paralel doğruların eğimleri eşit olduğundan 2x-3y-7=0 doğrusuna paralel doğrunun denklemi 2x-3y+c=0 biçimindedir. A(1,2) noktası denklemi sağlar. 2.1-3.2+c=0 olduğundan c=4 bulunur.
14.Soru
4 maçlık bir mini ligdeki bir takımın sezon sonuna kadar oynayacağı maçlardan elde edebileceği galibiyet, mağlubiyet veya beraberlik şeklindeki sonuçlardan birini alabileceği bilindiğine göre bu takım sezon boyunca kaç farklı sonuç elde edebilir?
|
16 |
|
64 |
|
100 |
|
81 |
|
256 |
Her maç için 3 farklı sonuç olup 4 farklı maç olduğundan elde edilebilecek farklı sonuç sayısı 3.3.3.3=81 dir.
15.Soru
denklem sisteminin çözüm kümesi Cramer kuralı ile bulunuz?
|
{(-17,-8)} |
|
{(17,8)} |
|
{(-17,8)} |
|
{(-17,17)} |
|
|
Verilen denklem sisteminin katsayılar matrisi, olup sistemin sabitler vektörü yani sadece sayılardan oluşan kısım ise
dır. Cramer kuralına göre;
olup çözüm kümesi {(-17,-8)} dir.
16.Soru
x ekseni ile 60o,45o ve 150o eğim açısına sahip doğruların eğimleri toplamı aşağıdakilerden hangisidir?
|
|
|
|
|
|
|
|
|
|
x ekseni ile 60o,45o ve 150o eğim açısına sahip doğruların eğimleri sırasıyla , 1 ve
olarak bulunmaktadır. Buradan eğimler toplamı hesaplandığında
olarak bulunmaktadır.
17.Soru
a = 4i - 3j + k vektörü için a ^ yönündeki birim vektörü aşağıdakilerden hangisidir ?
|
4/5 i - 3/5 j + 1/5 k |
|
4/5 i + 3/5 j + 2/5 k |
|
i - 3/5 j + k |
|
4i -5 j + 2 k |
|
4i + 3 j - 2 k |
|a| = ?(?(4)?^2+(?-3)?^2+?(1)?^2 ) = ?25 = 5
a ^ = a/|a| = 1/5 ( 4i - 3j + k )
= 4/5 i - 3/5 j + 1/5 k
18.Soru
x eksenini kestiği nokta (3, 0), y eksenini kestiği nokta (0, 9) olan doğru ile orijinden ve (4,6) noktasından geçen doğrunun kesişim noktası aşağıdakilerden hangisidir?
|
(1,3) |
|
(2,3) |
|
(3,2) |
|
(4,1) |
|
(1,2) |
x eksenini kestiği nokta (a, 0) ve y eksenini kestiği nokta (0, b) olan doğrunun denklemi
olduğundan x eksenini kestiği nokta (3, 0) ve y eksenini kestiği nokta (0, 9) olan doğrunun denklemi
olur. Bu denklem şeklinde ifade edilebilir.
noktalarından geçen doğrunun denklemi
olmak üzere
şeklinde bulunduğundan orijinden ve (4, 6) noktasından geçen doğrunun denklemi
şeklinde bulunur. Buradan olarak çekilip ilk doğru denkleminde yerine yazıldığında x=2 olarak bulunmaktadır. Bu değere karşılık her iki denklemden de y=3 olarak bulunmaktadır.
-
- 1.SORU ÇÖZÜLMEDİ
- 2.SORU ÇÖZÜLMEDİ
- 3.SORU ÇÖZÜLMEDİ
- 4.SORU ÇÖZÜLMEDİ
- 5.SORU ÇÖZÜLMEDİ
- 6.SORU ÇÖZÜLMEDİ
- 7.SORU ÇÖZÜLMEDİ
- 8.SORU ÇÖZÜLMEDİ
- 9.SORU ÇÖZÜLMEDİ
- 10.SORU ÇÖZÜLMEDİ
- 11.SORU ÇÖZÜLMEDİ
- 12.SORU ÇÖZÜLMEDİ
- 13.SORU ÇÖZÜLMEDİ
- 14.SORU ÇÖZÜLMEDİ
- 15.SORU ÇÖZÜLMEDİ
- 16.SORU ÇÖZÜLMEDİ
- 17.SORU ÇÖZÜLMEDİ
- 18.SORU ÇÖZÜLMEDİ