Coğrafi Bilgi Sistemleri İçin Temel Matematik Ara 14. Deneme Sınavı
Toplam 16 Soru1.Soru
Bir sınıftan rastgele seçilen bir öğrencinin erkek olma olasılığı 3/5 ’dir. Bu sınıftan 6 erkek öğrenci ayrılıyor ve sınıfa 2 kız öğrenci geliyor. Bu durumda sınıftan rastgele seçilen bir öğrencinin kız olma olasılığı 1/2 oluyor. Buna göre son durumda sınıfta kaç öğrenci vardır?
|
24 |
|
30 |
|
36 |
|
42 |
|
48 |
Çözüm: İlk durumda sınıf mevcudu 5X ise erkek öğrencilerin sayısı 3X , kız öğrencilerin sayısı ise 2X olacaktır. Bu sınıftan 6 erkek öğrenci ayrılıyor ve sınıfa 2 kız öğrenci geliyorsa erkek ve kız öğrencilerin sayısı sırasıyla 3X-6 ve 2X+2 olacaktır. Yeni sınıf mevcudu ise 3X -6 +2X + 2 = 5X - 4 olacaktır. Bu durumda sınıftan rastgele seçilen bir öğrencinin kız olma olasılığı ise
olacaktır. Buradan X=8 ve 5X-4=36 olacaktır.
2.Soru
Olayların gözleme dayalı yani kişiden kişiye değişiklik gösterebilen özelliklerine, durumlarına ya da objelerine verilen ad aşağıdakilerden hangisidir?
|
Değişken |
|
Deney |
|
Sonuç |
|
Rasyonel |
|
Olasılık |
Olayların gözleme dayalı yani kişiden kişiye değişiklik gösterebilen özelliklerine, durumlarına ya da objelerine değişken adı verilmektedir.
3.Soru
İki zar bir kez atılıyor. Birinin 5, birinin 4 gelme olasılığı aşağıdakilerden hangisidir?
|
1/2 |
|
1/18 |
|
1/36 |
|
1/72 |
|
1/3 |
4.Soru
fonksiyonunun tanım kümesi aşağıdakilerden hangisidir?
|
IR-{-2} |
|
IR-{2} |
|
IR |
|
IR-{-2,2} |
|
{-2} |
f(x) fonksiyonunu tanımsız yapan değerler bulunmalıdır. x+2=0 olduğundan x=-2 fonksiyonu tanımsız yapan değerdir. O halde
Df=IR-{-2} elde edilir.
5.Soru
matrisi verildiğine göre bu matrisin determinantı kaçtır?
|
4 |
|
5 |
|
9 |
|
10 |
|
12 |
Yukarıdaki matrisin determinantını lük matrisler için determinant hesaplama kuralını kullanarak hesaplayabiliriz. Bu formülü uyguladığımızda
sonucuna ulaşırız.
6.Soru
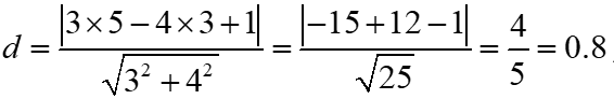
P1 = (5,3) noktası ve -3x+4y-1=0 ile verilen L1 doğrusu arasındaki mesafe aşağıdakilerden hangisidir?
|
0.5 |
|
0.6 |
|
0.7 |
|
0.8 |
|
0.9 |
Bir nokta ile doğru arasındaki mesafe formülünde P1 noktası ve L1 doğrusu yerine konulduğunda
olarak bulunabilmektedir. Doğru cevap D'dir.
7.Soru
A={1,2,(a,b) } kümesinin kaç tane alt kümesi vardır ?
|
8 |
|
4 |
|
16 |
|
32 |
|
36 |
Alt küme sayısı 2n formülü ile hesaplanır.Burada n=elemen sayısı olduğuna göre kümemizdeki eleman sayısı bularak işleme devam edilir.Kümedeki elemanlar ise 1-2 ve (a,b) olmak üzere 3 eleman vardır.İşlemimiz 2n=23=8 olarak bulunur.
8.Soru
Bir A matrisinin devriği (transpozu)
olarak verilmiştir. Buna göre A matrisi aşağıdakilerden hangisidir?
|
|
|
|
|
|
|
|
|
|
A matrisinin satırlarını sütun, sütunlarını da satır yaparak elde edilen matrise A’nın devriği (transpozu) denir. Bu tanımdan hareketle verilen
matrisine göre A matrisinin satır elemanları
matrisinin sütun elemanlarıdır. Buna göre A matrisi
olarak elde edilir. Dolayısıyla Doğru Cevap E seçeneği olur.
9.Soru
4x-3y+4=0 doğrusu ile 5x-3y-6=0 doğrusunun kesiştiği (x,y) noktası aşağıdakilerden hangisidir ?
|
(-1, 4/3) |
|
(-6, 14/3) |
|
(10, 44/3) |
|
(2,-5) |
|
(44/3, -10) |
4x-3y+4 = 5x-3y-6
10=x buradan ilk denklemde yerine yazıldığında
4.10-3y+4=0 ve y= 44/3
(x,y) = (10, 44/3) olarak bulunur.
10.Soru
f(x)=5x-8 ise f-1(2) kaçtır ?
|
1 |
|
2 |
|
3 |
|
4 |
|
5 |
a=f-1(2) olsun. Bu durumda f(a)=2 yapan a değeri sorulmaktadır. 5a-8=2 ise 5a=10, a=2 bulunur.
11.Soru
Bir olayın olma olasılığı aşağıdakilerden hangisi olabilir?
|
1,2 |
|
4/3 |
|
0,2 |
|
2 |
|
3/2 |
Bir olay ister bileşik ister basit olay olsun, olay gerçekleşmeden önce olasılığı sıfırdan az ya da birden büyük olamaz. 0≤P(A)≤1 olmalıdır.
12.Soru
ifadesi aşağıdakilerden hangisine eşittir?
|
|
|
|
|
|
|
|
|
|
şeklinde tanımlandığına göre,
olur. Payda eşitlenip gerekli işlemler yapılırsa, elde edilir.
13.Soru
2x+3y-4=0 doğrusu ile 3x+my+1=0 doğruları düzlemde dik kesiştiğine göre m değeri aşağıdakilerden hangisidir?
|
-2 |
|
-1 |
|
2 |
|
3 |
|
5 |
2x+3y-4=0 doğrusunun eğimi
ve 3x+my+1=0 doğrusunun eğimi
olarak bulunur. Düzlemde dik kesişen doğruların eğimleri çarpımı -1'e eşit olduğundan;
olarak elde edilir. Dolayısıyla Doğru Cevap A seçeneğidir.
14.Soru
A={1,2,(a,b),3 } ve B={a,b,3 } kümeleri veriliyor.A-B nedir ?
|
{1,2,(a,b) } |
|
{1,2,a,b } |
|
{1,2,(a,b) ,3} |
|
{(a,b) } |
|
{a,b } |
A-B işlemi A kümesinde olan fakat B kümesinde olmayan elemanları bulmamız gerekir.
A-B= {1,2,(a,b) }
15.Soru
Bir zar ve bir madeni para atıldığında paranın yazı ve zarın 3 gelme olasılığı nedir?
|
|
|
|
|
|
|
|
|
|
Paranın yazı gelme olasılığı , zarın 3 gelme olasılığı
’dır. O halde her iki olayın da aynı anda olma olasılığı
elde edilir.
16.Soru
Nazlı ve Dila birlikte soru çözüyorlar. Dila 1 den 20 ye kadar olan soruların numaralarının yazılı olduğu kağıtları (20 dahil) bir torba içine koymuş ve Nazlı’nın buradan bir kağıt seçmesini istemiştir. Çekilen kağıttaki numara 3’e bölünebiliyor ise soruyu Nazlı çözecek, aksi durumda soruyu Dila çözecektir. Nazlı torbadan bir kağıt çektiğinde soruyu çözme olasılığı nedir ?
|
3/10 |
|
4/10 |
|
5/10 |
|
6/10 |
|
7/10 |
1-2-3-4-5-6-7-8-9-10-11-12-13-14-15-16-17-18-19-20 rakamları içinde 3’ e bölünebilen sayılar 3 ve 3’ün katları olan 3-6-9-12-15-18 sayılarıdır. Bu durumda 3’ e bölünebilen 6 sayı ve toplam 20 sayı vardır. Olasılık ise 6/20 = 3/10