Coğrafi Bilgi Sistemleri İçin Temel Matematik Final 5. Deneme Sınavı
Toplam 15 Soru1.Soru
Aşağıdakilerden hangisi üyelik fonksiyonlarının belirlenmesinde kullanılan başlıca yöntemlerden değildir?
|
Açılı bulanık kümeler |
|
Genetik algoritmalar |
|
Çıkarımcı muhakeme |
|
Yükseklik yöntemi |
|
Mertebeleme |
Yükseklik yöntemi durulaştırmada kullanılan yöntemlerden bir tanesidir. Diğerleri ise üyelik fonksiyonlarının belirlenmesinde kullanılan yöntemler arasındadır.
2.Soru
formülü ile verilen işleme döndürme denir. Buna göre
noktası 45° döndürülürse yeni noktanın koordinatları ne olur?
|
(1,1) |
|
(0,1) |
|
(1,0) |
|
(0,2) |
|
(2,0) |
olmak üzere verilenler formülde yerine konulursa sonuç (0,1) çıkmaktadır.
O halde doğru cevap B seçeneğidir.
3.Soru
Aşağıdakilerden hangisi bir aracın trafik ışığına göre hareketi için karşılaşılabilecek bazı durumları gösteren kurallardan birisi değildir?
|
Trafik lambası kırmızı renkte ve mesafe uzaksa araç olduğu yerde durmalıdır. |
|
Trafik lambası kırmızı renkte, aracın hızı düşük ve mesafe uzaksa hız korunmalıdır. |
|
Trafik lambası sarı renkte, aracın hızı orta seviyede ve mesafe uzaksa frene basılmalıdır. |
|
Trafik lambası yeşil renkte aracın hızı çok düşük seviyede ve mesafe çok yakınsa araç hızlanmalıdır. |
|
Trafik lambası kırmızı renkte ve aracın hızı yüksekse frene basılmalıdır. |
Trafik lambası kırmızı renkte ve mesafe uzaksa araç hızlıysa frene basıp yavaşlamalıdır. Aracın olduğu yerde aniden durması yanlıştır.
4.Soru
Paranın üç kez atılması deneyinde bir yazı iki tura elde edilmesi olasılığını bulunuz?
|
1/8 |
|
2/8 |
|
3/8 |
|
1/2 |
|
5/8 |
Deneyin toplam sonuç sayısı: 2.2.2=8 ve bir yazı iki tura gelmesi (Y,T,T),(T,Y,T),T,T,Y) şeklinde gerçekleşip, bu olasılık 3/8 elde edilir.
5.Soru
Orijinden geçen aşağıdaki doğruların hangisinin eğim açısı 30o ’dir?
|
|
|
|
|
|
|
|
|
|
Eğim açısı 30o olan bir doğrunun eğimi
olarak hesaplanmaktadır. Orijinden geçen ve eğimi m olan doğrunun denklemi ise şeklinde yazılabilmektedir.
6.Soru
(-1,2) noktası koordinat sisteminde hangi bölgede yer alır?
|
I. Bölge |
|
II. Bölge |
|
III. Bölge |
|
IV. Bölge |
|
V. Bölge |
(-1,2) noktasının birinci bileşeni negatif ikinci bileşeni pozitif olduğundan koordinat sisteminde Bölgede yer alır.
7.Soru
3x-4y+6=0 ve x+2y-8=0 doğrularının kesişim noktası aşağıdakilerden hangisidir?
|
(2, 3) |
|
(-3, 2) |
|
(-2, 3) |
|
(3, -2) |
|
(2, -3) |
3x-4y+6=0 ve x+2y-8=0 doğrularının kesişim noktasını bulurken öncelikle x ya da y değişkenlerinden birini yok etmek gerekir. Bunun için x+2y-8=0 denkleminin iki katı 3x-4y+6=0 denklemine eklenir. Buradan 3x-4y+6+2(x+2y-8)=0 yani 3x-4y+6+2x+4y-16=0 olur. Gerekli işlemler yapıldığında ise 5x-10=0 elde edilir. 5x=10 olup x=2 olarak bulunur. x=2 olarak bulunduktan sonra bu değer herhangi bir denklemde yerine yazılarak y bulunur. 3.2-4y+6=0 ise 12=4y olup 3=y olarak elde edilir. Verilen doğruların kesim noktası (x, y) = (2, 3) olup Doğru Cevap A seçeneğidir.
8.Soru
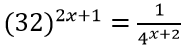
denkleminin çözüm kümesi aşağıdakilerden hangisidir?
|
|
|
|
|
|
|
|
|
|
Tabanlar aynı olduğundan üsler eşittir.
10x + 5 = -2x - 4
12x = -9
9.Soru
f (x)=3x3 - 2x2 + 4 fonksiyonunun x=2 noktasındaki türevi aşağıdakilerden hangisidir?
|
5 |
|
16 |
|
18 |
|
28 |
|
32 |
f ‘(x)= 3 x (3x2)-2 x (2x) = 9x2 – 4x olur. Böylece f ‘(2)= 9 x (2)2 – 4 x 2 = 36 – 8 = 28 elde edilir.
10.Soru
f(x)=sin?(x2)-3x2+10 ise f'' (0)=?
|
-4 |
|
-3 |
|
-2 |
|
-1 |
|
0 |
Fonksiyonun birinci mertebeden türevi f' (x)=2x cos?(x2)-6x dir. İkinci mertebeden türevi ise f'' (x)=2 cos?(x2)-4x2 sin?(x2)-6 olur. f'' (0)=2 cos?(02)-4·(02)sin?(02)-6= 2·1-4·0-6=-4 bulunur.
11.Soru
2, 6, 3, 5, 4, 3, 9, 5, 2, 3 verilerinden oluşan örneklemin modunu bulunuz?
|
2 |
|
3 |
|
4 |
|
5 |
|
9 |
Bir dağılımda ya da popülasyonda en çok tekrar edilen terime mod (tepe değer) denir. 3 en çok tekrar edilen sayı olduğundan bu dağılımın modudur.
12.Soru
Aşağıdakilerden hangisi üyelik fonksiyonlarının belirlenmesinde kullanılan başlıca yöntemlerden biri değildir?
|
Açılı bulanık kümeler |
|
Genetik algoritmalar |
|
Sezgi |
|
Çıkarımcı muhakeme şeklindedir |
|
Berraklaştırma |
Bulanıklaştırma ve Fonksiyonların Oluşturulması başlığı altında,
Üyelik fonksiyonlarının belirlenmesinde kullanılan başlıca yöntemler; a) Sezgi, b) Çıkarım, c) Mertebeleme, d) Açılı bulanık kümeler, e) Yapay sinir ağları, f) Genetik algoritmalar, g) Çıkarımcı muhakeme şeklindedir.
Bu seçenekler arasında berraklaştırma yoktur.
13.Soru
Aşağıdaki noktalardan hangisi III. bölgede yer alır?
|
(1,1) |
|
(1,-1) |
|
(-1,-1) |
|
(-1,1) |
|
(4,-3) |
(-1,-1) noktasının her iki bileşeni negatif ve Kartezyen koordinatlarda III. Bölgedeki bileşenlerin hepsi negatif olduğundan (-1,-1) noktası III. Bölgede yer alır.
14.Soru
Kutupsal koordinatlarda ile gösterilen noktanın Kartezyen koordinatlardaki karşılığı nedir?
|
|
|
|
|
|
|
|
|
|
Kutupsal koordinatlarda verilen bir ikilisinin Kartezyen koordinatlardaki karşılığı
ve
olmak üzere (x,y) ikilisidir. Dolayısıyla
olur ve verilen noktanın Kartezyen koordinatlardaki karşılığı
olarak bulunur.
15.Soru
f (x) = 5 x2 e3x fonksiyonunun türevi aşağıdakilerden hangisidir?
|
15 x2e3x |
|
15 x2 e3x + 5 x2 e3x |
|
10 x e3x + 15 x2 e3x |
|
10 x2 e3x + 5 x2 e3x |
|
10 x e3x + 5 x2 e3x |
f ‘ (x) = (5 x2 e3x) = (5x2)’e3x + 5x2 (e3x)’ = 10 x e3x + 15 x2 e3x elde edilir.