Coğrafi Bilgi Sistemleri İçin Temel Matematik Final 9. Deneme Sınavı
Toplam 17 Soru1.Soru
? x.sin? x dx integralinin sonucu aşağıdakilerden hangisidir?
|
x.sinx+cosx +c |
|
–x.cosx+sinx+c |
|
x.cosx-sinx+c |
|
2x.cosx+sinx+c |
|
sinx.cosx+x+c |
Kısmi integrasyon yöntemiyle integralin sonucunu bulmaya çalışalım. sin?xdx=dv ve x=u ise -cos?x=v ve dx=du bulunur.
u.v-? v du=-x.cos?x +? cos? x dx =-x.cos?x+sin?x+c bulunur.
2.Soru
3. Bir geometrik şekli doğu yönünde 2 birim, güney yönünde 4 birim hareket ettiren öteleme dönüşümü aşağıdakilerden hangisidir?
|
|
|
|
|
|
|
|
|
|
Şeklin 2 birim doğuya hareket etmesi x koordinatının 2 birim sağa kayması, 4 birim güneye gitmesi ise y koordinatının 4 birim aşağı gitmesi anlamına gelmektedir. Bunu da fonksiyon üzerinden gösterirsek; şeklindedir.
3.Soru
kuralı ile verilen fonksiyonun en geniş tanım kümesi aşağıdakilerden hangisidir?
|
|
|
|
|
(2,∞) |
|
[2,∞) |
|
(-∞,2) |
Karekök fonksiyonu paydada olduğu için
3x-6>0 olduğu gerçel sayıları bulmalıyız. Buradan x>2 olur. Fonksiyonun en geniş tanım kümesi (2,∞) aralığıdır.
4.Soru
Bir okulda Matematik dersini alan 10 öğrencinin notları sırasıyla 70, 60, 45, 85, 90, 35, 40, 20, 25, 100 olduğuna bu dersin aritmetik ortalamasını bulunuz?
|
47 |
|
52 |
|
57 |
|
62 |
|
67 |
Notların aritmetik ortalaması:
5.Soru
Bulanık mantık kaç alt birimden oluşmaktadır?
|
1 |
|
2 |
|
3 |
|
4 |
|
5 |
Bulanık mantık, üç ayrı alt birimden oluşmaktadır. Bu birimler; sırası ile bulanıklaştırıcı birim, kural işleme birimi ve durulaştırıcı birim şeklindedir.
6.Soru
Kutupsal koordinatlardaki gösterimi olan noktanın kartezyen koordinatlardaki gösterimi aşağıdakilerden hangisidir?
|
|
|
|
|
|
|
|
|
|
elde edilir. O halde kartezyen koordinatlardaki yeri
elde edilir.
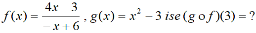
8.Soru
|
|
|
|
|
|
|
|
|
|
Sayfa 180 de verilen formülde a=1, b=2 ve c=3 alınırsa D) şıkkındaki fonksiyon kuralı elde edilir.
9.Soru
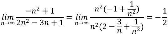
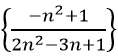
dizisinin limiti aşağıdakilerden hangisidir?
|
-1 |
|
|
|
|
|
0 |
|
∞ |
10.Soru
denkleminin çözüm kümesi aşağıdakilerden hangisidir?
|
{2,4} |
|
{3,8} |
|
{-8,4} |
|
{-4,8} |
|
{-4,2} |
ise,
11.Soru
Düzlemde verilen A = (2, -7) noktası ile B = (-3, 5) noktası arasındaki uzaklık aşağıdakilerden hangisidir?
|
10 |
|
11 |
|
12 |
|
13 |
|
14 |
Düzlemde verilen A = (2, -7) noktası ile B = (-3, 5) noktası arasındaki uzaklık
eşitliği yardımıyla bulunur. Bu eşitlikte verilen noktalara ait değerler yerine konulduğunda;
olarak elde edilir. Dolayısıyla Doğru Cevap D seçeneği olur.
12.Soru
(7, -2) noktası ile (-3, 4) noktasını birleştiren segmentin orta noktasının 3x+4y+5=0 doğrusuna uzaklığı aşağıdakilerden hangisidir?
|
1 |
|
2 |
|
3 |
|
4 |
|
5 |
(7, -2) noktası ile (-3, 4) noktasını birleştiren segmentin orta noktasını
eşitliği yardımıyla
olarak buluruz. Bu noktanın 3x+4y+5=0 doğrusuna uzaklığı ise
eşitliği yardımıyla hesaplanabilir. Buradan ilgili değerler yerine konulduğunda;
olarak elde edilir. Bu nedenle Doğru Cevap C seçeneği olur.
14.Soru
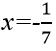
2x+3y-1=0 ile x+5y-2=0 doğrularının kesişim noktası aşağıdakilerden hangisidir?
|
|
|
|
|
|
|
|
|
|
İkinci denklemden x=2-5y olur. Bulduğumuz x’i birinci denklemde yerine yazarsak;
2(2-5y)+3y-1=0
4-10y+3y-1=0
-7y+3=0 buluruz. Bu y değerini x=2-5y denkleminde yazarsak
bulunur.
15.Soru
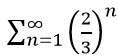
serisi ile ilgili aşağıdakilerden hangisi doğrudur?
|
Geometrik seridir ve toplamı 2’dir. |
|
Geometrik seridir +∞ ‘a ıraksar. |
|
Dönüşümlü bir seridir ve toplamı 2’dir. |
|
Dönüşümlü bir seridir +∞’a ıraksar. |
|
Geometrik seridir ve toplamı 3’tür. |
n. terimi an =ar(n-1) şeklinde tanımlanan serisine geometrik seri denir. Ortak çarpan 2/3’tür yani |r|<1 olduğundan seri toplamı
bulunur.
17.Soru
Aşağıdakilerden hangisi bulanık mantığın temelde sağladığı avantajlardan biri değildir?
|
Doğrusal olmayan fonksiyonların modellenmesine izin verebilir |
|
Uygulamasında mutlaka matematiksel bir modele gereksinim duyar |
|
Yazılımın basit olması nedeniyle, sistemin daha ekonomik olarak kurulabilir |
|
Kesinlik arzetmeyen bilgilerin kullanılmasının söz konusudur |
|
Bulanık Mantık kavramını anlamak kolaydır |
Bulanık mantığın temelde sağladığı avantajlar aşağıda sıralanmıştır:
1. İnsan düşünce sistemine ve tarzına yakındır.
2. Uygulamasında mutlaka matematiksel bir modele gereksinim duymaz.
3. Yazılımın basit olması nedeniyle, sistem daha ekonomik olarak kurulabilir.
4. Bulanık mantık kavramını anlamak kolaydır.
5. Üyelik değerlerinin kullanımı sayesinde, diğer kontrol tekniklerine göre daha esnektir.
6. Kesinlik arz etmeyen bilgilerin kullanılması söz konusudur.
7. Doğrusal olmayan fonksiyonların modellenmesine izin verebilir.
8. Sadece uzman kişilerin tecrübelerinden faydalanılarak kolaylıkla bulanık mantığa dayalı bir modelleme ya da sistem tasarlanabilir.
9. Geleneksel kontrol teknikleriyle uyum hâlindedir.
Açıklamadan da görüleceği üzere 2. Maddede Mutlaka matematiksel modele gereksinim duymaz açıklaması yapılmış