Devre Analizi Final 9. Deneme Sınavı
Toplam 20 Soru1.Soru
Her biri 36Ω değerinde olan dört direnç birbirlerine paralel olarak bağlandığında devrenin eşdeğer direnci aşağıdakilerden hangisi olur?
|
3 Ω |
|
9 Ω |
|
18 Ω |
|
27 Ω |
|
36 Ω |
Paralel bağlı dirençlerde eşdeğer direnç 1/36 + 1/36+ 1/36 + 1/36 = 1/ Reş hesaplamasına göre 4/36=1/9 olup. 1/Reş =1/9 denklemine göre Reş=9 Ω olarak hesaplanır.
2.Soru
Aşağıdaki kapasite birimi dönüşümlerinden hangisi ya da hangileri doğrudur? I- 4,7 nF = 47 pf II- 5000 pf = 0,005 µF III- 0,75 µF = 750 kaç nF
|
Yalnız I |
|
I, II |
|
I, III |
|
II, III |
|
I, II, III |
Kondansatör birimleri;
II, III ifadeleri doğru I ifadesi yanlıştır. Sorunun doğru cevabı D seçeneğidir.
3.Soru
Sıcaklık değişim katsayısı 0,0036 olan iletkenin 15°C deki direnci 15 Ω ise 45°C deki direnç değeri ne olur?
|
0,108 Ω |
|
1,108 Ω |
|
16,62 Ω |
|
17,62 Ω |
|
18,62 Ω |
R0, t0 anındaki direnç ve α sıcaklıkla değişim katsayısı olmak üzere t1 anındaki direnç R1, R1 = R0.[1+ α . (t1 − t0)] formülü kullanılarak bulunabilir. Bu durumda,
R1=15.[1+0,0036.(45-15)]
R1=16,62 Ω olarak bulunur.
4.Soru
Yukarıdaki devrede R1 direnci üzerine düşen gerilim değeri kaç volttur?
|
4 |
|
6 |
|
8 |
|
2 |
|
5 |
Bu tip devrelerde ilk önce bizden istenilen değerin olduğu devre elemanına odaklanmalıyız ve olabildiğince sadeleştirme yaparak çözüme daha kısa yoldan gitmeliyiz.Öncelikle R1 ve R2 dirençleri paralel bağlı yanı bu iki dirence düşen gerilim değeri aynıdır. Aynı şekilde R3 ve R4 dirençleri de sadeleştirmeye gidilebilir.
Devre aşağıdaki gibi sadeleşirse artık kirşof gerilim yasasını uygulayabiliriz.
Akım değerini 2 amper bulduktan sonra bizden istenilen R1 üzerinde düşen gerilim değeri için hesaplama yapabiliriz.
5.Soru
Frekansı 30 KHz olan sinüzoidal AA gerilimine 40 pF’lık bir kondansatör bağlanmıştır. Kondansatörün kapasitif reaktansı ’dur?
|
70 |
|
92 |
|
118 |
|
132 |
|
154 |
6.Soru
Periyot hangi harfle gösterilir ve SI birim sisteminde birimi nedir?
|
F harfi ile kısaltılır, birimi saniyedir. |
|
T harfi ile kısaltılır, birimi dakikadır. |
|
T harfi ile kısaltılır, birimi saniyedir. |
|
F harfi ile kısaltılır, birimi dakikadır. |
|
RMS harfi ile kısaltılır, birimi saniyedir. |
Periyot T harfiyle gösterilir. Bir periyot sabit bir süreye karşılık gelir. SI birim sisteminde, periyot birimi saniye (sn)’dir.
7.Soru
Şekildeki devrede t < 0 süresince kapalı olan anahtar t = 0 anında açılmaktadır. Buna göre t = 200 msn’deki vC voltajı aşağıdakilerden hangisidir?
|
20 V |
|
7,35 V |
|
11,25 V |
|
15 V |
|
17,57 V |
Şekildeki devrede t < 0 için kondansatör voltajı,
şeklinde hesaplanır. Kondansatör voltajının ani değişim gösteremediği bilindiğine göre
VC0 = vC(0) = vC(0+) = vC(0–) şeklinde olur.
Anahtar t = 0 anında açıldıktan sonra devre aktiftir. Seri bağlı R2 = 10 ?’luk
bir direnç ve C = 20 mF’lık bir kondansatörden oluşan bu devrenin zaman sabiti
? = R . C = 10 . 20 . 10–3 = 0,2 sn
olduğundan eşitlik vC(t) voltajının zamana göre ifadesi,
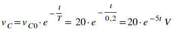
şeklinde bulunur. Buna göre t = 200 msn = 0,2 sn’deki kondansatör voltajı şu şekilde hesaplanır:
vC(0,2) = 20 . e–5 . (0,2) = 20 . e–1 = 7,35 V
8.Soru
Şekilde iki adet alternatif akım verilmiştir. Bunlardan kesikli çizgi ile verilen I1 sürekli çizgi ile verilen ise I2'dir. Bu akımlardan hangisi ileri faza sahiptir ve faz açısı ne kadardır?
|
I2 ileri faza sahip, faz açısı 36o |
|
I2 ileri faza sahip, faz açısı 45o |
|
I1 ileri faza sahip, faz açısı 24o |
|
I1 ileri faza sahip, faz açısı 36o |
|
I1 ileri faza sahip, faz açısı 45o |
Verilen şekilde I1 ileri faza sahiptir. İki akımın periyodu 10 saniyedir ve I1 I2 akımından 1 saniye ileridedir. Buna göre aralarındaki faz açısı ise olarak bulunur. Doğru cevap D'dir.
9.Soru
Büyüklüğü ve yönü zamana bağlı olarak periyodik değişim gösteren elektriksel akımlara ne denir?
|
Alternatör |
|
Alternatif Akım |
|
Devir Daim |
|
Anlık Akım |
|
Açısal Frekans |
Büyüklüğü ve yönü zamana bağlı olarak periyodik değişim gösteren elektriksel akımlara alternatif akım denir.
10.Soru
Sinüzoidal ifadeler ----------, ---------- ve ---------- olmak üzere üç temel bileşenden oluşur. İfadedeki boşluklara aşağıdakilerden hangisi gelmelidir?
|
Periyot - Frekans - etkin gerilim |
|
Genlik – Devir – Faz açısı |
|
Frekans – Faz açısı – Devir |
|
Frekans – Periyot – tepe değer |
|
Genlik-Frekans-Faz açısı |
Sinüzoidal ifadeler genlik, frekans ve faz açısı olmak üzere üç temel bileşenden oluşur.
11.Soru
Endüktansı 2 H olan bir bobin üzerinden geçen akım; iL(t) = 0,5 . t² Amper olarak veriliyor ise t=4 s 'de bobinin enerjisi kaç joule 'dür?
|
8 |
|
16 |
|
48 |
|
64 |
|
72 |
E=0,5.L. (iL)² =0,5 . 2. 8² =64 Jolue olur. (iL=0,5 . 4²=8 A)
12.Soru
Birim zamanda tekrar eden ortalama devir sayısına ne denir?
|
Negatif Alternans |
|
Periyot |
|
Pozitif Alternans |
|
Anlık Değer |
|
Frekans |
Frekans birim zamanda tekrar eden ortalama devir sayısıdır. Bu ifade, 1 saniye içinde tekrar eden ortalama devir sayısı olarak kullanılmaktadır. f ile gösterilir ve birimi Hertz (Hz)’dir.
13.Soru
Seri bağlı olan R1=5 ve R2=4 dirençleri ile bunlara paralel 2 direncinin oluşturduğu Reş kaçtır?
|
1,23 |
|
1,33 |
|
1,43 |
|
1,53 |
|
1,63 |
5+4=9
Reş=(9.2)/(9+2) =1,63
14.Soru
(5 ve 6. sorular aşağıda verilen bilgilere göre cevaplanacaktır.)
Başlangıç gerilimi Vc(0)=40 V olan 5 µF lık bir kondansatör 3 k? ve 6 k? luk iki dirence paralel bağlanmıştır.
t>0 için Vc(t) ifadesi aşağıdakilerden hangisinde verilmiştir?
|
40 V |
|
4e-0,1t V |
|
40e-0,01t V |
|
4e-t V |
|
40e-100t V |
İki direncin paralel eşdeğeri Reş=2k? olur. Devrenin zaman sabiti T=Reş.C=10-2 sn.Kondansatörün boşalması(deşarj) durumunda gerilim denklemi Vc(t)=Vc(0)e-t/Tşeklindedir. Böylece Vc(t) = 40e-100t V olur.
15.Soru
Şekildeki devrede t < 0 süresince kapalı olan anahtar, t = 0 anında açılmıştır. Bobin üzerinden geçen iL(t) akımının zamana göre ifadesi aşağıdakilerden hangisidir?
|
|
|
|
|
|
|
|
|
|
Bu devrede t < 0 için bobin kısa devre gibi davranır ve üzerinden geçen akım,
Olarak hesaplanır. Burada bobin üzerinden geçen akım ani değişim gösteremeyeceğinden
IL0 =iL(0+)=iL(0-) olduğu unutulmamalıdır.
Bu devrenin zaman sabiti,
olduğundan iL(t) akımının zamana göre ifadesi;
olarak bulunmaktadır.
16.Soru
Bir devirlik AA akımı veya gerilimi oluşurken geçen süreye ne denir?
|
Devir |
|
Periyot |
|
Faz |
|
İleri Faz |
|
Rotor |
Bir devirlik AA akımı veya gerilimi oluşurken geçen süreye periyot denir ve T harfiyle gösterilir.
17.Soru
Direnç ve kondansatörlerden oluşan, gerilim veya akım kaynağı tarafından beslenen bir elektrik devresi olan direnç-kondansatör devresi aşağıdakilerden hangisi ile gösterilir?
|
RL |
|
V |
|
DA |
|
RC |
|
RA |
Direnç-kondansatör devresi (RC devresi) direnç ve kondansatörlerden oluşan, gerilim veya akım kaynağı tarafından beslenen bir elektrik devresidir.
18.Soru
Gerçek direnci 7 Ω, reaktansı 24 Ω olan bir devrenin empedansının kutupsal gösterimi aşağıdakilerden hangisinde verilmiştir?
|
7∠24,25° |
|
10∠48,11° |
|
24∠16,21° |
|
25∠73,74° |
|
33∠36,86° |
R=7Ω, X=24Ω
|Z |=kök(R²+X²)=kök(7²+24²)=25
θ=tan-1(X/R)=tan-1(24/7)=73,74°
25∠73,74°
19.Soru
Sadece direnç ve kondansatörden oluşan kaynaksız bir RC devresinde kondansatörün t= 0 anındaki gerilim değeri VC(0) = 10V, devredeki direnç 5? ve kondansatör 0,1F olarak verilmiştir. Kondansatör voltajının zamana göre ifadesini nedir?
|
10.e-2t |
|
20.e-t |
|
10.e-4t |
|
20.e-2t |
|
10.e-0,5t |
Zaman sabiti;
? = R.C formülü ile ifade edilir. Bu durumda değerler yerine konduğunda;
? = 5.0,1
? = 0,5 olarak bulunur.
Kondansatörün t= 0 anındaki gerilimi de verildiğine göre değerleri genel denklemde yerine yazarsak
VC(t)= 10.e-2t V olarak elde edilir.
20.Soru
Sabit bobinlerin kullanım yerleri ilgili aşağıda verilen ifadelerden hangisi ya da hangileri doğrudur? I- Ferrit nüveli bobin, yüksek frekanslı devrelerde ve radyo alıcı-vericilerinde kullanılır. II- Demir nüveli bobinler daha çok AA (Alternatif Akım) geriliminin düşürülmesinde, filtreleme ve ses frekans devrelerinde kullanılırlar. III- Hava nüveli bobinler genellikle alçak frekanslı devrelerde kullanılırlar.
|
Yalnız I |
|
I, II |
|
I, III |
|
II, III |
|
I, II, III |
Ferrit nüveli bobin, yüksek frekanslı devrelerde ve radyo alıcı-vericilerinde kullanılır. Demir nüveli bobinler daha çok AA geriliminin düşürülmesinde, filtreleme ve ses frekans devrelerinde kullanılırlar. Hava nüveli bobinler genellikle yüksek frekanslı devrelerde kullanılırlar. I ve II ifadeleri doğru, III ifadesi yanlıştır. Sorunun doğru cevabı B seçeneğidir.
-
- 1.SORU ÇÖZÜLMEDİ
- 2.SORU ÇÖZÜLMEDİ
- 3.SORU ÇÖZÜLMEDİ
- 4.SORU ÇÖZÜLMEDİ
- 5.SORU ÇÖZÜLMEDİ
- 6.SORU ÇÖZÜLMEDİ
- 7.SORU ÇÖZÜLMEDİ
- 8.SORU ÇÖZÜLMEDİ
- 9.SORU ÇÖZÜLMEDİ
- 10.SORU ÇÖZÜLMEDİ
- 11.SORU ÇÖZÜLMEDİ
- 12.SORU ÇÖZÜLMEDİ
- 13.SORU ÇÖZÜLMEDİ
- 14.SORU ÇÖZÜLMEDİ
- 15.SORU ÇÖZÜLMEDİ
- 16.SORU ÇÖZÜLMEDİ
- 17.SORU ÇÖZÜLMEDİ
- 18.SORU ÇÖZÜLMEDİ
- 19.SORU ÇÖZÜLMEDİ
- 20.SORU ÇÖZÜLMEDİ