Ekonomik Analiz Final 10. Deneme Sınavı
Toplam 20 Soru1.Soru
I. Sermaye hareketleri dengesinin fazla vermesi
II. Yurtdışından borçlanmak
III. Merkez bankasının döviz rezervlerinden yararlanmak
Yukarıdakilerden hangileri cari işlemler dengesi açığını kapatmanın yollarındandır?
|
I. ve II. |
|
II. ve III. |
|
I. ve III. |
|
I. II. ve III. |
|
Yalnızca I. |
Seçeneklerin hepsi cari işlemler dengesi açığını kapatmanın yollarındandır.
2.Soru
Aşağıdakilerden hangisi trampa ekonomisinin gerçekleşmesi için sağlanması gereken koşullar arasında yer almaz?
|
Karşılıklı mal mübadelesi ya da değişimi yapacak edecek “A” ve “B” gibi iki tarafın bulunması |
|
A’nın sunduğu malın B’nin aradığı mal olması |
|
B’nin sunduğu malı, A tarafından talep edilmesi |
|
A ve B’nin her ikisinin de bu değişimden kârlı çıkacakları düşüncesinde olması |
|
İş bölümü ve uzmanlaşma derecesinin artması |
Güçlüklerini sıraladığımız trampada, mübadelenin gerçekleşebilmesi bazı koşulların gerçekleşmesine
bağlıdır. Bunlar;
• Karşılıklı mal mübadelesi ya da değişimi yapacak edecek “A” ve “B” gibi iki tarafın bulunması,
• A’nın sunduğu malın B’nin aradığı mal olması,
• B’nin sunduğu malı, A tarafından talep edilmesi,
• A ve B’nin her ikisinin de bu değişimden kârlı çıkacakları düşüncesinde olmasıdır.
3.Soru
Aşağıdakilerden hangisi alternatif döviz kuru sistemlerinden birisi değildir?
|
Gözetimli Dalgalanma |
|
Aralık İçinde Dalgalanma |
|
Sabit kur sistemi |
|
Kaygan aralık |
|
Yönlendirilmiş Sabit Parite |
Bu bölümün başlarında döviz ve döviz piyasası incelendi. Bu bilgileri tamamlamak üzere döviz kuru sistemleri tanıtılacaktır. Döviz kuru sistemleri genelde “esnek (dalgalı)” ve “sabit” döviz kuru çerçevesinde tartışılsa da günümüzde alternatif döviz kuru sistemleri bir hayli çoğalmıştır. C seçeneğinde verilen kur sistemi geleneksel kur sistemidir. Doğru cevap C seçeneğidir.
4.Soru
Gelir ve gider tahminlerini ve varsa aradaki farkın nasıl işlem göreceğini ortaya koyan belgeye ne ad verilir?
|
Bütçe |
|
Devri tahakkuk |
|
Mali istikrar |
|
Mali tevzin |
|
Akım şeması |
Kamu bütçesi veya kısaca bütçenin çeşitli tanımları yapılabilir. Bütçe daha yalın bir tanımlamayla “gelir ve gider tahminlerini ve varsa aradaki farkın nasıl işlem göreceğini ortaya koyan bir belgedir”
5.Soru
Aşağıdakilerden hangisi “tespit edildiği dönemde bir işte çalışmakla birlikte çalışma saati 40 saatten az olan ve daha fazla çalışabileceği bir iş arayan” kişiler ile “halen bir işte çalışmakla birlikte son dört hafta içinde mevcut işini değiştirmek için iş aramış olan” kişilerin toplamından oluşur?
|
Eksik istihdam |
|
Umudunu yitirerek iş aramaktan vazgeçenler |
|
Sivil işgücü |
|
Gücenmiş işçi |
|
İşgücüne katılma oranı |
Eksik istihdam "tespit edildiği dönemde bir işte çalışmakla birlikte çalışma saati 40 saatten az olan ve daha fazla çalışabileceği bir iş arayan” kişiler ile “halen bir işte çalışmakla birlikte son dört hafta içinde mevcut işini değiştirmek için iş aramış olan” kişilerin toplamından oluşur
6.Soru
Aşağıdakilerden hangisi zorunlu karşılıkların temel fonksiyonlarından değildir?
|
Likidite yönetimi |
|
Kısa vadeli faiz oranlarının istikrarına yardımcı olmak |
|
Para arzını ayarlamak |
|
Para ve kredi koşullarını kontrol etmek |
|
Bankacılık sisteminin riskinin azaltılması |
Hem gelişmiş ülkelerde hem de gelişmekte olan ülkelerde zorunlu karşılıklar farklı amaçlarda ve farklı özelliklerde kullanılmasına rağmen, genel kabul görmüş beş temel fonksiyona sahiptir. Bunlar: Bankacılık sisteminin riskinin azaltılması, Para arzını ayarlamak , Kısa vadeli faiz oranlarının istikrarına yardımcı olmak , Likidite yönetimi , Senyoraj geliri elde etmek.
7.Soru
Türkiye'de ekonomik faaliyetlerin büyüme daralma dönemlerini önceden görebilmek amacıyla hangi endeks oluşturulmuştur?
|
Bileşik Öncü Göstergeler |
|
Ekonomi Saati Yöntemi |
|
Satın Alma Yöneticileri Endeksi |
|
TÜFE |
|
Ekonomik Faaliyet İçin Bileşik Öncü Göstergeler Endeksi |
Türkiye Cumhuriyet Merkez Bankası da (TCMB) ekonomik faaliyetlerin büyüme daralma
dönemlerini önceden görebilmek amacıyla OECD ile ortak bir çalışma yürütmüştür. Banka bu bağlamda “Ekonomik Faaliyet İçin Bileşik Öncü Göstergeler Endeksi” (MBÖNCÜ-SÜE) olarak bilinen bir endeks oluşturmuştur. Doğru cevap E seçeneğidir.
8.Soru
Baraj, savunma hizmetleri için gerekli mallara ne ad verilir?
|
Yetkinlik malları |
|
Kamu Malları |
|
Taşınabilir iktisadi ticari kuruluş malları |
|
Gelir getirici mallar |
|
İthalata yönelik mallar |
Mal ve hizmet sağlanması: Piyasaya bırakıldığında yeterince sağlanması zor olan mal ve hizmetler vardır. Savunma hizmetlerinin, kanun ve düzenin sağlanması, sel kontrolü için gerekli yapıların (baraj vb.) tesisi gibi mallara kamu malları; eğitim ve sağlık gibi mallara yetkinlik malları adı verilir.
9.Soru
Bu sistemde aralığın ortalama değeri(merkez kur) sabitlenmiştir. Bu ortalama değer belli olmayan sürelerle ayarlanmaktadır. Genelde yüksek enflasyon gözlenen ekonomilerde uygulama alanı bulan bir sistemdir. Tanımı verilen döviz kuru sistemi aşağıdakilerden hangisidir?
|
Gözetimli Dalgalanma |
|
Aralık İçinde Dalgalanma |
|
Yönlendirilmiş Sabit Aralık |
|
Kaygan Aralık |
|
Yönlendirilmiş Sabit Parite |
Kaygan aralık sisteminde, bir önceki sistemden farklı olarak, aralığın ortalama değeri(merkez kur) sabitlenmiştir. Bu ortalama değer belli olmayan sürelerle ayarlanmaktadır. Genelde yüksek enflasyon gözlenen ekonomilerde uygulama alanı bulan bir sistemdir. Ayarlanabilir merkez kur sayesinde kurun aşırı değerlenmesi engellenmektedir. Doğru cevap D seçeneğidir.
10.Soru
Aşağıdakilerden hangisi bir toplumda kamu sektörünün ekonomiye katılım nedenlerindendir?
|
Uluslararası topluma entegrasyon |
|
Yoksulluğun azaltılması |
|
Rekabetin özendirilmesi |
|
Eğitim seviyesini yükseltmek |
|
İsrafı önlemek |
Bir toplumda kamu sektörünün ekonomiye katılmasının birçok sebebi vardır. Bu sebeplerden bazıları;
Mal ve hizmet sağlanması, negatif dışsallıkların kontrolü, gelir ve servetin yeniden bölüştürülmesi, rekabetin özendirilmesi ve ekonomik faaliyet seviyesinin düzenlenmesidir.
11.Soru
Aşağıdaki görüşlerden hangisi verimlilikte oluşan tesadüfi dalgalanmaları ve şokları konjonktür dalgalanmalarının başlıca nedeni olarak görmektedir?
|
Klasik görüş |
|
Keynesyen görüş |
|
Reel konjontür teorisi |
|
Monetarist görüş |
|
Neo-keynesyen görüş |
Reel Konjonktür Dalgalanmaları Teorisi: Bu teoriye göre verimlilikte oluşan tesadüfi dalgalanmalar ve şoklar konjonktür dalgalanmalarının başlıca nedenidir.
12.Soru
Bir ülkenin parasının döviz piyasalarında serbestçe öteki ülke paralarına dönüştürülebilme özelliğine sahip olması aşağıdakilerden hangisinde ifadesini bulur?
|
Döviz Arbitrajı |
|
Döviz Spekülasyonu |
|
Konvertibilite |
|
Esnek Kur Sistemi |
|
Sabit Kur Sistemi |
Konvertibilite, bir ülkenin parasının döviz piyasalarında serbestçe öteki ülke paralarına dönüştürülebilme özelliğine sahip olmasıdır. Doğru cevap C şıkkıdır.
13.Soru
Kur marjı nedir?
|
Bir ülkenin ithalat ve ihracatına farklı döviz |
|
Bir dövizin ucuz olduğu piyasadan satın alınıp, pahalı olduğu piyasada satılmasıdır. |
|
Bir ülkenin ithalat fiyat indeksinin o ülkenin |
|
Bir ülkenin ulusal parasının döviz piyasalarında serbestçe öteki ülkelerin parasına dönüştürülme özelliğine sahip olmasıdır. |
|
Alış ve satış kurları arasındaki farktır. |
Kur marjı alış ve satış kurları arasındaki farktır.
14.Soru
Aşağıdakilerden hangisi İMKB Ulusal Endekslerini etkileyen makroekonomik faktörlerden biri değildir?
|
Para arzı |
|
Faiz oranları |
|
Döviz kuru |
|
Enflasyon |
|
Emek arzı |
CeterisParibus, para arzının artması faiz oranlarını düşürerek ekonomiyi canlandıracağı için borsa endeksinin artmasını sağlayacaktır. Borsa endeksini etkileyen ikinci faktör faiz oranlarıdır. CeterisParibus, faiz oranlarının yükselmesi borsa endeksini düşürecektir. Borsa endeksini etkileyen diğer bir faktör de döviz kurlarıdır. CeterisParibus, döviz kuru yükseldiğinde borsa endeksi düşer.Borsa endeksini etkileyen bir başka faktör “enflasyon”dur. CeterisParibus, enflasyondaki yükselme halkın satın alma gücünü düşürecek, bu nedenle mal ve hizmetlere olan talep azalacak ve sonunda borsa endeksi düşecektir.
15.Soru
Bugünkü parasal ücretler geçmiş zamanda görüşülerek belirlenmekte, geçmişteki fiyat düzeyi ile ilgili rasyonel beklentiler, parasal ücretlerin ve kısa dönem arz eğrisinin durumunu belirlediğini savunan konjontür teorisi aşağıdakilerden hangisidir?
|
Klasik Konjontür Dalgalanmaları Teorisi |
|
Keynesyen Konjonktür Dalgalanmaları Teorisi |
|
Yeni Keynesyen Konjontür Dalgalanmaları Teorisi |
|
Reel Konjonktür Dalgalanmaları Teorisi |
|
Monetarist (Parasal) Konjontür Dalgalanmaları Teorisi |
Yeni Keynesyen Konjontür Dalgalanmaları Teorisi: Bu görüşe göre bugünkü parasal ücretler geçmiş zamanda görüşülerek belirlenmekte, geçmişteki fiyat düzeyi ile ilgili rasyonel beklentiler, parasal ücretlerin ve kısa dönem arz eğrisinin durumunu belirlemektedir.
16.Soru
Aşağıdakilerden hangisi örgütlenmenin yasal niteliğine göre bankalardan biridir?
|
Özel bankalar |
|
Yabancı bankalar |
|
Çok şubeli bankalar |
|
Karma bankalar |
|
Sermaye şirketleri şeklindeki bankalar |
Dünyanın hemen bütün ülkelerinde, bankaların kurulabilmesi için yasal açıdan çeşitli kural ve kısıtlamalar bulunmaktadır. Örgütlenmedeki yasal özellikler açısından bankalar;
• Şahıs şirketleri şeklindeki bankalar
• Sermaye şirketleri şeklindeki bankalar
• Özel yasalarla kurulmuş bankalar olarak üç grupta toplanabilir.
17.Soru
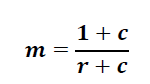
Nakit tercih oranı (c=0,08), zorunlu karşılık oranı (r=0,012) ise; para çarpanının (m) değeri kaç olur?
|
5,4 |
|
6,8 |
|
7,7 |
|
8 |
|
10 |
m=(1+0,08)/(0,12+0,08)=5,4
18.Soru
ekonominin bir biriminin veya bir bölümünün değil; onların karşılıklı etki ve
bağlılıklarının tüm ekonomi üzerindeki etkilerini inceleyen ekonomik analize ne ad verilir?
|
Kısmi denge analizi |
|
Genel denge analizi |
|
Durağan denge analizi |
|
Dinamik denge analizi |
|
Normatif analiz |
Genel denge analizi, ekonominin bir biriminin veya bir bölümünün değil; onların karşılıklı etki ve bağlılıklarının tüm ekonomi üzerindeki etkilerini inceler
19.Soru
1 kg domatesin fiyatı Türkiye’de ?8, ABD’de 2$ ise; domatesin için 1 ABD dolarının satın alma gücü paritesi ne kadar olur?
|
2 |
|
4 |
|
8 |
|
12 |
|
16 |
SAGP(Türkiye/ABD)=?8/2$= 4 olarak hesaplanır
Bulunan değer, domates için ABD’de ödenecek her bir dolara karşılık, Türkiye’de ?4 ödeneceği anlamını taşımaktadır.
20.Soru
Aşağıdaki görüşlerden hangisine göre verimlilikte oluşan tesadüfi dalgalanmalar ve şoklar konjonktür dalgalanmalarının başlıca nedenidir?
|
Klasik Konjontür Dalgalanmaları Teorisi |
|
Keynesyen Konjonktür Dalgalanmaları Teorisi |
|
Monetarist (Parasal) Konjontür Dalgalanmaları Teorisi |
|
Reel Konjonktür Dalgalanmaları Teorisi |
|
Yeni Keynesyen Konjontür Dalgalanmaları Teorisi |
Reel Konjonktür Dalgalanmaları Teorisi: Bu teoriye göre verimlilikte oluşan tesadüfi dalgalanmalar ve şoklar konjonktür dalgalanmalarının başlıca nedenidir.
-
- 1.SORU ÇÖZÜLMEDİ
- 2.SORU ÇÖZÜLMEDİ
- 3.SORU ÇÖZÜLMEDİ
- 4.SORU ÇÖZÜLMEDİ
- 5.SORU ÇÖZÜLMEDİ
- 6.SORU ÇÖZÜLMEDİ
- 7.SORU ÇÖZÜLMEDİ
- 8.SORU ÇÖZÜLMEDİ
- 9.SORU ÇÖZÜLMEDİ
- 10.SORU ÇÖZÜLMEDİ
- 11.SORU ÇÖZÜLMEDİ
- 12.SORU ÇÖZÜLMEDİ
- 13.SORU ÇÖZÜLMEDİ
- 14.SORU ÇÖZÜLMEDİ
- 15.SORU ÇÖZÜLMEDİ
- 16.SORU ÇÖZÜLMEDİ
- 17.SORU ÇÖZÜLMEDİ
- 18.SORU ÇÖZÜLMEDİ
- 19.SORU ÇÖZÜLMEDİ
- 20.SORU ÇÖZÜLMEDİ