Geleneksel Enerji Kaynakları Final 1. Deneme Sınavı
Toplam 20 Soru1.Soru
I. Petrol üretiminin piyasaya göre değişiklik göstermesi II. Petrolün sonlu bir enerji kaynağı olması III. Petrole olan bağımlılığın azalması Yukarıdakilerden hangisi veya hangileri petrolün fiyatının zaman zaman artması ve azalmasını açıklayan nedenlerdendir?
|
Yalnız I
|
|
Yalnız II
|
|
Yalnız III
|
|
I ve II
|
|
I, II, III
|
2.Soru
Türkye Kömür Isletmeler Kurumu, Kömür Sektör Raporu verilerine göre enerji üretiminde kömür kullanım oranı kaçtır?
|
%16 |
|
%13.5 |
|
%7.8 |
|
%1.3 |
|
%48.6 |
Türkiye Kömür İşletmeler Kurumu, Kömür Sektör Raporu verilerine göre enerji üretiminde kömür kullanım oranı %48.6’dır.
3.Soru
2014 Yılı Doğal Gaz Sektörel Tüketim Dağılımına göre Türkiye'de konutlarda hangi oranda doğalgaz kullanılmaktadır?
|
%17 |
|
%19 |
|
%21,4 |
|
%25,4 |
|
%48,12 |
Sektörlere göre tüketilen doğal gaz değerlendirildiğinde, konutlarda kullanılan miktar, 2014 yılı için %19’a tekabül ettiği görülmektedir. Buna göre doğru cevap B seçeneğidir.
4.Soru
Petrol rafinerisinde elde edilen ve çok büyük karbon sayısına sahip siyah ürünlerden biri aşağıdakilerden hangisidir?
|
Parafin |
|
Mikro kristalin |
|
Naften |
|
Asfalt |
|
Metan |
Nafta: Ham petrolün atmosferik koşullarda damıtılması sırasında elde edilen sıvı hidrokarbon karışımlarından oluşan bir ara üründür. Nafta kimyasal olarak parafinik, naftenik ve aromatik hidrokarbonlardan oluşur. Nafta içeriğinde yaklaşık olarak C5–C11 karbon sayısı aralığında hidrokarbonlar bulunur ve kaynama sıcaklığı 49-204°C aralığındadır. Genellikle yoğunluğu daha düşük olan nafta daha yüksek parafin içeriğine sahiptir. Daha yoğun nafta ise naftenler ve aromatiklerce daha zengindir. Asfalt: Petrolden elde edilen çok büyük karbon sayısına sahip siyah ürünlerdir.
5.Soru
Türkiye'de doğal gaz şehir içi evsel ve ticari olarak ilk kez nerede kullanıldı ?
|
Bursa |
|
İzmir |
|
Ankara |
|
İstanbul |
|
Şırnak |
Doğal gaz, şehiriçi evsel ve ticari olarak ilk kez 1988’de Ankara’da kullanılmıştır.
Doğru cevap C şıkkıdır.
6.Soru
Aşağıdakilerden hangisi gaz ve hafif ürünlerin elde edildiği süreçlerle ilgili olarak ayrıştırma işlemlerindeki ünitelerden biri değildir?
|
Bütan ayırıcı |
|
Propan ayırıcı |
|
Etan ayırıcı |
|
Nafta Parçalayıcı |
|
Isıl Bozunma |
Gaz ve hafif ürünlerin elde edildiği süreçler; bütan ayırıcı, propan ayırıcı, etan ayırıcı ve nafta parçalayıcı olarak 4 ünitede ayrıştırılması ile elde edilmektedir. Isıl bozunma ise, katalitik parçalanma sürecinde akışkan yataklı katalitik parçalanma sürecinin ilk aşamasıdır.
7.Soru
Rafinasyon sürecinin son aşaması aşağıdakilerden hangisidir?
|
Isıl parçalanma süreci |
|
Polimerizasyon süreci |
|
Alkilasyon süreci |
|
Isıl parçalanma süreci |
|
Asfalt üretim süreci |
Ham petrol damıtma kolonu alt ürünü içindeki yağlama yağları ve vaks bileşikler ayrıldıktan sonra, geriye büyük ölçüde asfalt esaslı maddeler içeren ağır, siyah bir karışım kalır. Büyük moleküllü ağır hidrokarbonlar bulunduran bu karışım 200-280°C sıcaklıktaki hava ile temas ettirilerek oksitleme reaksiyonları ile asfalt üretimi yapılır.
8.Soru
Aşağıdakilerden hangisi dünyada kullanılan en önemli enerji kaynaklarından birisidir?
|
Doğal gaz
|
|
Güneş enerjisi
|
|
Kömür
|
|
Petrol
|
|
Rüzgar enerjisi
|
9.Soru
Doğalgaz içerisinde bulunan aşağıdaki bileşiklerden hangisi doğal benzin ve polistiren köpüğü için şişirici madde olarak kullanılır?
|
Etan |
|
Propan |
|
Bütan |
|
İzobütan |
|
Pentan |
Doğalgaz içerisinde bulunan pentan doğal benzin olarak kullanılabildiği gibi polistiren köpüğü için şişirici madde olarak da kullanılabilir.
10.Soru
Hangi özelliklere sahip ham petroller en yüksek fiyata sahiptirler?
|
API gravitesi düşük, kükürt derişimi fiyat konusunda belirleyici değil |
|
API gravitesi düşük, kükürt derişimi düşük |
|
API gravitesi düşük, kükürt derişimi yüksek |
|
API gravitesi yüksek, kükürt derişimi yüksek |
|
API gravitesi yüksek, kükürt derişimi düşük |
API ( Amerikan Petrol Enstitüsü) gravitesi, ham petrolün ticari olarak fiyatını belirlemede kullanılır. Petrolün API gravite değeri arttıkça yoğunluk azalmakta ancak petrolün kalitesi, dolayısıyla fiyatı artmaktadır. Kükürt korozyona neden olması nedeniyle kükürt istenmeyen bir bileşen olup yüksek kükürt oranına sahip petroller aynı API gravitesindeki ancak düşük kükürtlü petrollerden daha ucuzdurlar.
11.Soru
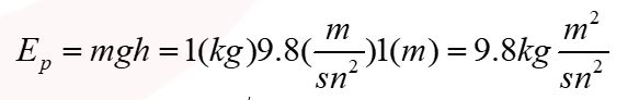
Yerden yüksekliği 1 m olan, kütlesi 1 kg olan bir topun, bir raftayken sahip olduğu potansiyel enerji nedir?
|
|
|
|
|
|
|
|
|
|
olarak hesaplanır.
12.Soru
Ham petrolü yeraltından çıkaran ilk kişi aşağıdakilerden hangisidir?
|
Samuel Andrews |
|
Edwin L. Drake |
|
John D. Rockefeller |
|
Henry Morrison Flagler |
|
Vladimir Shukov |
Edwin L. Drake petrolün tuz arama yöntemleriyle yeraltından çıkarılabileceğini düşünerek ham petrolü yeraltından çıkartan ilk kişidir.
13.Soru
Ham petrol rafinerilerinde işlendikten sonra elde edilen ürünlerden hangisi bileşen olarak uçak yakıtı kullanım alanına girmektedir?
|
Benzin |
|
Gaz yağı |
|
Dizel |
|
Süper benzin |
|
Nafta ve Gazlar |
Ham petrolün bileşeni olan "gaz yağı" nın kullanım alanı uçak yakıtı'dır.
14.Soru
Ham petrol rafinasyonu işlem basamaklarından hangisi 1.sırada yer alır ?
|
Tuz Giderme |
|
Damıtma |
|
Depolama |
|
Ön Isıtma |
|
Rafineri Süreçleri |
Ham Petrol Rafinasyonu İşlem Basamakları
Ham petrol -> Depolama -> Ön Isıtma -> Tuz Giderme -> Ön Isıtma -> Ham Petrol Pamıtma -> Rafineri Süreçleri
15.Soru
Dogal gaz %95’ten fazla metan içermesi durumunda hangi şekilde değerlendirilir?
|
Kuru gaz |
|
Islak gaz |
|
Zengin gaz |
|
Yumuşak gaz |
|
Tatlı gaz |
Doğal gaz %95’ten fazla metan içermesi durumunda kuru gaz olarak değerlendirilir.
16.Soru
Aşağıdakilerden hangisi "West Teksas Intermediate ( WTI)" ham petrolünün özelliklerinden biri değildir?
|
Düşük yoğunluğa sahip olduğundan hafif ve düşük kükürt içeriği nedeniyle tatlı olarak tanımlanır. |
|
API gravitesi 39.6 olan ham petrolü Brent ham petrolünden daha hafiftir. |
|
Kuzey denizinde farklı bölgelerden çıkartılan ve OPEC olarak adlandırılan bu ham petrol Benzin ve dizel yakıt üretimi için çok uygundur |
|
Kükürt içeriği %0.24 civarındadır ve yüksek kalitede yakıt üretilir. |
|
Kuzey Amerika petrolleri için kullanılır ve aynı zamanda dünyadaki petrollerin fiyatlandırılmasında referans noktası olarak alınır. |
West Teksas Intermediate ( WTI) ham petrolü; Düşük yoğunluğa sahip olduğundan hafif ve düşük kükürt içeriği nedeniyle tatlı olarak tanımlanır. API gravitesi 39.6 olan ham petrolü Brent ham petrolünden daha hafiftir. Kükürt içeriği %0.24 civarındadır ve yüksek kalitede yakıt üretilir. Kuzey Amerika petrolleri için kullanılır ve aynı zamanda dünyadaki petrollerin fiyatlandırılmasında referans noktası olarak alınır.
17.Soru
Birincil enerji kaynakları hangi başlıklar altında toplanabilir?
|
Yenilenemeyen Enerji Kaynakları; Yenilenebilir Enerji Kaynakları ve Atıklar
|
|
Kömür; Ham petrol; Doğalgaz ve Nükleer Yakıt
|
|
Su gücü; Biyokütle; Güneş Enerjisi
|
|
Rüzgar enerjisi; Jeotermal Enerji ve Dalga Enerjisi
|
|
Atıklar; Yenilenebilir Enerji Kaynakları
|
18.Soru
Kütlesi 2 kg olan bir topun yer çekimi ivmesi (g) 8,2 ve yerden 3 metre yükseklikten yere bırakılırsa potansiyel enerjisi kaç olur?
|
45,1
|
|
38,3
|
|
49,2
|
|
33,5
|
|
57,6
|
19.Soru
Kömürün gazlaştırılması işlemi ağırlıklı olarak aşağıdakilerden hangi gazı elde etmek amacıyla yapılmaktadır?
|
Hidrojen |
|
Metan |
|
Karbonmonoksit |
|
Karbondioksit |
|
Azot |
Kömürün ısı altında bozundurulmasıyla elde edilen gazlara kömür gazı adı verilmektedir. Bu gazlar gazlaştırma koşullarına bağlı olarak hidrojen, metan, karbonmonoksit, karbondioksit, azot gibi farklı hidrokarbon ve gazlardan oluşur. Bu prosesten elde edilen gaz ürünler, elektrik enerjisi üretiminde güç merkezi ve türbinler için yakıt olabileceği gibi endüstriyel yakıtların, kimyasal maddelerin ve hidrojen gazının üretiminde kullanılmaktadır.
20.Soru
Petrol İhraç Eden Ülkeler Örgütü ifadesinin kısa gösterimi aşağıdakilerden hangisidir?
|
OPEC |
|
OECD |
|
ILO |
|
UNESCO |
|
UNICEF |
OPEC, Petrol İhraç Eden Ülkeler Örgütü. OECD, Ekonomik Kalkınma ve İşbirliği Örgütü. ILO, Uluslararası Çalışma Örgütü. UNESCO, Birleşmiş milletler eğitim, Bilim ve Kültür Örgütü. UNICEF, Birleşmiş Milletler Çocuklara Yardım Fonu’ dur.
-
- 1.SORU ÇÖZÜLMEDİ
- 2.SORU ÇÖZÜLMEDİ
- 3.SORU ÇÖZÜLMEDİ
- 4.SORU ÇÖZÜLMEDİ
- 5.SORU ÇÖZÜLMEDİ
- 6.SORU ÇÖZÜLMEDİ
- 7.SORU ÇÖZÜLMEDİ
- 8.SORU ÇÖZÜLMEDİ
- 9.SORU ÇÖZÜLMEDİ
- 10.SORU ÇÖZÜLMEDİ
- 11.SORU ÇÖZÜLMEDİ
- 12.SORU ÇÖZÜLMEDİ
- 13.SORU ÇÖZÜLMEDİ
- 14.SORU ÇÖZÜLMEDİ
- 15.SORU ÇÖZÜLMEDİ
- 16.SORU ÇÖZÜLMEDİ
- 17.SORU ÇÖZÜLMEDİ
- 18.SORU ÇÖZÜLMEDİ
- 19.SORU ÇÖZÜLMEDİ
- 20.SORU ÇÖZÜLMEDİ