Genel Matematik Ara 11. Deneme Sınavı
Toplam 19 Soru1.Soru
log2 (1/32)= x ise x’in değeri aşağıdakilerden hangisidir?
|
-1 |
|
1 |
|
3 |
|
-5 |
|
4 |
Doğru cevap D'dir.
2.Soru
3(x + 2) + 2(x – 1) = 2(x + 5) denkleminin çözümü aşağıdakilerden hangisidir?
|
3 |
|
2 |
|
1 |
|
-1 |
|
-2 |
3(x + 2) + 2(x – 1) = 2(x + 5)
6x + 6 + 2x – 2 = 2x + 10
8x + 4 = 2x + 10
6x = 6
x = 1 olur.
3.Soru
log6(log3 x)=0 ise x sayısının değeri kaçtır?
|
320 |
|
310 |
|
27 |
|
3 |
|
9 |
log6(log3 x)=0 ise log3 x=60, log3 x=1 ise x=3 tür. Dolayısıyla doğru cevap D'dir.
4.Soru
Bir üçgenin taban uzunluğu yüksekliğinin 2 katı ve bu üçgenin alanı 25 ise taban uzunluğu kaç cm2 dir?
|
2 |
|
5 |
|
10 |
|
12 |
|
15 |
Üçgenin tabanını t, yüksekliğini y ile gösterirsek t=2y’dir. Üçgenin alanı
5.Soru
A ve B kümeleri için aşağıda verilen işlemlerden hangisi birer fonksiyondur?
|
|
|
|
|
|
|
|
|
|
B seçeneğinde verilen işlem bir fonksiyondur. Çünkü A kümesinde açıkta eleman kalmamış ve A kümesindeki her bir elemanın sadece bir görüntüsü vardır.
6.Soru
Yukarıda grafiği verilen parabolün denklemi aşağıdakilerden hangisidir?
|
y=-1/2 x2-3x-4 |
|
y=-2x2+3x-4 |
|
y=-1/2 x2-5x-4 |
|
y=3x2-4x-4 |
|
y=-1/3 x2-3x-4 |
Parabolün geçtiği (4,0), (-2,0) ve (0,-4) noktaları denklemlerde yerine yazılarak bunu sağlayan denklem bulunur.
y=-1/2 x2-3x-4
(4,0) için; 0=-1/2 42-3.4-4
(-2,0) için; 0=-1/2 (-2)2-3(-2)-4
(0,-4) için; -4=-1/2 02-3.0-4
7.Soru
g(x)=4x+1 ve fog(x)=(4x+1)^2+(4x+1)+1 ise f(x)=?
|
f(x)=x^2+x+1
|
|
f(x)=x^2+x
|
|
f(x)=x^2
|
|
f(x)=(4x+1)^2
|
|
f(x)=(4x - 1)^2
|
8.Soru
olduğuna göre h-1(2) aşağıdakilerden hangisidir?
|
7 |
|
8 |
|
9 |
|
10 |
|
11 |
h fonksiyonu bire bir ve örten olduğundan tersi vardır. Soruda h(x)=2 olan x yani
denkleminin çözümü sorulmaktadır. Bu denklemden x+5=2(x-1) denklemi, buradan da x+5=2x-2 elde edilir. Dolayısıyla x=7 bulunur. O halde h-1(2)=7’dir. Doğru cevap A'dır.
9.Soru
sayısı aşağıdakilerden hangisidir?
|
8 |
|
12 |
|
16 |
|
32 |
|
64 |
10.Soru
2x2+7x+16=0 denkleminin çözüm kümesi aşağıdakilerden hangisidir?
|
{-2,1} |
|
{-7,-1} |
|
Ø |
|
{2,16} |
|
{-16,2} |
Verilen denklemi çözmek için önce diskriminantı (deltayı) hesaplayalım. ?=b2-4ac=72-4.2.16=49-128=-79<0
olduğundan denklemin hiçbir gerçel kökü yoktur.
11.Soru
Radyoaktif bir maddenin yarı ömrü 4 yıldır. Bu maddenin başlangıçtaki kütlesi 320 gram olduğuna göre 16 yıl sonra bu maddeden kaç gram kalır?
|
10
|
|
20
|
|
40
|
|
80
|
|
160
|
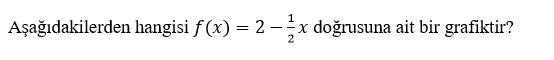
12.Soru
|
|
|
|
|
|
|
|
|
|
x=0 için f(x)=2 ve f(x)=0 için x=4 olarak bulunabilir. Dolayısıyla grafik (4,0) ve (0, 2) noktalarından geçer.
13.Soru
|
(-∞,13/4) |
|
(-∞,5/4) |
|
(5/4,0) |
|
(5/4,+∞) |
|
(13/4,+∞) |
14.Soru
3(x+1)+4(2x-2)=x+5 denkleminin çözüm kümesi aşağıdakilerden hangisidir?
|
5
|
|
4
|
|
3
|
|
2
|
|
1
|
15.Soru
log3(2x-5)=3 olduğuna göre aşağıdakilerden hangisidir?
|
1 |
|
2 |
|
3 |
|
4 |
|
5 |
log3(2x-5)=3 olduğundan logaritmanın tanımından 2x-5=30 elde edilir. Denklem düzenlenirse 2x=32 buradan da x=5 bulunur.
16.Soru
-x2-16=0 denkleminin gerçel sayılardaki çözüm kümesi aşağıdakilerden hangisidir?
|
{-4} |
|
{4} |
|
{-4,4} |
|
{-16} |
|
∅ |
-x2-16=0⇒x2=-16 olur. Gerçel sayılarda hiçbir sayının karesi negatif olamayacağından çözüm kümesi boş kümedir. Dolayısıyla doğru cevap E'dir.
17.Soru
, f(x)=2x+2 olmak üzere f-1(16) aşağıdakilerden hangisidir?
|
5 |
|
6 |
|
7 |
|
8 |
|
9 |
f(x)=2x+2 fonksiyonu birebir ve örten bir fonksiyon olduğundan bu fonksiyonun tersi vardır. f-1(16) demek 16’nın f fonksiyonun tersi olan f-1 fonksiyonunda görüntüsü demektir. f-1 fonksiyonunu bulmadan da soru çözülebilir. f-1(16) demek f altında görüntüsü 16 olan x değerinin bulunması demektir. Başka bir ifade ile f(x)=16 eşitliğini sağlayan x değeri bulunmalıdır. f(x)=2x+2=16 ise buradan x=7 olarak elde edilir.
19.Soru
Aşağıdakilerden hangisi sayı doğrusu üzerinde başlangıç noktası olan sıfır noktasına en yakın olan noktadır?
|
|
|
|
|
|
|
|
|
|
Soruda başlangıç noktası olan sıfır noktasına en yakın olan nokta ile aslında verilen noktaların pozitif anlamda en küçüğü ifade edilmek istenmiştir. Bu durumda negatif olarak verilen noktalar pozitif olarak düşünüldüğünde;
haline dönüşür. Bu noktalardan en küçük olanı;
dir. Dolayısıyla Doğru Cevap C seçeneğidir.
-
- 1.SORU ÇÖZÜLMEDİ
- 2.SORU ÇÖZÜLMEDİ
- 3.SORU ÇÖZÜLMEDİ
- 4.SORU ÇÖZÜLMEDİ
- 5.SORU ÇÖZÜLMEDİ
- 6.SORU ÇÖZÜLMEDİ
- 7.SORU ÇÖZÜLMEDİ
- 8.SORU ÇÖZÜLMEDİ
- 9.SORU ÇÖZÜLMEDİ
- 10.SORU ÇÖZÜLMEDİ
- 11.SORU ÇÖZÜLMEDİ
- 12.SORU ÇÖZÜLMEDİ
- 13.SORU ÇÖZÜLMEDİ
- 14.SORU ÇÖZÜLMEDİ
- 15.SORU ÇÖZÜLMEDİ
- 16.SORU ÇÖZÜLMEDİ
- 17.SORU ÇÖZÜLMEDİ
- 18.SORU ÇÖZÜLMEDİ
- 19.SORU ÇÖZÜLMEDİ