Genel Matematik Ara 7. Deneme Sınavı
Toplam 19 Soru1.Soru
Aşağıdaki ifadelerden hangisi doğrudur?
|
|
|
|
|
|
|
|
|
|
2.Soru
x²+5x+6=0 denkleminin çözüm kümesi aşağıdakilerden hangisidir?
|
{-3,-2}
|
|
{2,3}
|
|
{-1,1}
|
|
{0,1}
|
|
{-1,0}
|
4.Soru
log?75+log?4-log?3 ifadesinin değeri aşağıdakilerden hangisidir?
|
0
|
|
1
|
|
2
|
|
3
|
|
4
|
5.Soru
log5 ? 0,7 ise log125 değeri yaklaşık olarak kaçtır?
|
1,4
|
|
2,1
|
|
2,8
|
|
3,43
|
|
5,6
|
6.Soru
x2-2x+3=0 denkleminin çözüm kümesi aşağıdakilerden hangisidir?
|
∅ |
|
{1} |
|
{3} |
|
{1,3} |
|
{0,2} |
Önce ? hesaplanır.
?=b2-4ac=(-2)2-4.1.3=-8 < 0 olduğundan, yani negatif olduğundan gerçel çözüm yoktur.
8.Soru
x bir gerçel sayı olmak üzere
kuralı ile tanımlanan fonksiyonun en geniş tanım kümesi aşağıdakilerden hangisidir?
|
|
|
|
|
[-2, 3] |
|
[-3, 3] |
|
[0, 4] |
Karekök içindeki ifade negatif sayı olamayacağından olmalıdır. Buradan
buradan
bulunur. Bu mutlak değerli eşitsizliğinin çözümü
, yani [-3, 3]'dür. Doğru cevap D'dir.
9.Soru
36 kişilik bir sınıfın tamamı İngilizce bilmektedir. 12 kişi aynı zamanda Almanca ve Fransızca da bilmektedir. Sadece İngilizce bilen 6 kişi olduğuna göre bu üç dilden yalnız ikisini bilen kaç kişidir?
|
20 |
|
18 |
|
16 |
|
14 |
|
12 |
10.Soru
36 kişilik bir sınıfta belli bir sınav döneminde Biyoloji dersinden başarılı olanlar 21 ve Kimya dersinden başarılı olanlar 17 kişidir. Her iki dersten de başarılı olan 11 kişi olduğuna göre her iki dersten de başarısız olan kaç kişi vardır?
|
7 |
|
8 |
|
9 |
|
10 |
|
11 |
Her iki dersten başarılı olan öğrenciler Biyoloji ∩ Kimya kümesini oluşturmaktadır. Her iki dersten de başarısız olan öğrenciler ise Biyoloji U Kimya kümesinin tümleyenine aittir. Soruda bu tümleyen kümesinde kaç öğrenci olduğu sorulmaktadır. Kesişim kümesinde 11 kişi olduğuna göre yalnızca Biyoloji dersinden başarılı öğrencilerin kümesi 21-11 = 10 kişidir ve yalnızca Kimya dersinden başarılı öğrencilerin kümesi de 17 − 11 = 6 kişidir. Bu derslerin herhangi birinden başarılı öğrencilerin kümesi
Biyoloji U Kimya olarak ifade edilir ve bu kümenin 10 + 11 + 6 = 27 elemanı vardır. Sınava giren 36 öğrenci, en az bir dersten başarılı da 27 öğrenci olduğuna göre, her iki dersten başarısız olan öğrenci sayısı 36 − 27 = 9 olur. Bu nedenle Doğru Cevap C seçeneğidir.
11.Soru
A={1,3,5,7,9} B={2,4,6} ve C={5,6,7,8,9} olmak üzere (AUB)?C kümesi aşağıdakilerden hangisidir?
|
{1,3,4}
|
|
{5,6,7}
|
|
{2,4}
|
|
{5,6,7,9}
|
|
{8,9}
|
13.Soru
A={a,b,c,d,e,f} kümesi veriliyor. Aşağıdakilerden hangisi A kümesinin bir alt kümesidir?
|
|
|
|
|
|
|
|
|
|
A ve B iki küme olsun. Her x∈ A için x∈ B ise A kümesine B kümesinin altkümesidir denir. Dolayısıya doğru cevap A'dır.
14.Soru
Gerçel sayılar kümesinden gerçel sayılar kümesine f(x)=2x+1 ve g(x)=x+1 fonksiyonları veriliyor. f-g fonksiyonunun kuralı aşağıdakilerden hangisidir?
|
0
|
|
x
|
|
2x
|
|
3x
|
|
1
|
15.Soru
eşitsizliğinin çözüm kümesi hangisidir?
|
(-∞,-8) |
|
(-∞,8) |
|
(8,∞) |
|
(-8,∞) |
|
∅ |
16.Soru
log381 kaçtır?
|
2 |
|
4 |
|
8 |
|
12 |
|
16 |
log381=x olsun. Böylece 3x=81'dir. 3x=34 olduğundan x=4 olur.
17.Soru
X = {1, 2, 5, 9} ve Y = {a, b , c, d, e} kümeleri verilsin. Aşağıdakilerden hangisi X kümesinden Y kümesine bir fonksiyondur?
|
ß1 = { (1, a), (2, b), (5, c), (9, d) }
|
|
ß2 = { (1, a), (2, b), (5, c), (5, d), (9, b), (9, d) }
|
|
ß3 = { (1, b), (5, a), (9, d) }
|
|
ß4 = { (1, d), (2, d), (5, d), (1, c) }
|
|
ß5 = { (1, c), (1, d), (2, b), (5, a), (5, c), (9, a)}
|
18.Soru
Bir sınıftaki çocuklar sıralara 2’şerli oturursa 3 çocuk ayakta kalmakta, 3’erli oturursa da 2 sıra boş kalmaktadır. Bu durumda bu sınıfta kaç çocuk vardır?
|
27 |
|
21 |
|
18 |
|
12 |
|
9 |
Sınıftaki sıraların sayısı x ile gösterilsin. Sınıftaki çocuk sayısı 2x+3 veya 3x-6 dır. Buradan verilen problem 2x+3=3x-6 şeklinde birinci dereceden bir bilinmeyenli denkleme dönüşür. Bu denklem çözülürse x=9 olur. Bu sayı eşitliğin herhangi birinde yerine konursa 2⋅9+3 den sınıftaki çocuk sayısı 21 olur. Dolayısıyla doğru cevap B'dir.
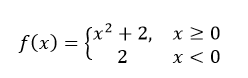
19.Soru

fonksiyonu verilsin. f(3)-f(-3) değeri aşağıdakilerden hangisidir?
|
10 |
|
9 |
|
8 |
|
7 |
|
6 |
Fonksiyon sıfırdan küçük olan sayıları 2 ile eşlediğinden f(-3)=2 olur. Fonksiyon sıfırdan büyük ya da sıfıra eşit değerleri x2+2 ile eşlediğinden f(3)=32+2=11 olur. Bu değerleri yerine yazarsak, f(3)-f(-3)=11-2=9 olarak bulunur. Doğru cevap B'dir.
-
- 1.SORU ÇÖZÜLMEDİ
- 2.SORU ÇÖZÜLMEDİ
- 3.SORU ÇÖZÜLMEDİ
- 4.SORU ÇÖZÜLMEDİ
- 5.SORU ÇÖZÜLMEDİ
- 6.SORU ÇÖZÜLMEDİ
- 7.SORU ÇÖZÜLMEDİ
- 8.SORU ÇÖZÜLMEDİ
- 9.SORU ÇÖZÜLMEDİ
- 10.SORU ÇÖZÜLMEDİ
- 11.SORU ÇÖZÜLMEDİ
- 12.SORU ÇÖZÜLMEDİ
- 13.SORU ÇÖZÜLMEDİ
- 14.SORU ÇÖZÜLMEDİ
- 15.SORU ÇÖZÜLMEDİ
- 16.SORU ÇÖZÜLMEDİ
- 17.SORU ÇÖZÜLMEDİ
- 18.SORU ÇÖZÜLMEDİ
- 19.SORU ÇÖZÜLMEDİ