Genel Matematik Final 13. Deneme Sınavı
Toplam 19 Soru1.Soru
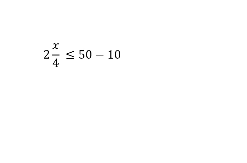
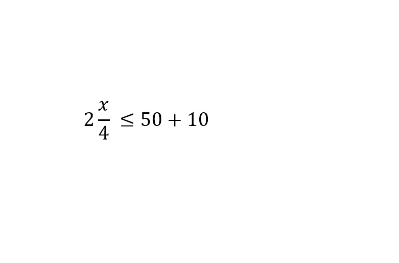
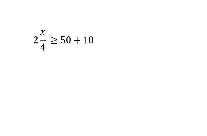
“50 TL param vardı. 10 TL de annem verdi. Bir külah dondurma 2 TL 25 kuruş olduğuna göre, kaç kişiye ısmarlayabilirim?” sorusunun çözümü için aşağıdaki eşitsizliklerden hangisi kullanılır?
|
|
|
|
|
|
|
|
|
|
2.Soru
250 liraya satılan bir elbisenin fiyatı 175 liraya indirilirse indirim oranı yüzde kaç olur?
|
20
|
|
25
|
|
30
|
|
35
|
|
40
|
3.Soru
Mehmet %1.17 bileşik faizle 18 ay vadeli 30000 TL konut kredisi için ödemesi gereken aylık taksit miktarı aşağıdakilerden hangisidir?
|
835.11
|
|
950.60
|
|
1111.46
|
|
1545.45
|
|
1858.01
|
4.Soru
%30 u ile %40 ının toplamı 700 olan sayı aşağıdakilerden hangisidir?
|
100
|
|
200
|
|
500
|
|
1000
|
|
2000
|
5.Soru
2 den 100 e kadar olan çift sayıların toplamı kaçtır?
|
2025
|
|
2505
|
|
2550
|
|
2525
|
|
2500
|
6.Soru
Milyarda birin 10 tabanına göre logaritması kaçtır?
|
–9
|
|
–10
|
|
–6
|
|
–8
|
|
–7
|
7.Soru
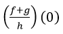
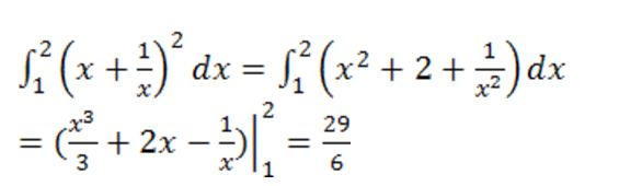
ise
değeri kaçtır?
|
1 |
|
2 |
|
3 |
|
4 |
|
5 |
bulunur.
8.Soru
Bir bankanın aylık faiz oranı %1,25 ise yıllık faiz oranı aşağıdakilerden hangisidir?
|
%13
|
|
%14
|
|
%15
|
|
%16
|
|
%17
|
9.Soru
10 'dan 15 kadar sayıların toplamı nedir ?
|
9
|
|
15
|
|
45
|
|
75
|
|
120
|
10.Soru
Yarılanma ömrü 25 yıl olan bir radyoaktif maddeden 600 gram vardır. Buna göre 75 yıl sonra bu maddeden kaç gram kalır?
|
75
|
|
100
|
|
150
|
|
200
|
|
300
|
11.Soru
% 30 indirimle 2100 liraya satılan bir buzdolabının indirimden önceki fiyatı kaç liradır?
|
4500 |
|
4000 |
|
3500 |
|
3000 |
|
2500 |
Buzdolabının indirimden önceki fiyatına x dersek x-(30/100)*x=(70/100)*x=2100 eşitliğinden x=3000 lira bulunur. Doğru yanıt D seçeneğidir.
12.Soru
Türev ile ilgili aşağıda verilenlerden hangisi yanlıştır?
|
Sabit fonksiyonun türevi sıfırdır.
|
|
f(x)=IxI fonksiyonun x=0 da türevi yoktur.
|
|
f(x)=x fonksiyonunun x=100 noktasındaki türevi 1 dir.
|
|
f(x)=IxI fonksiyonun x=1 de türevi 1 dir.
|
|
f(x)=IxI fonksiyonun x=-1 de türevi 1 dir.
|
13.Soru
ise 4A matrisi aşağıdakilerden hangisidir?
|
|
|
|
|
|
|
|
|
|
Bir matrisi bir sayı ile çarpmak matrisin elemanlarını o sayı ile çarpmak olduğundan,
olur.
14.Soru
A ve B birer küme olmak üzere, A \ B kümesinin eleman sayısı 5, B \ A kümesinin eleman sayısı 6 ve A kümesinin eleman sayısı 8'dir. Buna göre A U B kümesinin eleman sayısı aşağıdakilerden hangisidir?
|
12 |
|
13 |
|
14 |
|
15 |
|
16 |
Soruda verilen değerler yukarıdaki gibi ilgili yerlere yazıldığında A U B kümesinin eleman sayısı;
5 + 3 + 6 = 14 olarak elde edilir.
16.Soru
F(x) fonksiyonunun türevinin f(x) fonksiyonuna eşit olması durumunu ifade eden kavram aşağıdakilerden hangisidir?
|
Binomu |
|
Kuvveti |
|
İntegrali |
|
Sabiti |
|
İlkeli |
F(x) fonksiyonunun türevi f(x) fonksiyonuna eşit ise F(x) fonksiyonuna f(x)'in bir ilkeli denir. Dolayısıyla doğru cevap E'dir.
17.Soru
f(x)=4e^(4x)+3x^2 fonksiyonunun integralinin sonucu aşağıdakilerden hangisi olabilir?
|
e^5x+x^3+7
|
|
e^4x+x^3+3
|
|
e^4x+x^2
|
|
16e^4x+x^3+2
|
|
e^5x+x^2+1
|
18.Soru
Ortak çarpanı 7 ve ilk terimi 3/7 olan bir geometrik dizinin ikinci terimi kaça eşittir?
|
13
|
|
11
|
|
7
|
|
5
|
|
3
|
19.Soru
f(x) = x2+x+1 parabolüne x=2 noktasında teğet olan doğru denklemi nedir?
|
x-y-3 = 0 |
|
x-5y-3 = 0 |
|
x-y-5 = 0 |
|
3x-y-3 = 0 |
|
5x-y-3 = 0 |
f(x) parabolüne x=2 noktasında teğet olan doğru (2, f(2)) noktasından geçiyor demektir. f(2) = 4+2+1=7 ve böylece (2, 7) noktasından geçen doğrunun denklemini bulmak için doğrunun eğimini bulmamız yeterlidir. Parabole x=2 noktasında teğet olan doğrunun eğimi f'(2)'dir. f'(x) = 2x+1 ve f'(2) = 2.2+1 = 5 olduğundan f fonksiyonuna x=2 noktasında teğet olan doğrunun denklemi (2, 7) noktasından geçen ve eğimi 5 olan doğrudur. O halde doğru denklemi y-7=5(x-2) ve böylece y=5x-3, yani 5x-y-3=0 bulunur. Doğru cevap E'dir.
-
- 1.SORU ÇÖZÜLMEDİ
- 2.SORU ÇÖZÜLMEDİ
- 3.SORU ÇÖZÜLMEDİ
- 4.SORU ÇÖZÜLMEDİ
- 5.SORU ÇÖZÜLMEDİ
- 6.SORU ÇÖZÜLMEDİ
- 7.SORU ÇÖZÜLMEDİ
- 8.SORU ÇÖZÜLMEDİ
- 9.SORU ÇÖZÜLMEDİ
- 10.SORU ÇÖZÜLMEDİ
- 11.SORU ÇÖZÜLMEDİ
- 12.SORU ÇÖZÜLMEDİ
- 13.SORU ÇÖZÜLMEDİ
- 14.SORU ÇÖZÜLMEDİ
- 15.SORU ÇÖZÜLMEDİ
- 16.SORU ÇÖZÜLMEDİ
- 17.SORU ÇÖZÜLMEDİ
- 18.SORU ÇÖZÜLMEDİ
- 19.SORU ÇÖZÜLMEDİ