Genel Matematik Final 22. Deneme Sınavı
Toplam 19 Soru1.Soru
Bir aile 400.000 TL değerinde bir ev almak istemektedir.Her ay gelirinin 4000 TL 'sını bu amaç için aylık % 1,6 faizle bankaya yatırmaktadır. Aile bu tasarrufa yaklaşık kaç ay devam etmelidir?
|
60
|
|
56
|
|
64
|
|
58
|
|
62
|
2.Soru
f(x)=3x olarak verilen üstel fonksiyon için f(-1)+f(1) değeri hangisidir?
|
-1/3 |
|
0 |
|
1/3 |
|
3 |
|
10/3 |
f(-1)+f(1)=3-1+31=1/3+3=10/3 Doğru cevap E'dir.
3.Soru
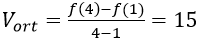
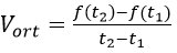
f(t)=3t2 kuralı ile hareket eden bir cismin [1,4] aralığındaki ortalama hızı nedir?
|
3 |
|
15 |
|
27 |
|
45 |
|
48 |
Ortalama hız formülünde
verilen t1=1, t2=4 yerine yazılırsa;
olur.
4.Soru
Aşağıdaki sayılardan hangisi 1 den küçüktür?
|
e
|
|
ln10
|
|
e/3
|
|
3/e
|
|
ln(e)
|
5.Soru
Bay Ahmet vitrinde 160 Tl ye gördügü ceket için pazarlık yaparak % 10 indirim yaptırmıştır. Malı satın alırken kasada ayrıca 4 Tl indirm yapmayı başarmıştır. Bu durumda Bay Ahmet Yüzde yaz indirim yapmayı başarmıştıt.
|
% 10
|
|
% 12.5
|
|
% 15
|
|
% 20
|
|
% 25
|
6.Soru
integralinin sonucu nedir?
|
|
|
|
|
|
|
|
|
|
Doğru cevap C’dir.
7.Soru
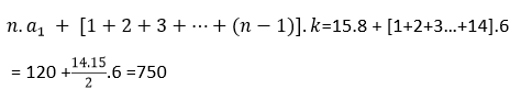
İlk terimi 8 ve ortak farkı 6 olan bir aritmetik dizinin ilk 15 teriminin toplamı nedir?
|
630 |
|
660 |
|
690 |
|
720 |
|
750 |
olur. Ya da formüle göre
olur.
8.Soru
Bir mağazada bir gömleğin sezon içindeki fiyatı 225 TL ‘dir. Bu gömlek sezon sonu indirimiyle 135 TL’ye alınabiliniyorsa, sezon sonu indirimi yüzde kaçlık bir indirim olmuş olur?
|
40
|
|
50
|
|
30
|
|
35
|
|
45
|
9.Soru
2x+y=14x-y=4sisteminin çözümünde x i bulunuz.
|
2
|
|
4
|
|
6
|
|
8
|
|
0
|
10.Soru
Ortak çarpanı 3 ve ilk terimi 2 olan bir geometrik dizinin üçüncü terimi aşağıdakilerden hangisidir?
|
3 |
|
6 |
|
9 |
|
12 |
|
18 |
İlk terim 2 ise;
a1=2
a2=2.3=6
a3=3.6=18 olur.
11.Soru
x2-x-20>0 eşitsizliğinin çözüm kümesi hangisidir?
|
(-4,5) |
|
[-4,5] |
|
(-∞,-4)∪(5,∞) |
|
(-∞,-5)∪(4,∞) |
|
(-∞,-4]∪[5,∞┤) |
12.Soru
x ekseni boyunca hareket eden bir cismin t anındaki hızı v(t)=3t^2+t denklemi ile verilmektedir. Bu cisim t=0 anında başlangıç noktasında ise bu cismin konum zaman fonksiyonunu bulunuz.
|
t^3+t^2+2
|
|
t^3+t+2
|
|
2t^3+t^2/2
|
|
6t+1
|
|
t^3+t^2/2
|
13.Soru
100 sayısını önce % 20 artırıp sonra da elde edilen sayının % 20 azaltılması sonucu elde edilen sayı aşağıdakilerden hangisidir?
|
104
|
|
102
|
|
100
|
|
98
|
|
96
|
14.Soru
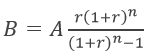
Bir bankadan %0,79 aylık faiz oranı ile 12 ay vade ile 10000 TL tüketici kredisi çekilirse, aylık geri ödeme taksitleri kaç TL olur?
|
800 |
|
825 |
|
830 |
|
860 |
|
892 |
borç amortisman formülünden bankaya ödenecek taksit bulunur. Bu soru için formüldeki değerler A=10000, r=0,0079, n=12'dir. Böylece ödenecek aylık taksit
bulunur.
15.Soru
Bir bankanın aylık faiz oranı %1,4 ise yıllık oranı aşağıdakilerden hangisidir?
|
%10
|
|
%13
|
|
%14
|
|
%16
|
|
%18
|
16.Soru
Ortak çarpanı 3 ve ilk terimi 2 olan bir geometrik dizinin üçüncü terimi aşağıdakilerden hangisidir?
|
6 |
|
12 |
|
16 |
|
18 |
|
24 |
İlk terimi 2 ve ortak çarpanı 3 olan geometrik dizisinin ilk üç terimi, a1=2, a2=3.a1=6, a3=3.a2=18 olduğundan üçüncü terim 18 olur.
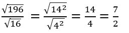
17.Soru
sayısı aşağıdakilerden hangisidir?
|
|
|
|
|
|
|
|
|
|
olarak elde edilir.
18.Soru
Bankaya yıllık olarak yatırılan 2000 TL, iki yıl sonra faizi ile birlikte 2420 lira olarak çekiliyor. Banka paraya yüzde kaç faiz uygulamıştır?
|
% 0.1
|
|
%10
|
|
%20
|
|
% 1
|
|
%25
|
19.Soru
f(x)=x^3-3x+1 eğrisine x=0 noktasında teğet olan doğru denklemi aşağıdakilerden hangisidir?
|
3x+1
|
|
3x-1
|
|
-3x+1
|
|
-3x-1
|
|
-3x
|
-
- 1.SORU ÇÖZÜLMEDİ
- 2.SORU ÇÖZÜLMEDİ
- 3.SORU ÇÖZÜLMEDİ
- 4.SORU ÇÖZÜLMEDİ
- 5.SORU ÇÖZÜLMEDİ
- 6.SORU ÇÖZÜLMEDİ
- 7.SORU ÇÖZÜLMEDİ
- 8.SORU ÇÖZÜLMEDİ
- 9.SORU ÇÖZÜLMEDİ
- 10.SORU ÇÖZÜLMEDİ
- 11.SORU ÇÖZÜLMEDİ
- 12.SORU ÇÖZÜLMEDİ
- 13.SORU ÇÖZÜLMEDİ
- 14.SORU ÇÖZÜLMEDİ
- 15.SORU ÇÖZÜLMEDİ
- 16.SORU ÇÖZÜLMEDİ
- 17.SORU ÇÖZÜLMEDİ
- 18.SORU ÇÖZÜLMEDİ
- 19.SORU ÇÖZÜLMEDİ