Genel Matematik Final 23. Deneme Sınavı
Toplam 16 Soru1.Soru
(3, 2) ve (5, 4) noktalarından geçen doğrunun eğimi kaçtır?
|
1
|
|
-1
|
|
-2
|
|
3
|
|
2
|
2.Soru
Bir öğrenci parasının ini harcadıktan sonra 56 lirası kalıyor. Buna göre öğrencinin başlangıçtaki parası aşağıdakilerden hangisidir?
|
100 |
|
90 |
|
80 |
|
70 |
|
60 |
Öğrencinin harcama yapmadn önceki parası x olsun.
3.Soru
Aşağıda verilen bilgilerden hangisi/hangileri doğrudur?
|
Sadece I |
|
Sadece II |
|
Sadece III |
|
I-II |
|
I-II-III |
Ortak farkı 4 ve ilk terimi 5 olan aritmetik dizinin ilk birkaç terimini yazalım:
a1=5, a2=5+4=9, a3=5+4+4=13, a4=5+4+4+4=17, a5=5+4+4+4+4=21 olur. O halde II. madde doğrudur. Buradan 5,9,13,17,21,… dizisi elde edilir. Bu dizinin genel kuralı 4n+1’dir. O halde III. madde de doğrudur. 4n+1 de n yerine 10 yazarsak 41 elde ederiz ki bu I. maddenin de doğru olduğunu gösterir. Dolayısıyla tüm maddeler doğrudur.
4.Soru
y=-2x-3 doğrusunun grafiği aşağıdakilerden hangisidir?
|
|
|
|
|
|
|
|
|
|
y=-2x-3 denkleminde y=0 yazılarak x=-3/2, x=0 yazılarak da y=-3 bulunur. Grafik ise (-3/2, 0) ve (0, -3) noktalarından geçen doğru olacaktır.
5.Soru
x²+4x+3=0 denkleminin çözüm kümesi aşağıdakilerden hangisidir?
|
{-3,-1}
|
|
(-3, 1)
|
|
(-∞,-3)
|
|
(-1,∞)
|
|
{1,3}
|
6.Soru
a=1/2, b=-1/3, c=5/4 ve d=1/4 sayılarının küçükten büyüğe sıralanışı aşağıdakilerden hangisi gibidir?
7.Soru
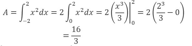
Üstten y=4 doğrusu, alttan f(x)=x^2 parabolü ile sınırlı bölgenin alanı kaç birim karedir?
|
|
|
|
|
|
|
8 |
|
16 |
y=4 doğrusu ve f(x)=x2 parabolünün kesiştiği noktalar x2=4 denklemi çözülerek bulunur. Bu denklemin kökleri x=-2 ve x=2 dir. Bu sınırlı bölgenin alanı ise
olur. Doğru cevap C'dir.
8.Soru
f (x) = (1 - x^2)^2 fonksiyonunun türevi aşağıdakilerden hangisidir?
|
-4x(1 - x^2)
|
|
x(1 - x)
|
|
4x(1 - x)
|
|
x^2 - 4
|
|
x^2 + 4
|
9.Soru
f(x)=x^3 - (x^2)/3 + 1 fonksiyonu için f''(0) değeri nedir?
|
1
|
|
-2/3
|
|
-1/3
|
|
0
|
|
-1
|
10.Soru
f1(x) = 4x+3, f2(x) = 3x+2 doğrularının kesişim noktasının koordinatları nedir?
|
(-1,1)
|
|
(1,-1)
|
|
(-1,-1)
|
|
(1,2)
|
|
(2,1)
|
11.Soru
Aşağıda verilen logaritma fonksiyonu ile ilgili bilgilerden hangisi/hangileri doğrudur?
|
Sadece I |
|
Sadece II |
|
Sadece III |
|
I-II |
|
I-II-III |
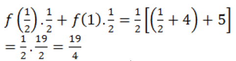
13.Soru
şeklinde tanımlanıyor.noktalarından oluşan bölüntüsüne göre Riemann toplamı aşağıdakilerden hangisidir?
|
|
|
|
|
|
|
|
|
|
Bölüntü noktalarından oluştuğu için her birinin boyu
alt aralıkları söz konusudur. Riemann toplamı denildiği için fonksiyonun alt aralıkların sağ uç noktasında aldığı değerler dikkate alınır. Buna göre
Doğru cevap B’dir.
14.Soru
eğrisi ile
eğrisi arasında kalan alanı bulunuz.
|
|
|
|
|
|
|
|
|
|
Bu eğriler
de kesiştiklerinden ve
aralığında
olduğundan istenen alan
olarak elde edilir. Doğru yanıt E seçeneğidir.
15.Soru
f(x)= x^5 -e^5x ise f 'nin türevinin 0 noktasındaki değeri nedir?
|
-5
|
|
-8
|
|
5-e
|
|
e-1
|
|
5-e^5
|
16.Soru
f(x)=-x^2+6x-7 fonksiyonunun yerel maksimum değeri nedir?
|
1 |
|
-2 |
|
2 |
|
-1 |
|
3 |
Yerel maksimum değeri için birinci mertebeden türevin sıfır olduğu noktalar, f'(x)=-2x+6=0 eşitliğinden x = 3 noktası bir kök olur. x >3 iken türev türev fonksiyonu neğatif, x <3 iken pozitif olduğundan bu nokta bir yerel maksimum noktasıdır. yerel maksimum değeri ise, f(3)=2 olur. Dolayısıyla doğru cevap C'dir.