Genel Matematik Final 24. Deneme Sınavı
Toplam 20 Soru1.Soru
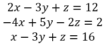
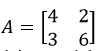
denklem sisteminin katsayılar matrisinin 2. satır 3. sütun elemanı aşağıdakilerden hangisidir?
|
-4 |
|
-3 |
|
-2 |
|
1 |
|
2 |
Verilen denklem sisteminin katsayılar matrisi
biçimindeki 3x3’lük matristir. Bu matrisin 2. satır 3. sütun elemanı -2’dir. Doğru cevap C'dir.
3.Soru
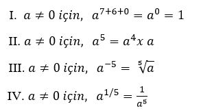
Aşağıda verilen üslü ifadeler ile ilgili eşitliklerden hangisi/hangileri doğrudur?
|
I-II |
|
II-III |
|
Sadece II |
|
II-IV |
|
II-III-IV |
4.Soru
|
|
||||||||||||||||||||||||||||||||||||||||||||||||||||||||||||||||||||||||||||||||
|
| ||||||||||||||||||||||||||||||||||||||||||||||||||||||||||||||||||||||||||||||||
|
|
||||||||||||||||||||||||||||||||||||||||||||||||||||||||||||||||||||||||||||||||
|
|
||||||||||||||||||||||||||||||||||||||||||||||||||||||||||||||||||||||||||||||||
|
Verilen integrali olarak yazalım. Burada şeklinde olduğunu ifade edip her iki tarafın integralini alırsak; olur. Bu durumda integralde bulduğumuz eşitliği yerine yazarsak; olur. Böylece elde edilir. Burada eşitliğini yerine yazarsak; buluruz. Doğru cevap E seçeneğidir.
5.Soru
Yanıt Açıklaması:
Doğru cevap D’dir. 6.Soruf :A›B fonksiyonu için aşağıdakilerden hangisi doğrudur?
Yanıt Açıklaması:
f fonksiyonunun tanım kümesi A={a,b,c} ve değer kümesi B={-1,0,1,2,3} ve f(A) = {2,3} dır. 7.Soru20 TL ve 50 TL’lerden oluşan 13 tane kağıt paranın toplam değeri 560 TL olduğuna göre bu paraların kaç tanesi 20 TL’dir.
8.SoruÜçte birinin 4 fazlası 13 den büyük olan sayıların kümesi aşağıdakilerden hangisidir?
Yanıt Açıklaması:
9.Soruf(x)=x²+1 fonksiyonu için f''(1/2) değeri aşağıdakilerden hangisidir?
Yanıt Açıklaması:
f(x)=x²+1 ise f'(x)=2x ve f''(x)=2 olur.
10.Soru4^4 aşağıdakilerden hangisine eşittir?
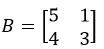
11.Soruve matrisleri için A-B matrisi aşağıdakilerden hangisidir?
Yanıt Açıklaması:
İki matrisin farkı alınırken iki matrisin toplamında olduğu gibi aynı satır ve sütundaki elemanların farkı alınır. Bu durumda elde edilir. 12.SoruFiyatı 120 TL olan bir gömleğin %35 indirimli fiyatı kaç TLdir?
Yanıt Açıklaması:
Gömleğin indirimli fiyatı
13.Sorux-y=3 3x+3y=21 sisteminin çözümü aşağıdakilerden hangisidir?
Yanıt Açıklaması:
x=y+3 > 3(y+3)+3y=21 > y=2 >x=5
14.SoruBir satıcı etiket fiyatı üzerinden %20 indirim ile aldığı bir malı, etiket fiyatı üzerinden %10 indirim ile satıyor. Buna göre, satıcının kârı yüzde kaçtır?
15.SoruBir sayının %24'ü ile %8'inin farkı 64 ise bu sayı kaçtır?
Yanıt Açıklaması:
Bu sayıya B diyelim. (24/100)B -(8/100)B=(16/100)B=64 olduğundan B=400
bulunur.
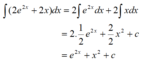
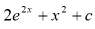
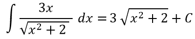
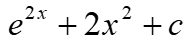
16.Soruintegralinin sonucu aşağıdakilerden hangisidir?
Yanıt Açıklaması:
Önce toplam formülü, sonra üstel fonksiyon ve kuvvet kurallarını kullanarak elde edilir. 17.SoruYarılanma ömrü 5 gün olan bir radyoaktif maddeden 400 gram vardır. 30 gün sonra bu maddeden kaç gram kalır?
18.Soru%15'i 300 olan sayı aşağıdakilerden hangisidir?
Yanıt Açıklaması:
Bir sayının %p’si sayı.p/100 olduğundan, sayı.15/100=300 olmalıdır. Buradan, sayı=300.100/15=2000 bulunur. 19.Soruf(x)=(5x3+2).(3-x+2x2) fonksiyonu için f'(-1) aşağıdakilerden hangisidir?
Yanıt Açıklaması:
f'(x)=(5x3+2)'.(3-x+2x2)+(5x3+2).(3-x+2x2)' olur. Buradan f'(x)=(45x2-15x3+30x4)+(-5x3+20x4-2+8x) olur. f'(-1)=(45+15+30)+(5+20-2-8)=105 olur. 20.Soru
|
|
0 |
|
1 |
|
2 |
|
-1 |
|
-2 |
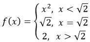
noktasına
’den küçük sayılarla yaklaşıldığında fonksiyon değerleri 2 değerine yaklaşıyor.
noktasına
’den büyük sayılarla yaklaşıldığında fonksiyon değerleri yine 2 değerine yaklaşıyor. Bu durumda verilen f(x) fonksiyonunun
noktasındaki limiti 2’dir. Bu limit sembolik olarak
şeklinde gösterilir. Dikkat edilirse f(x) fonksiyonunun
noktasındaki değeri
olmasına rağmen
noktasındaki limiti 2’dir. Bu gözlemden şöyle bir sonuç çıkarabiliriz; bir f(x) fonksiyonunun bir noktadaki limiti o fonksiyonun o noktadaki değeri olmak zorunda değildir. Ayrıca
olabilmesi için, yani f(x) fonksiyonunun x0 noktasındaki limitinin f fonksiyonunun x0 noktasındaki değerine eşit olabilmesi için, f fonksiyonunun herhangi bir fonksiyon olmanın ötesinde fazladan bir özelliğe daha sahip olması gerekir. Bu özellik fonksiyonların “süreklilik” özelliğidir. Doğru cevap C'dir.
-
- 1.SORU ÇÖZÜLMEDİ
- 2.SORU ÇÖZÜLMEDİ
- 3.SORU ÇÖZÜLMEDİ
- 4.SORU ÇÖZÜLMEDİ
- 5.SORU ÇÖZÜLMEDİ
- 6.SORU ÇÖZÜLMEDİ
- 7.SORU ÇÖZÜLMEDİ
- 8.SORU ÇÖZÜLMEDİ
- 9.SORU ÇÖZÜLMEDİ
- 10.SORU ÇÖZÜLMEDİ
- 11.SORU ÇÖZÜLMEDİ
- 12.SORU ÇÖZÜLMEDİ
- 13.SORU ÇÖZÜLMEDİ
- 14.SORU ÇÖZÜLMEDİ
- 15.SORU ÇÖZÜLMEDİ
- 16.SORU ÇÖZÜLMEDİ
- 17.SORU ÇÖZÜLMEDİ
- 18.SORU ÇÖZÜLMEDİ
- 19.SORU ÇÖZÜLMEDİ
- 20.SORU ÇÖZÜLMEDİ