Genel Matematik Final 25. Deneme Sınavı
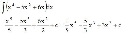
Toplam 20 Soru2.Soru
f(x)=x³-x²-x-1 fonksiyonunun grafiğinin x=1 noktasındaki teğetinin eğimi kaçtır?
|
-2
|
|
-1
|
|
0
|
|
1
|
|
2
|
3.Soru
6x-y=17x+2y=5 Denklem sisteminde x değerini bulunuz.
|
3
|
|
2
|
|
1
|
|
0
|
|
-1
|
4.Soru
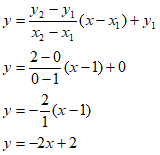
x eksenini x = 1 noktasında, y eksenini y = 2 noktasında kesen doğrunun denklemi aşağıdakilerden hangisidir?
|
y = -2x +2 |
|
y = -2x +1 |
|
y = -x +2 |
|
y = -2x -2 |
|
y = x +2 |
Doğru x ekseninin x = 1 noktasında, y eksenini de y = 2 noktasında kestiğinden bu doğru (1,0) ve (0,2) noktalarından geçer. (x1, y1)=(1, 0) ve (x2, y2)=(0, 2) dersek doğrunu denklemini,
olarak bulabiliriz.
5.Soru
Sezon fiyatı 900 lira olan bir malın fiyatında %30 indirim yapılmıştır. Buna göre malın indirimli fiyatı kaç liradır?
|
630
|
|
500
|
|
400
|
|
750
|
|
600
|
6.Soru
Aşağıdaki eşitliklerden hangisi doğrudur?
|
log(a+b) = log a + log b
|
|
log(a/b) = log a - log b
|
|
log(a/b) = log a / log b
|
|
log (a*b) = log a * log b
|
|
a * log b = b * log a
|
7.Soru
f(x)=x, g(x)=(x-3)/2 olduğuna göre işleminin sonucu nedir?
|
-2 |
|
-1 |
|
-1/2 |
|
1 |
|
2 |
f(g(7)) için önce g(7)=(7-3)/2=2 ve f(2)=2 olur.
g(f(1)) için önce f(1)=1 ve g(1)=(1-3)/2=-1 olur.
ise 2/-1=-2 olacaktır.
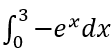
8.Soru
integralinin sonucu aşağıdakilerden hangisidir?
|
10/3 |
|
5/3 |
|
3/2 |
|
10/4 |
|
1 |
sonucuna ulaşılır.
9.Soru
100 Lira %20 ten3 yılda ne kadar faiz getirir?
|
60
|
|
50
|
|
40
|
|
30
|
|
20
|
10.Soru
Bir babanın yaşı kızının yaşının 4 katıdır. 4 yıl önce babanın yaşı kızının yaşının 6 katı olduğuna göre kızının yaşı aşağıdakilerden hangisidir?
|
10
|
|
9
|
|
8
|
|
7
|
|
6
|
11.Soru
ve
matrislerinin çarpımı aşağıdakilerden hangisidir?
|
|
|
|
|
|
|
|
|
|
Doğru cevap E'dir.
12.Soru
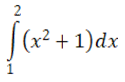
olmak üzere f(x)=x2 eğrisi ve x-ekseni arasında kalan bölgenin alanı aşağıdakilerden hangisidir?
|
12/5 |
|
10/3 |
|
24/7 |
|
26/3 |
|
5 |
Aradığımız bölgenin alanı,
olarak hesaplanır.
13.Soru
Aşağıdaki sayıların hangisi en küçüktür?
|
25 |
|
3-2 |
|
10-2 |
|
0 |
|
53 |
25=32, 3-2=1/9, 10-2=1/100, 50=125 olduğundan en küçük sayı 0'dır. Doğru cevap D'dir.
14.Soru
%40 'ı 16 olan sayı nedir?
|
10 |
|
20 |
|
30 |
|
40 |
|
50 |
Doğru cevap D seçeneğidir.
15.Soru
f (x) = x^2+3 fonksiyonunun yerel minimum değeri nedir?
|
0
|
|
1
|
|
2
|
|
3
|
|
4
|
16.Soru
Üstten
eğrisi, alttan
soldan
ve sağdan
düşey doğrusu ile sınırlı düzlemsel bölgenin alanı aşağıdaki belirli integrallerden hangisi ile ifade edilir?
|
|
|
|
|
|
|
|
|
|
Üstten
eğrisi, alttan
soldan
ve sağdan
düşey doğrusu ile sınırlı ile sınırlı düzlemsel bölgenin alanı
belirli integrali ile hesaplanır. Doğru cevap B’dir.
17.Soru
√27+√3 işleminin sonucu aşağıdakilerden hangisidir?
|
√30
|
|
4√3
|
|
3√3
|
|
3√10
|
|
9
|
18.Soru
(3, 2) ve (5, 4) noktalarından geçen doğrunun eğimi kaçtır?
|
1
|
|
-1
|
|
-2
|
|
3
|
|
2
|
19.Soru
f(x)=x^2+5x fonksiyonunun x=3 noktasında ikinci mertebeden türevi nedir.
|
2
|
|
1
|
|
3
|
|
5
|
|
6
|
20.Soru
A={2,4,6,8} ve B={x | x,10 "dan küçük olan pozitif çift tamsayılar"} olarak tanımlanmakta olan A "ve" B kümeleri için aşağıdakilerden hangisi doğrudur?
|
A=B |
|
|
|
B∈A |
|
0∈B |
|
10∈B |
Liste gösterimi ile verilen A kümesinin elemanları 2,4,6,8 dur. 10 dan küçük pozitif sayılar 1,2,3,4,5,6,7,8,9 olup bunların çift olanları 2,4,6,8 olduğundan ortak özellik gösterimi ile verilen B kümesinin liste gösterimi {2,4,6,8} olur. Böylece A nın her elemanı B nin elemanı ve B nin her elemanı A nın elemanı olup A=B dir.
-
- 1.SORU ÇÖZÜLMEDİ
- 2.SORU ÇÖZÜLMEDİ
- 3.SORU ÇÖZÜLMEDİ
- 4.SORU ÇÖZÜLMEDİ
- 5.SORU ÇÖZÜLMEDİ
- 6.SORU ÇÖZÜLMEDİ
- 7.SORU ÇÖZÜLMEDİ
- 8.SORU ÇÖZÜLMEDİ
- 9.SORU ÇÖZÜLMEDİ
- 10.SORU ÇÖZÜLMEDİ
- 11.SORU ÇÖZÜLMEDİ
- 12.SORU ÇÖZÜLMEDİ
- 13.SORU ÇÖZÜLMEDİ
- 14.SORU ÇÖZÜLMEDİ
- 15.SORU ÇÖZÜLMEDİ
- 16.SORU ÇÖZÜLMEDİ
- 17.SORU ÇÖZÜLMEDİ
- 18.SORU ÇÖZÜLMEDİ
- 19.SORU ÇÖZÜLMEDİ
- 20.SORU ÇÖZÜLMEDİ