Genel Matematik Final 29. Deneme Sınavı
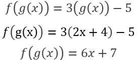
Toplam 20 Soru1.Soru
olmak üzere
aşağıdakilerden hangisidir?
|
x-1 |
|
5x-1 |
|
6x-1 |
|
6x+6 |
|
6x+7 |
dir. f(x) fonksiyonunda x görülen yere g(x) fonksiyonu yazılarak bulunur:
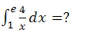
2.Soru
integralinin sonucu aşağıdakilerden hangisidir?
|
|
|
|
|
|
|
|
|
|
Gerekli integral kurallarıyla
bulunur.
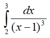
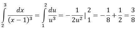
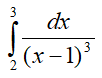
3.Soru
integralinin değeri aşağıdakilerden hangisidir?
|
1 |
|
3/8 |
|
3/11 |
|
13/3 |
|
-1 |
integralinde u = x – 1 değişken değişimi yaparsak, du = dx olur ve sınırlar da u=3-1=2 ve u=2-1=1 olarak değişir. Böylece
elde edilir.
4.Soru
Bir aritmetik dizinin ilk terimi 5 ve ortak farkı 4 ise ilk 21 teriminin toplamı kaç olur?
|
945
|
|
850
|
|
650
|
|
550
|
|
445
|
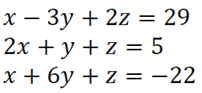
5.Soru
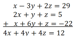
Aşağıda verilen üç bilinmeyenli denklem sistemlerinde x+y+z toplamı kaç olur?
|
3 |
|
4 |
|
5 |
|
6 |
|
7 |
Denklemleri alt alta toplayalım:
Her iki taraf 4’e bölünürse x+y+z=3 olur.
6.Soru
x+y =5, 2x-y=1 olduğuna göre x^2-y^2+2x+y ifadesinin değeri aşağıdakilerden hangisidir?
|
2
|
|
3
|
|
4
|
|
5
|
|
6
|
7.Soru
Bir sayının %30'u ile 3 katının %25'inin toplamı 21 olduğuna göre bu sayı nedir?
|
19
|
|
20
|
|
21
|
|
22
|
|
23
|
8.Soru
Bir baba ile oğulun yaşları toplamı 55 dir. Babanın yaşı oğlununun yaşının dört katından 5 fazladır. Buna göre baba ve oğul kaç yaşındadırlar?
|
45,10
|
|
35,20
|
|
25,30
|
|
46, 9
|
|
47, 8
|
10.Soru
Bir yatırımcı 5000 TL paranın %6'sı ile fiyatı 5 TL olan hisse senedi alıyor. Kalan parası ile de fiyatı 10 TL olan başka bir hisse senedi alıyor. Bir ay sonra 5 TL olan kağıt 8 TL’ye ve fiyatı 10 TL olan kağıt 15 TL ‘ye yükseliyor. Bu yatırımcının toplam karı yüzde kaç olmuştur?
|
12 |
|
24 |
|
36 |
|
48 |
|
56 |
Bu yatırımcı parasının %60 ‘ı 5000.60/100=3000 TL’dir. Bu miktar ile 5 TL’lik hisse senedinden 3000/5=600 tane, kalan 2000 TL ile 10 TL’lik hisse senedinden 2000/10=200 tane alabilir. Bir ay sonra birincisinin değeri 600.8=4800 TL’ye ulaşırken, ikincisinin değeri toplamda 200.15=3000 TL’ye ulaşır. Yani toplamda parası 4800+3000=7800 TL olur. Bu yatırımcının karı 2800 TL’dir. Bu karın anaparaya oranı 2800/5000=0,56 dır. Yani yatırımcı %56 kar etmiştir.
11.Soru
Grafiği şekildeki gibi verilen fonksiyon aşağıdakilerden hangisidir?
|
f(x)=x2+4 |
|
f(x)=-x2 |
|
f(x)=-x2+4 |
|
f(x)=x2-4 |
|
f(x)=x2 |
Verilen grafik bir paraboldür. Yani denklemi f(x)=ax2+bx+c şeklinde olmalıdır. Parabolün kolları aşağıya doğru olduğundan a < 0 ve tepe noktası da orijinden geçmediği için c sıfırdan farklı olmalıdır. Ayrıca, verilen grafiğe göre f(-2)=0, f(2)=0 ve f(0)=4 olduğu görülmektedir. Buna göre (-2,0), (2,0) ve (0,4) noktalarını sağlayan fonksiyon f(x)=-x2+4 fonksiyonudur. Bu nedenle doğru yanıt C seçeneğidir.
12.Soru
A kümesinin eleman sayısı 5, B kümesinin eleman sayısı 3 ise, aşağıdakilerden hangisi A?B kümesinin eleman sayısı olabilir?
|
2
|
|
3
|
|
5
|
|
10
|
|
15
|
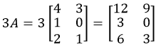
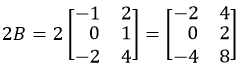
13.Soru
ve
ise 3A-2B matrisi aşağıdakilerden hangisidir?
|
|
|
|
|
|
|
|
|
|
ve
olup buradan da,
elde edilir.
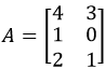
14.Soru
matrisinin tersi aşağıdalierden hangisidir?
|
|
|
|
|
|
|
|
|
|
AA-1=I olacağından
eşitliğinden
bulunur. Böylece A matrisinin tersi
matrisidir. Doğru cevap E'dir.
15.Soru
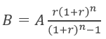
Bir bankadan %0,79 aylık faiz oranı ve 24 ay vade ile 10000TL tüketici kredisi çekilirse, aylık ödeme taksitleri kaç TL olur?
|
420 |
|
432 |
|
446 |
|
464 |
|
470 |
borç amortisman formülünden bankaya ödenecek taksit bulunur. Bu soru için formüldeki değerler A=10000, r=0,0079, n=24'tür. Böylece ödenecek aylık taksit
bulunur.
16.Soru
200000 TL % 25 faiz oranıyla 2 yıllığına bileşik faize yatırılıyor. Buna göre 2 yıl sonra yatırılan paranın ulaşacağı değer aşağıdakilerden hangisidir?
|
225000 TL
|
|
250000 TL
|
|
275000 TL
|
|
300000 TL
|
|
312500 TL
|
17.Soru
f(x)=x^3-2x+3 fonksiyonunun x = 2 noktasındaki ikinci mertebeden türevi nedir?
|
13 |
|
12 |
|
11 |
|
10 |
|
9 |
f'(x)=3x2-2 ve f''(x)=6x olduğundan ikinci mertebeden türevde, f''(2)=6.2=12 elde edilir. Dolayısıyla B'dir.
18.Soru
Sezonda 280 TL olan bir çantanın fiyatı indirimde 196TL’ye düşmüştür. Bu durumda çantadaki indirim oranı aşağıdakilerden hangisidir?
|
%20 |
|
%25 |
|
%28 |
|
%30 |
|
%35 |
Çantanın fiyatında oluşan mutlak değişim 280-196= 84 TL’dir. Dolayısıyla yüzde değişim oranı 84/280 olur. Bu da 100 için 30 değerini verir. İndirim oranı %30’dur.
19.Soru
|
%25,25 |
|
%30,25 |
|
%30,50 |
|
%31,25 |
|
%31,50 |
20.Soru
Bir bankanın aylık faiz oranı %1,6 ise yıllık faiz oranı kaçtır?
|
16 |
|
18 |
|
21 |
|
25 |
|
36 |
formülünde verilenler r=%1,6= 0,016, n=12 ve P=1 için yerine yazılırsa;
olur. Bir yılda 1TL 1.21 TL ‘ye ulaşıyorsa yıllık faiz oranı %21 olarak elde edilir.
-
- 1.SORU ÇÖZÜLMEDİ
- 2.SORU ÇÖZÜLMEDİ
- 3.SORU ÇÖZÜLMEDİ
- 4.SORU ÇÖZÜLMEDİ
- 5.SORU ÇÖZÜLMEDİ
- 6.SORU ÇÖZÜLMEDİ
- 7.SORU ÇÖZÜLMEDİ
- 8.SORU ÇÖZÜLMEDİ
- 9.SORU ÇÖZÜLMEDİ
- 10.SORU ÇÖZÜLMEDİ
- 11.SORU ÇÖZÜLMEDİ
- 12.SORU ÇÖZÜLMEDİ
- 13.SORU ÇÖZÜLMEDİ
- 14.SORU ÇÖZÜLMEDİ
- 15.SORU ÇÖZÜLMEDİ
- 16.SORU ÇÖZÜLMEDİ
- 17.SORU ÇÖZÜLMEDİ
- 18.SORU ÇÖZÜLMEDİ
- 19.SORU ÇÖZÜLMEDİ
- 20.SORU ÇÖZÜLMEDİ