Genel Matematik Final 3. Deneme Sınavı
Toplam 20 Soru1.Soru
işleminin sonucu kaçtır?
|
1 |
|
8 |
|
13 |
|
5 |
|
7 |
Doğru cevap D şıkkıdır.
2.Soru
y=x+3 doğrusuna paralel ve (1,2) noktasından geçen doğrunun denklemi aşağıdakilerden hangisidir?
|
y=x+2
|
|
y=x-1
|
|
y=x+1
|
|
y=x-3
|
|
y=2x+5
|
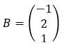
3.Soru
ve
ise A. B matrisi aşağıdakilerinden hangisidir?
|
|
|
|
|
|
|
|
|
|
Matris çarpımı kuralına göre işlem yapılırsa;
4.Soru
f(x)=2x3-3x2-6x+2 fonksiyonunun grafiğinin x=1’deki teğet doğrusunun denklemi hangisidir?
|
y=-6x+1 |
|
y=-6x+11 |
|
y=12x+1 |
|
y=12x+11 |
|
y=6x-1 |
Teğet doğrusunun eğimini bulmak için önce f’nin türevini hesaplayalım:
bulunur. Ayrıca f(1)=-5 olduğundan, eğimi m=-6 olan ve (1, -5) noktasından geçen teğet doğrusunun denklemi y=-6(x-1)-5, yani y=-6x+1 olarak elde edilir. Doğru cevap A'dır.
5.Soru
Bir fonksiyonun belirli integralinin, o fonksiyonun bir ilkeli yardımıyla hesaplanmasını sağlanan teorem aşağıdakilerden hangisidir?
|
Doğru teoremi |
|
Basit teorem |
|
Temel teorem |
|
Düzlem teoremi |
|
Ayrık teorem |
Temel teorem sayesinde, bir fonksiyonun belirli integrali o fonksiyonun ir ilkeli yardımıyla kolayca hesaplanabilir. Dolayısıyla doğru cevap C'dir.
6.Soru
f(x)=(x2+x+1)2 fonksiyonu için x=1 noktasındaki anlık değişim hızı kaçtır?
|
3 |
|
6 |
|
9 |
|
12 |
|
18 |
x=1 noktasındaki türevini bulursak;
f'(x)=2(x2+x+1)(2x+1) olduğundan f'(1)=2(1+1+1)(2.1+1)=18 olur.
7.Soru
500 metrelik alüminyum bir tel ısınma nedeniyle % 0,8 m uzamış ise telin son uzunluğu nedir?
|
540
|
|
504
|
|
508
|
|
580
|
|
548
|
8.Soru
22x+1=32 eşitliğinde x’in değeri aşağıdakilerden hangisidir?
|
0 |
|
1 |
|
2 |
|
3 |
|
4 |
22x+1=32=25 eşitliğinden üstler eşit olduğundan tabanlarda eşit olmalıdır. 2x+1=5 elde edilir. Buradan x=2 sonucuna ulaşılır. Doğru cevap C'dir.
9.Soru
Aşağıda verilen eşitsizlikler ve çözüm kümeleri ile ilgili hangisi/hangileri doğrudur?
|
Sadece I |
|
Sadece II |
|
I-III |
|
II-IV |
|
Sadece IV |
10.Soru
3x - 1 = 2x + 4 denkleminin çözümü kaçtır?
|
1
|
|
2
|
|
3
|
|
4
|
|
5
|
11.Soru
f(x)=x^2-4x-5 fonksiyonun yerel minimum değeri nedir?
|
0
|
|
2
|
|
9
|
|
-2
|
|
-9
|
12.Soru
|
|
|
|
|
|
|
|
|
|
Sorulan integrali
Doğru cevap A seçeneğidir.
13.Soru
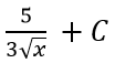
integralinin ortalama değeri aşağıdakilerden hangisidir?
|
|
|
|
|
|
|
|
|
|
integralinin ortalama değeri
dir. Dolayısıyla verilen integrali hesaplayıp sonucu
ile çarpalım. Bu integralde
dönüşümü yaparsak
olur ve integral sınırları da 0 dan 1 e değişir. Böylece integral değeri
olarak bulunur. Belirttiğimiz gibi bu sonucu
ile çarpmalıyız, böylece integrali ortalama değeri
olarak bulunur. Doğru cevap D seçeneğidir.
14.Soru
Bir bankadan %1,18 aylık faiz oranıyla, 6 ay vade ile 2000Tl tüketici kredisi çekilirse, aylık geri ödeme taksitleri ne kadar olur?
|
250
|
|
200
|
|
350
|
|
300
|
|
400
|
15.Soru
f(x)=3x3+5x2+7x-1 için f''(-1) aşağıdakilerden hangisidir?
|
2 |
|
4 |
|
6 |
|
-8 |
|
10 |
f'(x)=9x2+10x+7 ve f''(x) yani f'(x)’in türevi f''(x)=18x+10 olur. f''(-1)=18.(-1)+10=-8 elde edilir.
16.Soru
şeklinde ifade edilen fonksiyon aşağıdakilerden hangisidir?
|
Yol fonksiyonu |
|
Konum fonksiyonu |
|
Hız fonksiyonu |
|
Değişken fonksiyon |
|
Üstel fonksiyon |
Konum fonksiyonu
şeklindedir. Dolayısıyla doğru cevap B'dir.
17.Soru
200 lira %45 ten 5 yılda ne kadar faiz getirir?
|
450
|
|
400
|
|
350
|
|
300
|
|
250
|
18.Soru
Aşağıdakilerden hangisi türevi 2 olan bir fonksiyondur?
|
2
|
|
x+2
|
|
x+1
|
|
2x+1
|
|
3x+2
|
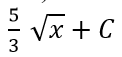
19.Soru
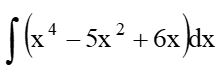
işleminin sonucu nedir?
|
|
|
4x3-10x+6 |
|
4x3-10x+6 |
|
|
|
x4-5x2+6x+c |
20.Soru
Ayşe hanımın yaşı oğlunun yaşının 4 katıdır. 2 yıl önce annenin yaşı oğlunun yaşının 7 katı olduğuna göre çocuğunun yaşı aşağıdakilerden hangisidir?
|
5 |
|
4 |
|
3 |
|
2 |
|
1 |
Çocuğunun yaşına x diyelim.
Annesinin yaşı 4x olur.
2 yıl önce ise çocuk x-2 yaşında ve annesi de 4x-2 yaşındaydı. Buna göre,
4x-2=7(x-2) denklemini çözmeliyiz.
4x-2=7x-14
-2+14=7x-4x
12=3x
x=4
-
- 1.SORU ÇÖZÜLMEDİ
- 2.SORU ÇÖZÜLMEDİ
- 3.SORU ÇÖZÜLMEDİ
- 4.SORU ÇÖZÜLMEDİ
- 5.SORU ÇÖZÜLMEDİ
- 6.SORU ÇÖZÜLMEDİ
- 7.SORU ÇÖZÜLMEDİ
- 8.SORU ÇÖZÜLMEDİ
- 9.SORU ÇÖZÜLMEDİ
- 10.SORU ÇÖZÜLMEDİ
- 11.SORU ÇÖZÜLMEDİ
- 12.SORU ÇÖZÜLMEDİ
- 13.SORU ÇÖZÜLMEDİ
- 14.SORU ÇÖZÜLMEDİ
- 15.SORU ÇÖZÜLMEDİ
- 16.SORU ÇÖZÜLMEDİ
- 17.SORU ÇÖZÜLMEDİ
- 18.SORU ÇÖZÜLMEDİ
- 19.SORU ÇÖZÜLMEDİ
- 20.SORU ÇÖZÜLMEDİ