Genel Matematik Final 30. Deneme Sınavı
Toplam 20 Soru1.Soru
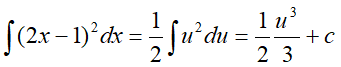
integralinin sonucu aşağıdakilerden hangisidir?
|
(2x-1)3/3 + c |
|
(2x-1)/6 + c |
|
(2x-1)2/6 + c |
|
(2x-1)3/4 + c |
|
(2x-1)3/6 + c |
integralinde u = 2x-1 şeklinde değişken değişimi yapılırsa du = 2dx olur.
olur, burada u = 2x -1 yazılırsa, integral (2x-1)3/6 + c olarak elde edilir.
2.Soru
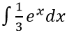
F'(x)=1/3 ex ve F(0)=2 olan F(x) fonksiyonu aşağıdakilerden hangisidir?
|
ex+1/2 |
|
1/3 ex+ 5/2 |
|
e3x |
|
ex |
|
e2x+1 |
belirsiz integrali
olur. F(x)=1/3 ex+c şeklinde bir fonksiyondur. F(0)=2 koşulunun sağlanması için c'yi bulmalıyız. Fonksiyonda x=0 yazılıp 2'ye eşitlenirse 1/3 e0+c=2, c=5/3 olur. Buradan F(x)=1/3 ex+ 5/2 elde edilir.
3.Soru
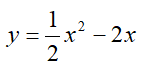
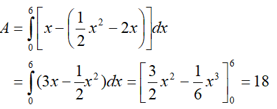
olmak üzere üstten y = x doğrusu ve alttan
eğrisi ile sınırlı bölgenin alanı nedir?
|
10 |
|
14 |
|
16 |
|
18 |
|
20 |
İstenen bölgenin alanı,
olarak elde edilir.
4.Soru
600 litre hacimli bir kazana 12 litre ve 20 litre bidonlarla su taşınarak dolduruluyor. 36 bidon su taşındığına göre kaçta ne 12 litrelik bidon kullanılmıştır?
|
10 |
|
12 |
|
15 |
|
30 |
|
35 |
20 litrelik bidon x, 12 litrelik bidon y olsun. Bu durumda, x + y = 36 ,12x + 20y = 600 İlk denklemden y = 36 – x ise 12x + 20(36 – x) = 600 den x = 15 olur.
5.Soru
fonksiyonunun grafiğine (1/4, 2) noktasında çizilen teğetin denklemi aşağıdakilerden hangisidir?
|
y=x+5 |
|
y=3x+5 |
|
y=3/4 x+5 |
|
y=3/4 x+2 |
|
y=3x+ 5/4 |
olduğundan aranan teğet doğrusunun eğimi
olup teğet doğrusunun denklemi: y-2=3(x- 1/4) şeklindedir. Bu ifade düzenlenirse y=3x+ 5/4 denklemi elde edilir.
6.Soru
Bir bankadan %1,18 aylık faiz oranı ve 48 ay vade ile çekilen 30000 TL otomobil kredisinin borcun amortismanı sonucunda ödenen toplam miktarı nedir?
|
37658,12
|
|
37982,34
|
|
38568,56
|
|
39465,6
|
|
41984,63
|
7.Soru
ise (3/2)A matrisi aşağıdakilerden hangisidir?
|
|
|
|
|
|
|
|
|
|
Matrisin tüm elemanları 3/2 ile çarpıldığında
elde edilir. Doğru cevap D'dir.
8.Soru
y = -x2 + 4 ile x ekseni arasında kalan alan nedir?
|
4 |
|
16 |
|
3/32 |
|
32/3 |
|
24 |
9.Soru
f:R›R, f(x)=9x-3 ve g:R›R, g(x)=4-x^2 fonksiyonları için (g°f)(x) fonksiyonu aşağıdakilerden hangisidir?
|
-81x^2+54x-5
|
|
-9x^2+33
|
|
81x^2-54x+5
|
|
9x^2-33
|
|
-9x^2-33
|
10.Soru
f(x)=x(x-1) fonksiyonunun grafiğinde (1,0) noktasında çizilecek teğet doğrusunun eğimini bulunuz.
|
3
|
|
0
|
|
-1
|
|
1
|
|
2
|
11.Soru
Konumu f(t)=4t3-2t2+1 (metre) kuralı ile belirli olan bir cismin t=2 (sn) anındaki ivmesi kaç m/sn2‘dir?
|
32 |
|
40 |
|
44 |
|
48 |
|
52 |
Konum fonksiyonunun zamana göre türevi hızı, ikinci türevi de ivmeyi verdiğinden f'(t)=12t2-4t ve f''(t)=24t-4 olur. f''2)=24.2-4 =44 m/sn2 elde ederiz. Doğru cevap C'dir.
12.Soru
5' in hangi kuvveti 600 ile 700 arasındadır?
|
3
|
|
4
|
|
5
|
|
6
|
|
7
|
13.Soru
f(x)=-x2-2x+12 fonksiyonunun yerel maksimum değeri kaçtır?
|
12 |
|
13 |
|
14 |
|
15 |
|
16 |
f'(x)=-2x-2=0 eşitliğinden x=-1 kritik noktası elde edilir. x>-1 iken f'(x)<0 ve x<-1 iken f'(x)>0 olduğuna göre x=-1 yerel minimum noktadır. O halde yerel minimum değer
bulunur. Doğru cevap B'dir.
14.Soru
Antalya x Giyim mağazası 100 TL'ye sattıkları elbiselere % 20 zam uygulamıştır. Zamdan sonra satışlar azaldığı için; firma bu sefer % 20 indirim uyguladığına göre elbisenin son fiyatı kaç lira olur?
|
100
|
|
120
|
|
104
|
|
96
|
|
20
|
15.Soru
Bir sistemin katsayılar matrisinin boyutu 3x2 ise sistemdeki denklem sayısı kaça eşittir?
|
5
|
|
3
|
|
1
|
|
6
|
|
2
|
16.Soru
Bir bankaya 12 aylığına yatırılan paranın kendisi kadar faiz geliri getirmesi için uygulanacak faiz oranı yüzde kaçtır?
|
100
|
|
80
|
|
50
|
|
25
|
|
10
|
17.Soru
2000 Lirayı, %12 yıllık bileşik faizle bankaya yatıran kişinin 2 yıl sonunda ne kadar parası olur?
|
2200
|
|
2250
|
|
2305
|
|
2410
|
|
2508
|
18.Soru
[1 4 1 -2 1] matrisinin boyutu nedir?
|
1x1
|
|
5x1
|
|
1x5
|
|
5x5
|
|
1x4
|
19.Soru
Bir bankadan 5000 TL tüketici kredisi %1,25 aylık faiz oranı ve 12 ay vade çekilirse, borcun amortismanı sonucunda ödenen toplam faiz miktarı aşağıdakilerden hangisidir?
|
415,98 |
|
415,48 |
|
415,10 |
|
420,98 |
|
425,40 |
Önce 5000 TL’nin 12 ay vade ve %1,25 faiz oranı ile aylık taksidi,
formülünden A = 5000, r = 0,0125 ve n = 12 olmak üzere,
bulunur. Toplam ödenen para miktarı 451,29x12 = 5415,48 TL olur. Dolayısıyla ödenen toplam faiz 5415,48 – 5000 = 415,48 TL'dir.
20.Soru
log x + log y = 6, log x - log y = 2 olduğuna göre x/y oranı kaçtır?
|
10
|
|
20
|
|
50
|
|
100
|
|
1000
|
-
- 1.SORU ÇÖZÜLMEDİ
- 2.SORU ÇÖZÜLMEDİ
- 3.SORU ÇÖZÜLMEDİ
- 4.SORU ÇÖZÜLMEDİ
- 5.SORU ÇÖZÜLMEDİ
- 6.SORU ÇÖZÜLMEDİ
- 7.SORU ÇÖZÜLMEDİ
- 8.SORU ÇÖZÜLMEDİ
- 9.SORU ÇÖZÜLMEDİ
- 10.SORU ÇÖZÜLMEDİ
- 11.SORU ÇÖZÜLMEDİ
- 12.SORU ÇÖZÜLMEDİ
- 13.SORU ÇÖZÜLMEDİ
- 14.SORU ÇÖZÜLMEDİ
- 15.SORU ÇÖZÜLMEDİ
- 16.SORU ÇÖZÜLMEDİ
- 17.SORU ÇÖZÜLMEDİ
- 18.SORU ÇÖZÜLMEDİ
- 19.SORU ÇÖZÜLMEDİ
- 20.SORU ÇÖZÜLMEDİ