Genel Matematik Final 34. Deneme Sınavı
Toplam 18 Soru1.Soru
2400 TL ye satılan bir malın fiyatında önce %40, sonra indirimli fiyat üzerinden %10 daha indirim yapılıyor. Bu malın yeni fiyatı ne olur?
|
1150
|
|
1200
|
|
1296
|
|
1440
|
|
1560
|
4.Soru
|
a<b<c |
|
a=b>c |
|
b<c<a |
|
a=c<b |
|
b<a=c |
Dolayısıyla doğru cevap B'dir.
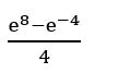
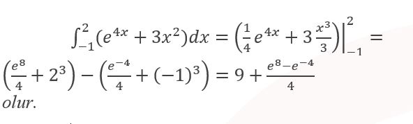
5.Soru
integralinin değeri kaçtır?
|
|
|
|
|
|
|
|
|
|
elde edilir. Doğru yanıt A seçeneğidir.
6.Soru
f(x)=x³ fonksiyonunun [-1,1] aralığı üzerindeki ortalama değeri aşağıdakilerden hangisidir?
|
2
|
|
1
|
|
0
|
|
-1
|
|
-2
|
7.Soru
Bir bankanın 3 aylık faiz oranı % 1,5 ise yıllık faiz oranı kaçtır?
|
%60
|
|
%63
|
|
%59
|
|
%64
|
|
%61
|
8.Soru
f(x)=e^(3x^2 )+5x^2 ise (f)'(2) kaçtır?
|
-12·e^12-20
|
|
12·e^(-12)+20
|
|
12·e^12+20
|
|
-12·e^12+20
|
|
12·e^12-20
|
9.Soru
f(x)=x3+5 fonksiyonunun x=-1 noktasındaki ikinci mertebe türevi nedir?
|
3 |
|
-4 |
|
6 |
|
-6 |
|
-3 |
f’(x)=3x2 ve f’’(x)=6x ve f’’(-1)=-6
10.Soru
-4x-6y=103x+7y=12denklem sisteminin katsayılar matrisi aşağıdakilerden hangisidir?
|
|
|
|
|
|
|
|
|
|
4x-6y=10
3x+7y=12
denklem sisteminin katsayılar matrisi
olur. Doğru cevap C'dir.
11.Soru
integralinin sonucu nedir?
|
|
|
|
|
|
|
|
|
|
Gerekli kurallar kullanılarak
elde edilir. Doğru yanıt D seçeneğidir.
12.Soru
f (x) = (1 - x) (1 + x2) fonksiyonunun x = 1 noktasındaki türevi kaçtır? (Not: x2 = x üzeri 2)
|
-2
|
|
2
|
|
4
|
|
-4
|
|
1
|
13.Soru
Bir mağazada 450 TL’lik bir elbisenin etiketinin üzeri çizilmiş yeni fiyatı için 280 TL yazılmıştır. Elbiseye yüzde kaç indirim uygulanmıştır?
|
30 |
|
34 |
|
38 |
|
42 |
|
46 |
450-450x/100=280 olduğundan x yaklaşık olarak 38 bulunur.
14.Soru
şeklinde ifade edilen f fonksiyonun en geniş tanım kümesi aşağıdakilerden hangisidir?
|
|
|
|
|
|
|
|
|
|
Karekök içindeki ifadenin negatif olmaması gerektiğinden
olmalıdır. Bu durumda olur. Böylece
elde edilir. Bu nedenle doğru yanıt E seçeneğidir.
16.Soru
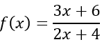
fonksiyonunun tanımsız olduğu nokta nedir?
|
-3 |
|
-2 |
|
0 |
|
2 |
|
3 |
Fonksiyonun paydasını sıfır yapan değer, fonksiyonu tanımsız yapar.
2x + 4 = 0
x = - 2 bulunur.
17.Soru
g(x)=x2+x+3 fonksiyonu için g''(4) değeri aşağıdakilerden hangisidir?
|
1 |
|
2 |
|
4 |
|
6 |
|
0 |
g fonksiyonunun birinci türevi: g'(x)=2x+1 olup bu ifadenin bir kez daha türevini alırsak ikinci türevi, g''(x)=2 olarak bulunur. Ikinci türev sabit fonksiyon olduğundan her x değeri için 2’ye eşittir. Yani g''(4)=2 elde edilir.
18.Soru
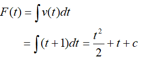
x-ekseni boyunca hareket eden bir cismin t anındaki hızı v(t) = t + 1 formülü ile veriliyor. Bu cisim t = 0 anında başlangıç noktasında ise bu cismin konum fonksiyonu nedir?
|
t2/2+t |
|
t2/2+2t |
|
t2/2 |
|
t2+t |
|
3t2/2+t |
Bulunmak istenen yol fonksiyonuna F(t) dersek,
F(t) hakkında F(0) = 0 ve F'(t)=v(t) = t + 1 olduğundan, hızın integrali alınırsa,
olur. F(0) = 0 olduğundan c = 0 olur. Bu durumda yol fonksiyonu F(t)=t2/2+t olur.
-
- 1.SORU ÇÖZÜLMEDİ
- 2.SORU ÇÖZÜLMEDİ
- 3.SORU ÇÖZÜLMEDİ
- 4.SORU ÇÖZÜLMEDİ
- 5.SORU ÇÖZÜLMEDİ
- 6.SORU ÇÖZÜLMEDİ
- 7.SORU ÇÖZÜLMEDİ
- 8.SORU ÇÖZÜLMEDİ
- 9.SORU ÇÖZÜLMEDİ
- 10.SORU ÇÖZÜLMEDİ
- 11.SORU ÇÖZÜLMEDİ
- 12.SORU ÇÖZÜLMEDİ
- 13.SORU ÇÖZÜLMEDİ
- 14.SORU ÇÖZÜLMEDİ
- 15.SORU ÇÖZÜLMEDİ
- 16.SORU ÇÖZÜLMEDİ
- 17.SORU ÇÖZÜLMEDİ
- 18.SORU ÇÖZÜLMEDİ