Genel Matematik Final 36. Deneme Sınavı
Toplam 19 Soru1.Soru
Aşağıdakilerden hangisi doğrudur?
|
Türevlenebilir her fonksiyonun ekstremum noktası vardır.
|
|
Bir fonksiyonun türevini sıfır yapan her nokta ekstremum noktasıdır.
|
|
Bir fonksiyonun ekstremum noktası türevinin var olmadığı bir nokta da olabilir.
|
|
Bir fonksiyonun grafiğine ekstremum noktalardan çizilen teğet doğruları y eksenine paralel olur.
|
|
Artan bir fonksiyonun her zaman yerel maksimum noktası vardır.
|
2.Soru
[x 3 1], [1 y z] olarak verilen sütun matrisleri eşit matrisler ise x+y+z toplamı aşağıdakilerden hangisidir?
|
2
|
|
3
|
|
4
|
|
5
|
|
6
|
3.Soru
y = e-x ile koordinat eksenleri ile x =-1 doğrusu arasında kalan bölgenin alanı nedir?
|
e+1 |
|
e-1 |
|
1-e |
|
|
|
|
4.Soru
Aşağıdakilerden hangisi üstel bir fonksiyon belirtir?
|
f(x)=3x |
|
f(x)=x3 |
|
f(x3)=1 |
|
f(x)=x2 |
|
f(x)=(x+1)x |
a pozitif bir gerçel sayı ve a 1'den farklı olmak üzere f(x)=ax şeklinde tanımlanan fonksiyona üstel fonksiyon denir. Bu yüzden f(x)=3x bir üstel fonksiyondur. Doğru cevap A'dır.
5.Soru
ifadesinin değeri aşağıdakilerden hangisidir?
|
-4 |
|
3 |
|
6 |
|
-3 |
|
-6 |
bulunur. Burada şeklindedir. Dolayısıyla doğru cevap E'dir.
6.Soru
1800 TL alınan bir mal %30 karla ne kadara satılır?
|
1940
|
|
2340
|
|
2780
|
|
2940
|
|
3350
|
7.Soru
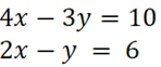
Aşağıdaki denklem sisteminin çözüm kümesi aşağıdakilerden hangisidir?
|
(4, 2) |
|
(2, 4) |
|
(3, 6) |
|
(6, 3) |
|
(4, 6) |
Ikinci denklemde y yalnız bırakılırsa y=2x-6 olur. Birinci denklemde y yerine 2x-6 yazarsak 4x-3.(2x-6)=10 ve buradan 4x-6x+18=10 olur. x=4 elde edilir. Birinci denklemde x yerine 4 yazarsak 4.4-3y=10 eşitliğinden y=2 elde edilir. Dolayısıyla çözüm kümesi (4, 2) elde edilir.
8.Soru
f(x) = (x+1) . (x^2 -2) ise f'(1) = ?
|
-2
|
|
1
|
|
2
|
|
3
|
|
4
|
9.Soru
%35 gösteriminin ondalıklı açılımı aşağıdakilerden hangisidir?
|
3,5
|
|
3,05
|
|
0,35
|
|
35
|
|
0,035
|
10.Soru
Bir bankadan %1,5 aylık faiz oranı ve 24 ay vade ile 5000 TL tüketici kredisi çekilirse, aylık geri ödeme taksitleri ne kadar olur?
|
249,62
|
|
237,85
|
|
265,34
|
|
255,87
|
|
241,23
|
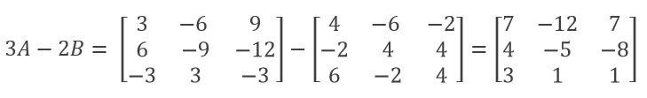
11.Soru
ve
ise 3A-2B işleminin sonucu aşağıdakilerden hangisidir?
|
|
|
|
|
|
|
|
|
|
olur.
12.Soru
Bir bankadan %1,5 faiz oranı ve 36 ay vade ile 10000 TL tüketici kredisi çekilirse, aylık geri ödeme taksitleri yaklaşık kaç TL olur?
|
332 |
|
342 |
|
352 |
|
362 |
|
372 |
borç amortismanı formülünde n=36, r=0,015, A=10000 değerlerini formülde yerine yazalım:
TL olur.
13.Soru
Bir bankanın aylık faiz oranı %1,8 ise yıllık faiz oranı aşağıdakilerden hangisidir?
|
21 |
|
22 |
|
23 |
|
24 |
|
25 |
Faiz oranının ne olduğu tekrar anımsanacak olursa bankaya yatırılan P1 lira bir zaman dilimi sonunda P2 liraya ulaşıyorsa bu zaman dilimi için uygulanan faiz oranı (P2-P1)/P1’dir. Burada başlangıçta ne kadar paranın bankaya yatırıldığının bir önemi yoktur. Dolayısıyla bankaya 1 lira yatırıldığı düşünülebilir. Aylık %1,8 faiz oranı ile 1 liranın 12 ay sonra kaç lira olacağını bulmak için
Pn=P(1+r)n
formülünde faiz oranı r yerine 0,018, n yerine 12 ve P yerine de 1 alınırsa
P12=(1+0,018)12=1,01812=1,23
olur. Bu durumda 1 lira 1,23 liraya yükselmiştir. Dolayısıyla yıllık faiz 0,23 olur. Yani yıllık faiz %23’tür.
14.Soru
İki kareş bir miktar parayı paylaşıyorlar. Büyük olan küçük olanın 2 katından 10 lira eksik alıyor. Büyük kardeşin 120 lirası olduğuna göre toplamdaki para kaç liradır?
|
230 |
|
215 |
|
200 |
|
185 |
|
170 |
Küçük kardeşin parası x olsun. Büyük kardeşin parası 2x-10 lira olur. Büyüğün 120 lirası olduğuna göre
2x-10=120
2x=130
x=65 olur.
Toplam para
x+(2x-10)=65+120=185 lira olur.
16.Soru
f(x)=-x^2-4x-1 olmak üzere f'(1) nedir?
|
-6
|
|
6
|
|
-4
|
|
4
|
|
-2
|
17.Soru
f(x)=(1/3)x^3-(5/2)x^2+6x fonksiyonunun azalan olduğu aralık nedir?
|
(2,3)
|
|
(2,5)
|
|
(1,4)
|
|
(-2,3)
|
|
(-2,-3)
|
18.Soru
A=[3 5] ve B=[2 -1] olmak üzere A+B matrisi aşağıdakilerden hangisine eşittir?
|
[5 4]
|
|
[4 5]
|
|
[1 6]
|
|
[3 4]
|
|
[2 4]
|
19.Soru
f(x)=x^3+(1/2x) ise f'(-1) kaçtır?
|
5
|
|
-5
|
|
-5/2
|
|
5/2
|
|
3/2
|
-
- 1.SORU ÇÖZÜLMEDİ
- 2.SORU ÇÖZÜLMEDİ
- 3.SORU ÇÖZÜLMEDİ
- 4.SORU ÇÖZÜLMEDİ
- 5.SORU ÇÖZÜLMEDİ
- 6.SORU ÇÖZÜLMEDİ
- 7.SORU ÇÖZÜLMEDİ
- 8.SORU ÇÖZÜLMEDİ
- 9.SORU ÇÖZÜLMEDİ
- 10.SORU ÇÖZÜLMEDİ
- 11.SORU ÇÖZÜLMEDİ
- 12.SORU ÇÖZÜLMEDİ
- 13.SORU ÇÖZÜLMEDİ
- 14.SORU ÇÖZÜLMEDİ
- 15.SORU ÇÖZÜLMEDİ
- 16.SORU ÇÖZÜLMEDİ
- 17.SORU ÇÖZÜLMEDİ
- 18.SORU ÇÖZÜLMEDİ
- 19.SORU ÇÖZÜLMEDİ