Genel Matematik Final 39. Deneme Sınavı
Toplam 20 Soru2.Soru
f: IR\ {4} › R ; f(x)=3x/(x-4) fonksiyonu için f^(-1) (x)= ?
|
4x/(x-3)
|
|
-4x/(x+3)
|
|
x/(x-4)
|
|
3x/(x+4)
|
|
x/(x+4)
|
3.Soru
Yukarıdaki formülün toplamı sonucunda ulaşılan sayıya verilen ad aşağıdakilerden hangisidir?
|
Thales toplamı |
|
Riemann toplamı |
|
Aristo toplamı |
|
Adel toplamı |
|
Arf toplamı |
Toplam ifade ortak bir parantezleme ile
şeklinde de yazılabilir. Bu toplam bir gerçel sayıdır, bu sayıya f fonksiyonunun bir Riemann toplamı denir. Dolayısıyla doğru cevap B'dir.
4.Soru
Bir bankadan %1.50 aylık faiz oranı ve 24 ay vade ile aylık taksitler 1200 TL olacak biçimde en fazla kaç TL kredi çekilebilir?
|
24300 |
|
24490 |
|
25680 |
|
25490 |
|
26680 |
Borç amortismanı formülünden,
eşitliğinden A=24490 TL elde edilir. Bu faiz oranı, vade ve taksitler doğrultusunda daha az miktarda kredi çekilebilmesi elbette mümkündür, ancak soruda en fazla ne kadar kredi çekilebileceği sorulduğundan, istenen cevap 24490 TL dir. Doğru cevap B'dir.
5.Soru
Bir matrisin satır matrisi olabilmesi için satır sayısının kaç olması gerekir?
|
5
|
|
4
|
|
3
|
|
2
|
|
1
|
6.Soru
Bir matrisin satır sayısı sütun sayısının 2 katından bir fazla ise bu matrisin boyutu aşağıdakilerden hangisi olabilir?
|
3x1
|
|
1x3
|
|
2x1
|
|
1x1
|
|
1x2
|
7.Soru
Bir bankadan %0.15 aylık faiz oranı ve 15 ay vadeyle 30000 TL kredi çekilirse aylık geri ödeme taksidi ne olur?
|
2070 |
|
3000 |
|
3010 |
|
3030 |
|
3050 |
Doğru cevap A seçeneğidir.
8.Soru
Aylık enflasyon oranının %1.1 olduğu bir ülkede yıllık enflasyon oranı nedir?
|
24
|
|
32
|
|
28
|
|
12
|
|
14
|
9.Soru
x-2y+3z=1x+4y+z=5-x+y-2z=-1 denklem sisteminin çözümü aşağıdakilerden hangisidir?
|
(1,2,2)
|
|
(0,1,2)
|
|
(1,1,2)
|
|
(1,2,2)
|
|
(0,1,1)
|
10.Soru
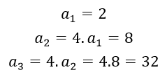
Ortak çarpanı 4 ve ilk terimi 2 olan bir geometrik dizinin beşinci terimi aşağıdakilerden hangisidir?
|
32 |
|
64 |
|
128 |
|
256 |
|
512 |
Bir geometrik dizinin ilk terimi 2 ve ortak çarpanı 4 olduğundan ilk beş terimi:
olur. Buradan beşinci terim 512 bulunur.
11.Soru
|
|
|
|
|
|
|
|
|
|
dönüşümü yapılırsa
olur. Buradan,
Doğru cevap A’dır.
12.Soru
olduğuna göre
aşağıdakilerden hangisine eşittir?
|
x2+3 |
|
x2+3x |
|
x2+3x+1 |
|
x2 |
|
x+3 |
olarak elde edilir. Doğru cevap A'dır.
13.Soru
fonksiyonu için f''(1) değeri kaçtır?
|
3 |
|
4 |
|
6 |
|
7 |
|
8 |
ve tekrar türev alınırsa
olur. Böylece f''(1)=2-6+12=8‘dir. Doğru cevap E'dir.
14.Soru
|
|
|
|
|
|
|
|
|
|
Verilen aralıkta iki eğri arasında kalan alanı hesaplamalıyız.
15.Soru
Bir müzeye giriş ücreti yetişkinler için 20 TL, öğrenciler için 8 TL dir. Bir günde müzeyi 180 kişi ziyaret etmiş ve 2400 TL ücret toplanmıştır. Buna göre müzeyi kaç öğrenci ziyaret etmiştir?
|
100
|
|
92
|
|
80
|
|
110
|
|
96
|
16.Soru
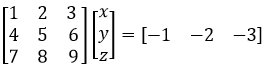
doğrusal denklem sistemi matris çarpımı kullanılarak nasıl yazılır?
|
|
|
|
|
|
|
|
|
|
Verilen denklem sisteminin katsayılar matrisi
matrisidir. Elemanları, bilinmeyen x, y, z olan
sütun matrisini ve elemanları, denklem sisteminin sağ tarafındaki sayılar olan
sütun matrisini göz önüne alalım. Bu durumda verilen üç bilinmeyenli doğrusal denklem sistemi, yukarıdaki üç matrisin bir çarpımı olarak
şeklinde yazılır.
17.Soru
Türevin limit tanımı kullanılırsa f(x)=x^2 fonksiyonunun türevi aşağıdakilerden hangisidir?
|
2x-1
|
|
2x
|
|
2x+1
|
|
-2x+1
|
|
-2x-1
|
18.Soru
işleminin sonucu kaçtır?
|
11 |
|
5 |
|
-11 |
|
-5 |
|
0 |
olduğundan; doğru cevap B şıkkıdır.
19.Soru
İlk terimi 6 ve ortak farkı 5 olan aritmetik dizinin baştan dördüncü terimi kaçtır?
|
11
|
|
16
|
|
21
|
|
26
|
|
31
|
20.Soru
Bir denklem sistemini çözmek için aşağıdaki işlemlerden hangisi uygulanırsa sistemin çözümü değişir?
|
İki denklemin yeri değiştirilebilir.
|
|
Sistemdeki bir denklem pozitif bir sayı ile çarpılabilir.
|
|
Sistemdeki bir denklem negatif bir sayı ile çarpılabilir.
|
|
Bir denklem bir sayı ile çarpılıp, sistemdeki diğer bir denkleme eklenebilir.
|
|
Sistemdeki bir denklem sıfır sayısı ile çarpılabilir.
|
-
- 1.SORU ÇÖZÜLMEDİ
- 2.SORU ÇÖZÜLMEDİ
- 3.SORU ÇÖZÜLMEDİ
- 4.SORU ÇÖZÜLMEDİ
- 5.SORU ÇÖZÜLMEDİ
- 6.SORU ÇÖZÜLMEDİ
- 7.SORU ÇÖZÜLMEDİ
- 8.SORU ÇÖZÜLMEDİ
- 9.SORU ÇÖZÜLMEDİ
- 10.SORU ÇÖZÜLMEDİ
- 11.SORU ÇÖZÜLMEDİ
- 12.SORU ÇÖZÜLMEDİ
- 13.SORU ÇÖZÜLMEDİ
- 14.SORU ÇÖZÜLMEDİ
- 15.SORU ÇÖZÜLMEDİ
- 16.SORU ÇÖZÜLMEDİ
- 17.SORU ÇÖZÜLMEDİ
- 18.SORU ÇÖZÜLMEDİ
- 19.SORU ÇÖZÜLMEDİ
- 20.SORU ÇÖZÜLMEDİ