Genel Matematik Final 40. Deneme Sınavı
Toplam 19 Soru1.Soru
ise log243 'ün yaklaşık değeri aşağıdakilerden hangisidir?
|
5,2 |
|
4,8 |
|
3 |
|
2 |
|
1 |
olarak elde edilir. Dolayısıyla cevap C seçeneğidir.
2.Soru
Bir şirket çalışanlarının maaşını performanslarına göre ödemektedir. Her bir çalışan 2558 TL asgari ücrete ilave olarak tamamladığı küçük ölçekli her bir projenin %5’i,büyük ölçekli her bir projenin %3’ü kadar prim almaktadır. Buna göre a TL’lik küçük ölçekli ve b TL’lik büyük ölçekli bir proje tamamlayan bir çalışanın maaşı (m) hangi denklem ile ifade edilebilir?
|
2558m=5a+3b |
|
m=2558-0,05a+0,03b |
|
m= 2558+5a+3b |
|
m=2558+0,05a+0,03b |
|
m=2558+0,05.0,03 a.b |
m maaş, a TL’lik küçük ölçekli projenin %5’i prim, b TL’lik büyük ölçekli projenin %3’ü prim ise önce asgari ücret alınmalı, bu ücrete primler eklenmelidir. a TL’nin %5’i 0,05a, b TL’nin %3’ü 0,03b primdir.
O halde denklem:
m=2558+0,05a+0,03b ‘dir.
3.Soru
"a" liraya alınan bir mal alış fiyatı üzerinden %20 kâr ile "b" liraya satılıyor. Etiket fiyatı "b" lira olan başka bir malda %20 indirimle "c" liraya satılıyor. Buna göre, "a,b,c" arasındaki ilişki aşağıdakilerden hangisinde doğru olarak verilmiştir?
|
a>c>b
|
|
a>b>c
|
|
b>a>c
|
|
b>c>a
|
|
c>b>a
|
6.Soru
f(x)=x^3+6x^2-15x fonksiyonunun yerel minimum değeri nedir?
|
-8
|
|
1
|
|
-5
|
|
10
|
|
0
|
7.Soru
f(x)=4x2-3x+12 fonksiyonunun x=0 noktasındaki ikinci mertebeden türevi nedir?
|
0 |
|
4 |
|
5 |
|
8 |
|
17 |
f(x)=4x2-3x+12 ise f'(x)=8x-3 ve f''(x)=8 olur. f''(0)=8 olacaktır.
8.Soru
Etiket fiyatı 95 Türk Lirası olan bir gömlek, etiket fiyatı üzerinden % 60 indirim yapılarak satılmıştır. Bu gömlek kaç Türk Lirası’na satılmıştır?
|
35
|
|
38
|
|
42
|
|
44
|
|
46
|
9.Soru
f(x)=-x²+2x+1 fonksiyonunun grafiğine (1,2) noktasında çizilen teğetin doğrusunun denklemi aşağıdakilerden hangisidir?
|
y=1
|
|
y=2
|
|
y=2x
|
|
y=-2x
|
|
y=-2x+4
|
10.Soru
x + y = 3; x - y = 5 olmak üzere verilen denklem sisteminin (x,y) çözümü nedir?
|
(1, 2) |
|
(2, 1) |
|
(6, 3) |
|
(0, 3) |
|
(1, 4) |
İki denklemi taraf tarafa toplarsak 4x = 8 ve x = 2 elde edilir. Bu sayı denklemlerden birinde yerine konursa y = 1 elde edilir.
11.Soru
Yukarıda verilen grafiklere göre aşağıdakilerden hangisi/hangileri doğrudur?
- b üstel bir fonksiyon grafiğidir.
- b bir logaritma fonksiyon grafiğidir.
- c üstel bir fonksiyon grafiğidir.
- c bir logaritma fonksiyon grafiğidir.
- y=ax üstel fonksiyonunun a doğrusuna göre yansıması fonksiyonunun grafiğini verir.
|
I-III |
|
II-IV |
|
I-IV-V |
|
II-III-V |
|
I-III-V |
.
12.Soru
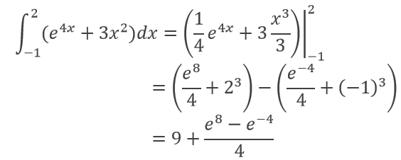
integralinin değeri aşağıdakilerden hangisidir?
|
|
|
|
|
|
|
|
|
|
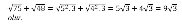
olur. Doğru cevap D’dir.
13.Soru
Aylık geliri 2500Tl olan bir kişinin % 15 zam ile aylık geliri aşağıdakilerden hangisi olur?
|
2800
|
|
2875
|
|
2900
|
|
2700
|
|
2780
|
14.Soru
x=1 noktası f(x)=2ax+4x2 fonksiyonunun bir yerel ekstremum noktası ise a değeri aşağıdakilerden hangisi olabilir?
|
-2 |
|
-4 |
|
-1 |
|
0 |
|
4 |
x=1 noktası yerel ekstremum noktası olduğundan f'(x)=0 denkleminin bir çözümüdür. Buradan f'(x)=2a+8x, f'(1)=2a+8=0 denkleminden a=-4 olur.
15.Soru
f(x)=(3x+5)^4 fonksiyonunun integrali nedir?
|
(3x+5)^4 /12+c
|
|
(3x+5)^5 +c
|
|
(3x+5)^5 /5+c
|
|
(3x+5)^5 /15+c
|
|
(3x+5)^3 /15+c
|
16.Soru
, f(x)=1/(x2-3x) ve
, g(x)=5x fonksiyonları veriliyor. (f.g)(4) değeri aşağıdakilerden hangisidir?
|
6 |
|
5 |
|
4 |
|
3 |
|
2 |
İki fonksiyonun çarpımı tanımından (f.g)(4)=f(4).g(4)=(1/(16-12)).20=5 olur. Doğru cevap B'dir.
17.Soru
Bir işçi 96 m2’lik bir alana parke taş döşemiştir. Bu alanın uzun kenarı, kısa kenarından 4 m daha uzun olduğuna göre taş döşenen bu alanın kısa kenar uzunluğu aşağıdakilerden hangisidir?
|
4 |
|
6 |
|
8 |
|
10 |
|
12 |
18.Soru
Bir bankadan %0.39 aylık faiz oranı ve 15 ay vade ile 10.000 TL tüketici kredisi çekilirse, aylık geri ödeme taksitleri ne kadar olur?
|
867.65
|
|
687.65
|
|
650.75
|
|
637.54
|
|
677.67
|
19.Soru
f:A›R, f(x) = 2x + 3 ve A = {-1,0,1} olduğuna göre f(A) görüntü kümesi aşağıdakilerden hangisidir?
|
{1,3,7} |
|
{1,5,7} |
|
{2,5,7} |
|
{1,3, 5} |
|
Ø |
f(x)=2x + 3 olduğundan,
A kümesi için f(A)=2.A + 3 olur. Sırasıyla,
x = -1 için f(-1) = 2.(-1) + 3 =1
x = 0 için f(0) = 2.(0) + 3 =3
x = 1 için f(1) = 2.(1) + 3 =5
olur.
-
- 1.SORU ÇÖZÜLMEDİ
- 2.SORU ÇÖZÜLMEDİ
- 3.SORU ÇÖZÜLMEDİ
- 4.SORU ÇÖZÜLMEDİ
- 5.SORU ÇÖZÜLMEDİ
- 6.SORU ÇÖZÜLMEDİ
- 7.SORU ÇÖZÜLMEDİ
- 8.SORU ÇÖZÜLMEDİ
- 9.SORU ÇÖZÜLMEDİ
- 10.SORU ÇÖZÜLMEDİ
- 11.SORU ÇÖZÜLMEDİ
- 12.SORU ÇÖZÜLMEDİ
- 13.SORU ÇÖZÜLMEDİ
- 14.SORU ÇÖZÜLMEDİ
- 15.SORU ÇÖZÜLMEDİ
- 16.SORU ÇÖZÜLMEDİ
- 17.SORU ÇÖZÜLMEDİ
- 18.SORU ÇÖZÜLMEDİ
- 19.SORU ÇÖZÜLMEDİ