Genel Matematik Final 8. Deneme Sınavı
Toplam 19 Soru1.Soru
f(x)=2x2+1 fonksiyonunun x=1/2 noktasındaki türevi kaçtır?
|
2 |
|
-2 |
|
0 |
|
1 |
|
-1 |
f fonksiyonu bir polinom fonksiyon olup türevini alırsak, f'(x)=2.2x=4x ifadesine ulaşılır. Fonksiyonun türevinin noktasındaki değeri sorulduğundan türevde yerine koyarsak f'(1/2)=4/2=2 sonucu elde edilir.
2.Soru
2500Tl Aylık gelirinin %8'ini biriktiren bir kişinin bir yıl sonra kaç lira biriktirmiş olur?
|
2000
|
|
2200
|
|
2400
|
|
2600
|
|
2800
|
3.Soru
f(x)=x3-2x+1 fonksiyonunun ikinci mertebeden türevinin x=-2’deki değeri kaçtır?
|
-14 |
|
-12 |
|
-10 |
|
10 |
|
12 |
f'(x)=3x2-2 ve tekrar türev alınırsa f''(x)=6x olur. Böylece f''(-2)=6.(-2)=-12 bulunur. Doğru cevap B'dir.
4.Soru
sisteminin katsayılar matrisi aşağıdakilerden hangisidir?
|
|
|
|
|
|
|
|
|
|
Bu denklem sisteminin katsayılardan oluşan matrisi,
matrisidir.
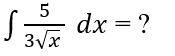
5.Soru
Çevresi 40 cm olan bir dikdörtgenin alanı en çok kaç cm olur?
|
50 |
|
100 |
|
150 |
|
200 |
|
250 |
Dikdörtgenin çevresi 2(x+y)=40 eşitliği ile ifade edilsin. Buradan y=20-x olur. Alan ise x.y=x.(20-x)=20x-x2 olur. Alanın en büyük değerini bulmak için f(x)=20x-x2 fonksiyonunun en büyük değeri yani yerel maksimum değeri bulunmalıdır. Bunun için f'(x)=0 olmalıdır. f'(x)=20-2x=0 buradan x=10 olur. x=10 için f(x)=20.10-102=100 cm2 elde edilir.
6.Soru
f(x)=2x3-3ax2+x-2 ise f''(x)=?
|
f''(x)=12x-6a |
|
f''(x)=12x2-6a |
|
f''(x)=12x2+6a |
|
f''(x)=12x-6ax |
|
f''(x)=12x+6a |
Fonksiyonun birinci mertebeden türevi f'(x)=6x2-6ax+1'dir. İkinci mertebeden türevi ise f''(x)=12x-6a olur.
7.Soru
f : R›R, için f = {(1,-2), (2,3), (4,0)} olmak üzere f-1(3) + f (1) ifadesi aşağıdakilerden hangisidir?
|
0 |
|
1 |
|
2 |
|
3 |
|
4 |
f = {(1,-2), (2,3), (4,0)} olduğuna göre,
f(1) = -2, f(2) = 3 ve f(4) = 0 dır.
f-1(-2) = 1, f-1(3) = 2 ve f-1(0) = 4
f-1(3) + f(1) = 2 + -2 = 0
olur.
8.Soru
ise f'(2) nedir?
|
0,15 |
|
0,16 |
|
0,17 |
|
0,18 |
|
0,19 |
olduğundan
bulunur. Doğru cevap B'dir.
9.Soru
8x-2=0 denkleminin çözüm kümesi aşağıdakilerden hangisidir?
|
|
|
|
|
|
|
|
|
|
x yalnız bırakmak için her iki tarafa 2 ekleriz.
8x-2+2=0+2
8x=2
11.Soru
Bir çocuk parasının ini harcadıktan sonra geriye 25 lirası kalıyor. Çocuğun harcama yapmadan önceki parası ne kadardır?
|
125 |
|
100 |
|
90 |
|
75 |
|
50 |
12.Soru
Ortak çarpanı 2 ve ilk terimi 5 olan bir geometrik dizinin ilk üç teriminin toplamı aşağıdakilerden hangisidir?
|
15 |
|
28 |
|
35 |
|
40 |
|
70 |
İlk terimi 5 ve ortak çarpanı 2 olan geometrik dizisinin ilk üç terimi,
a1=5, a2=2.a1=10, a3=2.a2=20 olduğundan a1+a2+a3=35 olur.
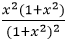
13.Soru
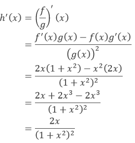
fonksiyonunun türevi nedir?
|
|
|
|
|
|
|
|
|
|
h(x) fonksiyonunun türevini bulabilmek için, iki fonksiyonun bölümü şeklinde olan bir fonksiyonun türevini nasıl bulacağımızı, yani bölüm fonksiyonu için türev kuralını bilmemiz gerekir.
f ve g fonsiyonları x noktasında türevlenebilir olsunlar ve g(x) sıfırdan farklı olsun. Bu durumda
kuralı geçerlidir. Dikkat edilirse h(x) fonksiyonu, f(x)=x2 ve g(x)=1+x2 olmak üzere
şeklinde iki fonksiyonun bölüm fonksiyonudur. f'(x)=2x ve g'(x)=2x olduğundan
bulunur. Doğru cevap A'dır.
14.Soru
an=2n+1 aritmetik dizisinin ilk üç teriminin toplamı aşağıdakilerden hangisidir?
|
15 |
|
18 |
|
21 |
|
24 |
|
27 |
an=2n+1 aritmetik dizisinde sırasıyla n yerine 1,2 ve 3 doğal sayılarını yazarsak,
Dizinin ilk terimi a1=2.1+1=3
Dizinin ikinci terimi a2=2.2+1=5
Dizinin üçüncü terimi a3=2.3+1=7 olur. Yani a1+a2+a3=3+5+7=15
15.Soru
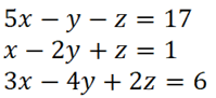
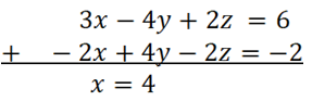
Yukarıda verilen üç bilinmeyenli denklem sisteminde x kaç olur?
|
1 |
|
2 |
|
3 |
|
4 |
|
5 |
2. denklemde her iki tarafı -2 ile çarpalım. Daha sonra 3. denklemle 2. denklemi alt alta toplayalım. -2(x-2y+z)=-2.1 buradan -2x+4y-2z=-2 olur.
olur.
16.Soru
f(x)=3x2-5 fonksiyonunun grafiğine hangi x noktasında çizilen teğet doğrusunun eğimi 2/3 olur?
|
9/2 |
|
2/9 |
|
1/9 |
|
9 |
|
1 |
Önce f fonksiyonunun türevini alıp 2/3’e eşitlemeliyiz. f'(x)=6x=2/3 denkleminden x=1/9 olur.
17.Soru
|2x-4|=6 ise x'in alacağı değerler toplamı kaçtır?
|
6
|
|
-1
|
|
4
|
|
3
|
|
5
|
18.Soru
Bir sayının %25 'inden 200 çıkartılırsa sonuç 50 oluyorsa o sayı nedir?
|
800 |
|
1000 |
|
1200 |
|
1500 |
|
1800 |
Doğru cevap B seçeneğidir.
19.Soru
Ali parasının 1/3 ile defter ve 1/5 ile kalem alıyor. Annesi harcadığı paranın 20 TL yi geçmemesini söylemiştir. Baştakaç Tl si vardır?
|
37 |
|
20 |
|
50 |
|
57 |
|
65 |
-
- 1.SORU ÇÖZÜLMEDİ
- 2.SORU ÇÖZÜLMEDİ
- 3.SORU ÇÖZÜLMEDİ
- 4.SORU ÇÖZÜLMEDİ
- 5.SORU ÇÖZÜLMEDİ
- 6.SORU ÇÖZÜLMEDİ
- 7.SORU ÇÖZÜLMEDİ
- 8.SORU ÇÖZÜLMEDİ
- 9.SORU ÇÖZÜLMEDİ
- 10.SORU ÇÖZÜLMEDİ
- 11.SORU ÇÖZÜLMEDİ
- 12.SORU ÇÖZÜLMEDİ
- 13.SORU ÇÖZÜLMEDİ
- 14.SORU ÇÖZÜLMEDİ
- 15.SORU ÇÖZÜLMEDİ
- 16.SORU ÇÖZÜLMEDİ
- 17.SORU ÇÖZÜLMEDİ
- 18.SORU ÇÖZÜLMEDİ
- 19.SORU ÇÖZÜLMEDİ