Genel Matematik Final 9. Deneme Sınavı
Toplam 19 Soru1.Soru
|
% 9 artmıştır |
|
% 9 azalmıştır |
|
Değişmemiştir |
|
% 19 artmıştır |
|
% 19 azalmıştır |
3.Soru
Sezon fiyatı 300Tl olan bir çanta indirimde 120Tl ye alınmıştır.Çantanın fiyatında yüzde kaç indirim yapılmıştır?
|
%60
|
|
%50
|
|
%40
|
|
%70
|
|
%30
|
4.Soru
|
|
|
|
|
|
|
|
|
|
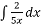
Verilen integralde;
dönüşümü yaparsak ve her iki tarafın integrali alınırsa;
olur ve verilen integralde yerine yazarsak;
haline dönüşür. 'nun integrali ise
dur. Böylece
elde ederiz. Burada
yerine
yazacak olursak aradığımız integrali
olarak buluruz.
Doğru cevap E seçeneğidir.
5.Soru
Belirli bir yükseklikten atılan bir cisim ilk t saniyede f(t)=4t2+t metre uzağa düşüyor. Buna göre bu cismin [2, 4] aralığındaki ortalama hızı kaç m/sn’dir?
|
18 |
|
22 |
|
25 |
|
28 |
|
30 |
m/sn elde edilir. Doğru cevap C'dir.
6.Soru
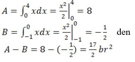
y=x doğrusu, x- ekseni, x=-1 ve x=4 doğrularıyla sınırlı bölgenin alanı kaç br2 dir?
|
5/2 |
|
7/2 |
|
17/2 |
|
5 |
|
7 |
İntegral alan ilişkisini kullanarak
7.Soru
Ayda 1000TL geri ödeme ve %1 faiz oranı ile 50000TL kredi çekmek istiyoruz. Bu koşullar altında ödememiz kaç ayda biter?
|
75
|
|
24
|
|
12
|
|
60
|
|
100
|
8.Soru
f (x) = -3x^4+7x^2-10 ise f '(-2) değeri nedir?
|
-42
|
|
87
|
|
54
|
|
68
|
|
-45
|
10.Soru
log232+log327-log100 sayısı aşağıdakilerden hangisidir?
|
2 |
|
3 |
|
4 |
|
5 |
|
6 |
log232+log327-log100=log225+log333-log102=5+3-2=6 olur.
11.Soru
x+y+z=1, x-y-z=3, x+y-z=5 sisteminin çözümü nedir?
|
(1,1,1)
|
|
(2,2,-2)
|
|
(2,1,1)
|
|
(1,1,-2)
|
|
(2,1,-2)
|
12.Soru
f(x)=3x2+5x-1 için f'(2) değeri aşağıdakilerden hangisidir?
|
14 |
|
17 |
|
20 |
|
23 |
|
26 |
f'(x)=6x+5 olur. f'(2) ise 6.2+5=17 olur.
13.Soru
|
|
|
|
|
|
|
|
|
|
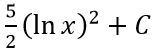
Türevi
koşulunu sağlayan bir
fonksiyonu arıyoruz. Bunun için
integralini hesaplayalım.
olur.
olmalıdır. Buradan da
bulunur. Yani
Doğru cevap B seçeneğidir.
14.Soru
f(x)=xln(x) ise f'(e)=?
|
0
|
|
1
|
|
2
|
|
3
|
|
4
|
15.Soru
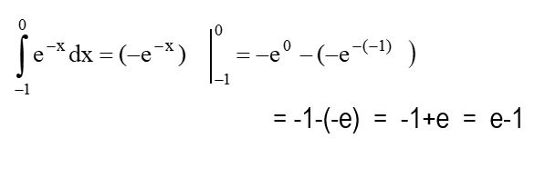
y = e-x ile koordinat eksenleri ile x =-1 doğrusu arasında kalan bölgenin alanı nedir?
|
e+1 |
|
e-1 |
|
1-e |
|
|
|
|
16.Soru
f(x)=ln?(lnx+3) ise f'(x) nedir?
|
1/(x·(-lnx+3))
|
|
-1/(x·(lnx)
|
|
1/(x·(lnx)
|
|
-1/(x·(-lnx+3)
|
|
1/(x·(lnx+3)
|
17.Soru
Pınar aylık %0.89 faizle aldığı 25000 TL konut kredisini aylık 800 TL eşit taksitlerle ödeyecektir. Pınar'ın 3. ay sonunda ödeyeceği faiz miktarı aşağıdakilerden hangisidir?
|
217.36
|
|
212.17
|
|
206.94
|
|
200.85
|
|
194.48
|
18.Soru
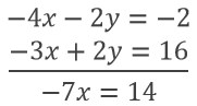
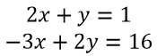
denklem sisteminin çözümü nedir?
|
(-2, 5) |
|
(2, 5) |
|
(5, -2) |
|
(-2, -5) |
|
(-5, 2) |
Yok etme yöntemi kullanılarak bu denklem sistemi çözülürse, ilk denklemi -2 ile çarpıp denklemler taraf tarafa toplanır:
ve böylece x=-2 bulunur. Bu değer denklemlerden birinde yerine koyulduğunda 2(-2)+y=1 ve böylece y=5 elde edilir. O halde çözüm (-2, 5) noktasıdır. Doğru cevap A'dır.
19.Soru
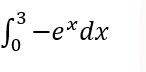
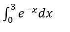
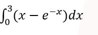
Üstten y=e-x eğrisi, alttan x-ekseni, soldan y-ekseni ve sağdan x=3 düşey doğrusu ile sınırlı düzlemsel bölgenin alanı aşağıdaki belirli integrallerden hangisi ile ifade edilir?
|
|
|
|
|
|
|
|
|
|
Doğru cevap B'dir.
-
- 1.SORU ÇÖZÜLMEDİ
- 2.SORU ÇÖZÜLMEDİ
- 3.SORU ÇÖZÜLMEDİ
- 4.SORU ÇÖZÜLMEDİ
- 5.SORU ÇÖZÜLMEDİ
- 6.SORU ÇÖZÜLMEDİ
- 7.SORU ÇÖZÜLMEDİ
- 8.SORU ÇÖZÜLMEDİ
- 9.SORU ÇÖZÜLMEDİ
- 10.SORU ÇÖZÜLMEDİ
- 11.SORU ÇÖZÜLMEDİ
- 12.SORU ÇÖZÜLMEDİ
- 13.SORU ÇÖZÜLMEDİ
- 14.SORU ÇÖZÜLMEDİ
- 15.SORU ÇÖZÜLMEDİ
- 16.SORU ÇÖZÜLMEDİ
- 17.SORU ÇÖZÜLMEDİ
- 18.SORU ÇÖZÜLMEDİ
- 19.SORU ÇÖZÜLMEDİ