Güç Sistemleri Analizi Ara 5. Deneme Sınavı
Toplam 20 Soru1.Soru
Dengeli üç-faz akımlar Y-Y üç fazlı çift sargılı transformatöre uygulandığında aşağıdakilerden hangisi söylenemez?
|
Nötr akımları sıfır olur. |
|
Nötr empedansları üzerinde gerilim düşümü oluşmaz |
|
Nötr empedansları üzerinde potansiyel farkı oluşur. |
|
Sargılar arasında faz kayması olmadığı kabul edilir. |
|
Birim eşdeğer devresi ideal tek-faz transformatörün birim eşdeğer devresiyle aynıdır. |
Dengeli üç-faz akımlar transformatöre uygulandığı zaman, nötr akımları sıfır olur ve nötr
empedansları üzerinde gerilim düşümü veya potansiyel farkı oluşmaz. Bu nedenle, Y -Y ideal transformatörünün birim eşdeğer devresi, ideal tek-faz transformatörün birim eşdeğer devresiyle aynıdır. Sargılar arasında faz kayması olmadığı kabul edilir. Buna göre cevap C'dir.
2.Soru
bir dirençle
değerindeki endüktif reaktans paralel bağlıdır.
değerindeki bir gerilim kaynağı birbirine paralel bağlı bu iki yüke enerji sağlamaktadır. Direnç tarafından çekilen anlık güç aşağıdakilerden hangisidir?
|
|
|
|
|
1500 W |
|
|
|
2653 W |
Gerilim;
Direnç üzerinden geçen akım;
Bobin üzerinden geçen akım;
Toplam yük akımı ise;
Direnç tarafından çekilen anlık güç;
3.Soru
Yukarıdaki eşitliklerin mevcut olması neyi sağlar?
|
Asimetrik seri empedanslar için, |
|
Simetrik seri empedanslar için, |
|
Simetrik seri empedanslar için, |
|
Asimetrik seri empedanslar için, |
|
Simetrik seri empedanslar için, |
eşitliklerinin mevcut olması, simetrik seri empedanslar için,
sıralı empedans matrisinin köşegen olmasını sağlar.
4.Soru
Kompleks güç, güç üçgeni ile özetlenebilir. Bu bağlamda görünen güç “S”, aktif güç “P” olduğuna göre reaktif güç hangi harf ile temsil edilmektedir?
|
W |
|
Y |
|
T |
|
V |
|
Q |
Kompleks güç Şekil 1.5’teki güç üçgeni ile özetlenebilir. Görüldüğü gibi görünen güç “S”, aktif güç “P” ve reaktif güç “Q”; güç üçgeninin birer kenarını oluşturur.
5.Soru
Tek-faz çift sargılı bir transformatörün anma değerleri 25 kVA, 640/160 V ve 60 Hz olarak verilmiştir. İkincil sargıya göre yönlendirilen transformatörün eşdeğer kaçak empedans değeri Zeş2 = 0,0625?78,28° ? ise ikincil sargıya göre birim kaçak empedansı aşağıdakilerdem hangisidir?
|
|
|
|
|
|
|
|
|
|
Transformatörün 160 V tarafındaki baz empedansı:
olarak hesaplanır.
6.Soru
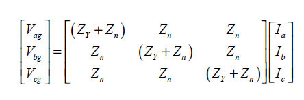
Aşağıdaki matrislerden hangisi faz empedans matrisi olarak kullanılır?
|
|
|
|
|
|
|
|
|
|
şeklinde ifade edilir. Vp hat-toprak arası gerilimleri ( veya faz gerilimleri) içeren sütun vektörü, Ip hat akımlarını içeren (veya faz akımları) sütun vektörü ve Zp ise yukarıda ifade edilen 3×3 ’lük faz empedans matrisi olarak adlandırılır.
7.Soru
Çift sargılı tek-fazlı bir transformatör, 60 Hz, 2.25 kVA ve 600 V birincil sargı gerilimi ve 15 A ikincil sargı akımı ile veriliyorsa bu transformatörün sarım oranı
aşağıdakilerden hangisidir?
|
2 |
|
2.5 |
|
3.15 |
|
4 |
|
4.75 |
Verilen anma gücü değeri ve ikincil sargı akımı yardımıyla ikincil sargıda endüklenen gerilim değeri olarak hesaplanmaktadır. Buradan
olarak hesaplanmaktadır. Cevap D'dir.
8.Soru
Üç-fazlı jeneratörün denge konumunda çalışması durumunda, jeneratörün sağladığı anlık güç ile zaman arasında ilişkiyle ilgili aşağıdaki ifadelerden hangisi doğrudur?
|
Zaman ile doğru orantılıdır.
|
|
Zamana bağlı değildir.
|
|
Zamanın karesi ile doğru orantılıdır.
|
|
Zaman ile ters orantılıdır.
|
|
Zamanın karesi ile ters orantılıdır.
|
9.Soru
Ülkemizde üretilen elektrik enerjisinde yüzde olarak en büyük paya sahip üretim tesisi türü aşağıdakilerden hangisidir?
|
Doğalgaz santralleri
|
|
Rüzgar türbinleri
|
|
Nükleer santraller
|
|
Güneş panelleri
|
|
Hidroelektrik santralleri
|
10.Soru
I. Sıfır-sıralı bileşenler, eşit büyüklükte ve aralarında 0° faz kaymasına sahip üç ayrı fazörden meydana gelmektedirler.
II. Pozitif-sıralı bileşenler eşit büyüklükte, aralarında ±60° faz kaymasına sahip üç ayrı fazörden meydana gelmektedirler.
III. Negatif-sıralı bileşenler eşit büyüklükte, aralarında ±120° faz kaymasına sahip üç ayrı fazörden meydana gelmektedirler.
IV. Pozitif-sıralı bileşenler açısal olarak pozitif yönde sıralanmış üç ayrı fazörden meydana gelmektedirler.
V. Negatif-sıralı bileşenler açısal olarak saat yönünde sıralanmış üç ayrı fazörden meydana gelmektedirler.
Yukarıdaki ifadelerden hangileri doğrudur?
|
I, III, IV |
|
II, III, V |
|
I, III, V |
|
I, II, V |
|
III, IV, V |
Üç-fazlı sistemlerdeki herbir faza ait gerilimler a V , b V ve c V şeklinde isimlendirilir. “Fortescue”ye göre; bu faz gerilimlerinin aşağıdaki üç grup sıralı (ardışık) bileşene ayrılarak çözümlemesi yapılabilir.
• Sıfır-sıralı bileşenler, eşit büyüklükte ve aralarında 0° faz kaymasına sahip üç ayrı fazörden meydana gelmektedirler.
• Pozitif-sıralı bileşenler eşit büyüklükte, aralarında ±120° faz kaymasına sahip ve açısal olarak pozitif yönde sıralanmış üç ayrı fazörden meydana gelmektedirler. Açısal olarak pozitif yön, saat yönünü ifade eder
• Negatif-sıralı bileşenler eşit büyüklükte, aralarında ±120° faz kaymasına sahip ve açısal olarak negatif yönde sıralanmış üç ayrı fazörden meydana gelmektedirler. Açısal olarak negatif yön, saat yönünün tersini ifade eder
11.Soru
I. Sargılarda direnç vardır.
II. çekirdek geçirgenliği sonludur.
III. Manyetik akı tamamen çekirdek ile sınırlı değildir.
IV. Çekirdek üzerinde gerçek ve reaktif güç kayıpları vardır.
Yukarıda sayılı ifadelerden hangisi / hangileri pratik transformatör ile ideal transformatör arasındaki farklılıklardandır?
|
III, IV |
|
I, II, IV |
|
Yalnız III |
|
I, II |
|
I, II, III, IV |
Pratik transformatörün ideal transformatörden farkları aşağıda açıklanmıştır. Pratik
transformatörde;
a. Sargılarda direnç vardır.
b. çekirdek geçirgenliği sonludur.
c. Manyetik akı tamamen çekirdek ile sınırlı değildir.
d. Çekirdek üzerinde gerçek ve reaktif güç kayıpları vardır.
12.Soru
Üç-fazlı dengeli bir sistemde iletim hattındaki gerilim düşümü X değerine karşılık gelmektedir. Aynı gücü iletmek için kullanılan üç adet tek-fazlı sistemde iletim hattındaki gerilim düşümü ise Y değerine karşılık gelmektedir. X ve Y arasındaki ilişki aşağıdakilerden hangisinde doğru olarak verilmektedir?
|
X ile Y aynıdır. |
|
X, Y'nin yarısıdır. |
|
X, Y'nin üçte biridir. |
|
X, Y'nin iki katıdır. |
|
X, Y'nin üç katıdır. |
Bu yüzden üç-fazlı dengeli sistemler, tek-fazlı sistem ile iletilen gücün aynısını iletirken, tek-fazlı sistem için gereken iletken miktarının yarısına gerek duyarlar. Ayrıca üç-fazlı sistemlerde kayıpları ve iletim hattındaki gerilim düşümü; tek-fazlı sisteme göre yarı yarıyadır. Bu yüzden üç-fazlı sistemin ayrık tek-fazlı sistemlere göre avantajlarından biri enerji iletim ve dağıtım maliyeti olarak daha düşük olması ve daha iyi voltaj düzenlemesine sahip olmasıdır. Doğru cevap B'dir.
13.Soru
Dengeli sistemler ile dengesiz sistemler arasındaki ilişkiyi simetrik bileşenler metodunu kullanarak açıklayan ve uygulayan bilim adamı aşağıdakilerden hangisidir?
|
Newton
|
|
Fortescue
|
|
Kirchoff
|
|
Einstein
|
|
Faraday
|
14.Soru
yukarıdaki devreler sırasıyla aşağıdakilerden hangisidir?
|
Pozitif-sıralı devre, Sıfır-sıralı devre, Negatif-sıralı devre |
|
Negatif-sıralı devre, Pozitif-sıralı devre, Sıfır-sıralı devre, |
|
Negatif-sıralı devre, Sıfır-sıralı devre, Pozitif-sıralı devre, |
|
Sıfır-sıralı devre, Negatif-sıralı devre, Pozitif-sıralı devre, |
|
Sıfır-sıralı devre, Pozitif-sıralı devre, Negatif-sıralı devre |
15.Soru
Çift sargılı, tek-fazlı 60 Hz frekans değerinde 20 kVA, 640/160 V anma değerleri ile verilen bir transformatörde sarım oranı at aşağıdakilerden hangisidir?
|
4 |
|
3 |
|
0,25 |
|
0,33 |
|
5 |
Transformatörde sarım oranı at aşağıdaki gibi tanımlanır;
16.Soru
Alternatif akım devrelerinde sinüssel denge durumundaki aktif ve reaktif güç, aşağıdakilerden hangisi ile hesaplanır?
|
Pasif eleman |
|
Paralel kondansatör |
|
Anlık değer |
|
Kompleks güç |
|
Alternatif Akım |
Alternatif akım devrelerinde sinüssel denge durumundaki aktif ve reaktif güç; kompleks güç yardımıyla hesaplanır.
17.Soru
Aşağıdakilerden hangisi, transformatörlerde sargı durumuna göre yapılan sınıflandırmalardan biridir?
|
Mantel tipi transformatörler |
|
Silindirik sargılı transformatörler |
|
Dilimli sargılı transformatörler |
|
Oto-transformatörler |
|
Yağlı transformatörler |
Transformatörler sargı durumlarına göre yalıtılmış sargılı transformatörler ve oto-transformatörler olarak ikiye ayrılırlar. Cevap D'dir.
18.Soru
Bara admitans matrisi üzerindeki köşegen üzerindeki elemanlar aşağıdakilerden hangisini ifade eder?
|
Karşılıklı-empedans değerlerini
|
|
Öz-admitans değerlerini
|
|
Karşılıklı-admitans değerlerini
|
|
Öz-empedans değerlerini
|
|
Öz-kapasitans değerlerini
|
19.Soru
Transformatörlerde sargı durumları esasına göre, aşağıdakilerden hangisi bu sınıflandırma içinde yer alır?
|
Kuru tip transformatör
|
|
Mantel tip transformatör
|
|
Oto-transformatör
|
|
Yağ ile soğutulan tip transformatör
|
|
Açık havada kullanılan tip transformatör
|
20.Soru
Üç-fazlı bir iletim hattının simetrik bileşenler ile analizi için kaç adet sıralı eşdeğer devre gereklidir?
|
1
|
|
2
|
|
3
|
|
4
|
|
6
|
-
- 1.SORU ÇÖZÜLMEDİ
- 2.SORU ÇÖZÜLMEDİ
- 3.SORU ÇÖZÜLMEDİ
- 4.SORU ÇÖZÜLMEDİ
- 5.SORU ÇÖZÜLMEDİ
- 6.SORU ÇÖZÜLMEDİ
- 7.SORU ÇÖZÜLMEDİ
- 8.SORU ÇÖZÜLMEDİ
- 9.SORU ÇÖZÜLMEDİ
- 10.SORU ÇÖZÜLMEDİ
- 11.SORU ÇÖZÜLMEDİ
- 12.SORU ÇÖZÜLMEDİ
- 13.SORU ÇÖZÜLMEDİ
- 14.SORU ÇÖZÜLMEDİ
- 15.SORU ÇÖZÜLMEDİ
- 16.SORU ÇÖZÜLMEDİ
- 17.SORU ÇÖZÜLMEDİ
- 18.SORU ÇÖZÜLMEDİ
- 19.SORU ÇÖZÜLMEDİ
- 20.SORU ÇÖZÜLMEDİ