İktisada Giriş 1 Ara 12. Deneme Sınavı
Toplam 20 Soru1.Soru
- Firmanın gerekli kaynak ve teknolojiye sahip olması
- Mal ve hizmet arzından kâr elde edebilecek olması
- Mal ve hizmet üretmeyi planlaması
- Mal ve hizmeti satabilecek olması
Yukarıda verilenlerden hangileri firmanın mal ve hizmet arz edebilmesi için gerekli olan koşulları göstermektedir?
|
I ve II |
|
I, II ve III |
|
I, II, III ve IV |
|
II ve IV |
|
I, II ve IV |
Bir firmanın mal ve hizmet arz edebilmesi için bazı koşullar vardır. Bunlar; firmanın mal ve hizmet arz edebilmek için gerekli kaynak ve teknolojiye sahip olması, gerçekleştireceği mal ve hizmet arzından kâr elde edebilecek olması, mal ve hizmet üretmeyi planlaması ve onları satabilecek olmasıdır.
2.Soru
- Tüketici zevklerindeki olumsuz değişme
- Tüketici sayısında azalma
- Malın fiyatında azalma
- Tamamlayıcı malın fiyatında azalma
Yukarıda verilenlerden hangileri gerçekleştiğinde talep eğrisi sola kayar?
|
I-II |
|
II-IV |
|
III-IV |
|
I-III |
|
II-III |
Malın fiyatında azalma, mala olan talep miktarını arttırarak eğri üzerinde bir harekete neden olacaktır. Tamamlayıcı malın fiyatında azalma, mala olan talebi arttırarak talep eğrisini sağa kaydıracaktır. Tüketici zevklerindeki olumsuz değişme ve tüketici sayısında azalma ise talep eğrisinin sola kaymasına neden olacaktır.
3.Soru
Aşağıdakilerden hangisi talepte eğrisinde kaymaya neden olan faktörlerden biri değildir?
|
Gelirdeki değişme |
|
İkame malların fiyatındaki değişme |
|
Bekleyişlerde değişme |
|
Tamamlayıcı malların fiyatındaki değişme |
|
Malın kendi fiyatındaki değişme |
Talep eğrisindeki kayma fiyat dışındaki herhangi bir değişiklik nedeniyle bu malı satın almak isteyenlerin miktarda yarattığı değişmedir. Örneğin; gelirdeki bir değişme, diğer malların fiyatlarında ya da bekleyişlerdeki bir değişme, talep eğrisini kaydıracaktır.
4.Soru
Aşağıdakilerden hangisi bir malın tüketilen miktarı arttıkça sağlanan faydanın her ilave birim ile önce artması sonra artışın azalarak devam etmesi ve en yüksek seviyeye ulaştıktan sonra düşmesini ifade eder?
|
Marjinal fayda |
|
Toplam fayda |
|
Azalan marjinal fayda |
|
Sabit marjinal fayda |
|
Artan marjinal fayda |
Toplam fayda; bir malın çeşitli miktarlarının tüketilmesi sonucu ulaşılan tatmin düzeyidir. Marjinal fayda ise; Belirli bir zaman diliminde bir maldan bir birim daha fazla tüketilmesi sonucu toplam faydada ortaya çıkan değişmedir. Malın tüketilen miktarları arttıkça sağlanan toplam fayda her ilave birim ile önce artması sonrasında artışın azalarak devam etmesi en yüksek düzeye ulaştıktan sonra düşmesini ifade eden tanımlamaya azalan marjinal fayda denir.
5.Soru
Hali hazırda 5 tane elma yemiş olan Ayşe’nin 6. elmayı yemesi sonucu oluşan ek yarara ne ad verilir?
|
Toplam fayda |
|
Ortalama fayda |
|
Maksimum fayda |
|
Marjinal fayda |
|
Negatif fayda |
Bir mal veya hizmetten ilave birim tüketilmesi sonucu oluşan ek faydaya marjinal fayda denmektedir.
6.Soru
Aşağıdaki ifadelerden hangisi talebi etkileyen önemli bir değişken olan gelirdeki değişimin sonuçlarından biri değildir?
|
Gelirdeki değişim talep eğrisinde kaymalar meydana getirmez. |
|
Gelirdeki değişim diğer koşullar sabitken talep eğrisinde kaymalar meydana getirir. |
|
Tüketici gelirindeki artış mallara olan talebi arttırır. |
|
Tüketici gelirindeki artış alım gücünü arttırır. |
|
Fiyatlarda bir değişme olmaması durumunda tüketicinin gelirinin artması mevcut fiyat düzeyinde daha fazla mal satın alınabileceği anlamına gelmektedir. |
Gelir fiyat dışında talebi etkileyen önemli bir değişkendir. Gelirdeki değişim diğer koşulların sabit varsayımında talep eğrisinde kaymalar meydana getirir. Tüketici gelirindeki artış alım gücünü ve dolayısıyla mallara olan talebi arttırır. Fiyatlarda değişim olmaksızın meydana gelen gelir artışı daha fazla mal satın alınabileceği imkânını sağlar.
7.Soru
Kısa dönemde toplam ürünün maksimum olduğu noktada:
- Marjinal ürün sıfıra eşittir.
- Ortalama ürün negatif eğimlidir.
- Ortalama ürün pozitif eğimlidir.
ifadelerinden hangileri doğrudur?
|
Yalnızca I |
|
Yalnızca II |
|
Yalnızca III |
|
I ve II |
|
I ve III |
Toplam ürünün maksimum olduğu noktada marjinal ürün sıfıra eşittir. Ortalama ürün eğrisi ise dönüm noktasını geçtiği için negatif eğimlidir.
8.Soru
Doğrusal olmayan fonksiyonların eğimi ile ilgili aşağıda verilen ifadelerden hangisi doğrudur?
|
Eğimi doğrunun her noktasında aynıdır. |
|
Eğimi doğrunun her noktasında farklıdır. |
|
1’e eşittir. |
|
Eğimi sonsuzdur. |
|
Eğimi hesaplanamaz. |
Bir doğrunun eğimi sabit ve doğrunun her noktasında aynı iken, doğrusal olmayan fonksiyonların (eğrinin) eğimi eğrinin her noktasında farklıdır.
9.Soru
Üretim imkanları eğrisine çizilen teğetin eğimi aşağıdakilerden hangisini vermektedir?
|
Marjinal ikame oranı |
|
Marjinal teknik ikame oranı |
|
Marjinal dönüşüm oranı |
|
Marjinal getiri oranı |
|
Marjinal maliyet oranı |
Üretim imkanları eğrisine çizilen teğetlerin eğiminin negatif işaretlisi marjinal dönüşüm oranı olarak tanımlanır. Marjinal dönüşüm oranı; bir maldan bir birim daha fazla üretmek için öteki maldan ne kadar fedakarlık etmek gerektiğini göstermektedir.
10.Soru
Aşağıdaki şıklarda verilenlerden hangisi üretim sonucunda kullanılan ham madde gurubundan dır?
|
Sıralar
|
|
Tahta
|
|
Projektör cihazı
|
|
Tebeşir
|
|
Bilgisayar
|
11.Soru
Bir malın fiyatındaki yüzde artışın başka bir malın talebindeki yüzde değişmeye oranı aşağıdaki hangi katsayıyı verir?
|
Talebin fiyat esnekliği |
|
Talebin gelir esnekliği |
|
Çapraz talep esnekliği |
|
Arz esnekliği |
|
Tüketim esnekliği |
Çapraz fiyat talep esnekliği; bir malın talep edilen miktarındaki yüzde değişmenin ilgili bir başka malın fiyatındaki yüzde değişmeye oranı olarak tanımlanır. Bu tanımlamada iki tür ilişkili mal ile karşılaşılır. Bunlar ikame ve tamamlayıcı mallardır.
12.Soru
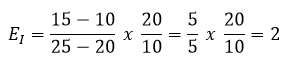
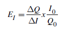
Bir ailenin yıllık geliri 20 bin TL'den 25 bin TL'ye çıktığında yıllık balık tüketimini 10 Kg'dan 15 Kg'a çıkarıyorsa talebin gelir esnekliği kaçtır?
|
1 |
|
2 |
|
2,5 |
|
2,75 |
|
3 |
13.Soru
Çalışanların sahip olduğu bilgi ve becerileri ne olarak adlandırılır?
|
Beşeri sermaye |
|
Sermaye |
|
Öz sermaye |
|
Bilgi |
|
Emek |
Çalışanların sahip olduğu bilgi ve beceri beşeri sermaye olarak adlandırılır.
14.Soru
Belirli bir zaman diliminde firmaların ya da üreticilerin her birisinin arz eğrilerinin yatay toplamı alınarak elde edilen eğri aşağıdakilerden hangisidir?
|
Talep eğrisi |
|
Arz eğrisi |
|
Piyasa talep eğrisi |
|
Piyasa arz eğrisi |
|
Talep şedülü |
Miktar ile fiyat arasındaki ilişkinin tablo şeklinde gösterilmesi şedül olarak ifade edilir. Bu ilişkinin grafiksel gösterimi eğri iken fiyat ile miktar arasındaki ilişki pozitif ise arzdan negatif ise talepten bahsedilir. Belirli bir zamanda her bir bireyin bireysel talep eğrilerinin yatay toplamı alınarak piyasa talep eğrisine ulaşılır.(Piyasa talep şedüllerinden faydalanılır) Diğer yandan belirli bir zaman diliminde firmaların ya da üreticilerin arz eğrilerinin yatay toplamı alınarak piyasa arz eğrileri elde edilir.
15.Soru
Kaynaklar; mal ve hizmet üretiminde kullanılan doğa ya da insanlar tarafından sağlanan tüm araçlardır. Aşağıdaki seçeneklerden hangisi Doğa tarafından sağlanan kaynaklardan biri değildir?
|
Su |
|
Petrol |
|
Orman |
|
Vahşi yaşam |
|
Organize Sanayi |
Kaynaklar; mal ve hizmet üretiminde kullanılan doğa ya da insanlar tarafından sağlanan tüm araçlardır. Doğa tarafından sağlanan kaynaklar; su, petrol, mineraller, vahşi yaşam, orman vb. binlerce varlığı içerir. Tüm bu doğal kaynakları ifade etmek için toprak terimi kullanılır.
16.Soru
Diğer herşey sabitken bir malın fiyatı artarsa o malın arz eğrisinde nasıl bir değişim olur?
|
Yukarı kayar. |
|
Değişmez. |
|
Aşağı kayar. |
|
Eğimi azalır. |
|
Eğimi artar. |
Bir malın fiyatında değişim olduğunda arz eğrisinde bir değişim olmaz, sadece arz eğrisi üzerinde hareket oluşur. Arz eğrisinin kayması için fiyatın dışındaki faktörlerde (ücret, teknoloji, ham madde fiyatları vs) bir değişim olması gerekir.
17.Soru
Bir şeyin mevcut miktarının arzulanan miktarı karşılamakta yetersiz kaldığı durum aşağıdakilerden hangisidir?
|
Zaman |
|
Kıtlık |
|
Harcama |
|
İhtiyaç |
|
İktisat |
Kıtlık: Bir şeyin mevcut miktarının arzulanan miktarı karşılamakta yetersiz kaldığı durumdur.
18.Soru
“Y” malının talep eğrisi sola, arz eğrisi sağa kayarsa, “Y” malının denge fiyatı ve denge miktarında nasıl bir değişim olur?
|
Denge miktarı artar, denge fiyatı düşer. |
|
Denge miktarı düşer, denge fiyatı artar. |
|
Denge fiyatı düşer fakat denge miktarındaki değişim esnekliklere ve kayma miktarına bağlı olarak değişir. |
|
Denge miktarı düşer fakat denge fiyatındaki değişim esnekliklere ve kayma miktarına bağlı olarak değişir. |
|
Hem denge fiyatı hem denge miktarı düşer. |
Hem talebin sola kayması hem arzın sağa kayması denge fiyatını düşürür, fakat denge miktarındaki değişim arz ve talebin esnekliğine ve kayma miktarına bağlı olarak değişir.
19.Soru
Grafikteki talep eğrilerinden hangisi veya hangileri tüketicilerin fiyat değişimlerine karşı daha duyarlı olduğunu gösterir?
|
D1 |
|
D2 |
|
D3 |
|
D4 |
|
D3 ve D4 |
Bir talep eğrisinin biçimi, fiyat değişmelerine karşı tüketicilerin duyarlılığı hakkında bize bir şeyler söylemektedir. Göreceli olarak yatık bir talep eğrisi, tüketicilerin fiyat değişmelerine karşı duyarlı olduğunu gösterir. Oysa nispeten dik bir talep eğrisi tüketicilerin fiyat değişmelerine karşı daha duyarsız olduğunu ifade etmektedir.
20.Soru
İhtiyaçları tatmin etmede kullanılan kaynakların arzulanan miktarı karşılamakta yetersiz kaldığı duruma ne ad verilir?
|
Denge |
|
Kıtlık |
|
Fayda |
|
Değer |
|
Rant |
İhtiyaçları tatmin etmede kullanılan kaynakların arzulanan miktarı karşılamakta yetersiz kaldığı duruma kıtlık adı verilir.
-
- 1.SORU ÇÖZÜLMEDİ
- 2.SORU ÇÖZÜLMEDİ
- 3.SORU ÇÖZÜLMEDİ
- 4.SORU ÇÖZÜLMEDİ
- 5.SORU ÇÖZÜLMEDİ
- 6.SORU ÇÖZÜLMEDİ
- 7.SORU ÇÖZÜLMEDİ
- 8.SORU ÇÖZÜLMEDİ
- 9.SORU ÇÖZÜLMEDİ
- 10.SORU ÇÖZÜLMEDİ
- 11.SORU ÇÖZÜLMEDİ
- 12.SORU ÇÖZÜLMEDİ
- 13.SORU ÇÖZÜLMEDİ
- 14.SORU ÇÖZÜLMEDİ
- 15.SORU ÇÖZÜLMEDİ
- 16.SORU ÇÖZÜLMEDİ
- 17.SORU ÇÖZÜLMEDİ
- 18.SORU ÇÖZÜLMEDİ
- 19.SORU ÇÖZÜLMEDİ
- 20.SORU ÇÖZÜLMEDİ