İstatistik 1 Final 6. Deneme Sınavı
Toplam 20 Soru1.Soru
Kesikli rassal değişkenin sürekli rassal değişkene dönüştürülebilmesi için aşağıdakilerden hangisi yapılmalıdır?
|
X değerine 0.1 değeri eklenir.
|
|
X değerinden 0.1 değeri çıkarılır.
|
|
X değerinden 0.1 değeri çıkarılır ve eklenir.
|
|
Süreklilik düzeltmesi yapılır.
|
|
X değerinden 0.2 değeri çıkarılır ve eklenir.
|
2.Soru
Bir paranın 12 kez atılması deneyinde, üste gelen yazıların sayısının standart sapması kaçtır ?
|
3
|
|
4
|
|
5
|
|
6
|
|
2
|
3.Soru
Ahmet ve Umut’un bir hedefi vurma olasılıkları sırası ile 0.4 ve 0.5 dir. Buna göre bu hedefi Ahmet veya Umut’un vurması olasılığı aşağıdakilerden hangisidir?
|
0.1
|
|
0.4
|
|
0.5
|
|
0.7
|
|
0.9
|
4.Soru
Aşağıdakilerden hangisi bir olayın, belirlenen bir zaman ya da uzay (uzunluk, alan, hacim vb.) aralığında gerçekleşme sayısını modellemek için kullanılan dağılımdır?
|
Binom dağılımı |
|
Poisson dağılımı |
|
Beklenen değer |
|
Olasılık dağılımı |
|
Bernoulli dağılımı |
Poisson dağılımı, olasılık ve istatistik teorisinde yaygın olarak kullanılan kesikli bir dağılımdır. Bir olayın, belirlenen bir zaman ya da uzay (uzunluk, alan, hacim gibi) aralığında gerçekleşme sayısını modellemek için kullanılır. İlgilenilen aralık uzunluğu, bir “birim” olarak ifade edilirse zamanla ilgili aralıklar “birim zaman”, uzayla ilgili aralıklar ise “birim uzay” olarak ifade edilir.
5.Soru
Aşağıdakilerden hangisi bir sürekli rassal değişkendir?
|
Benzin istasyonuna gün içinde gelen araçların sayısı |
|
Zar atma deneyinde 6 gelinceye kadar yapılan atış sayısı |
|
Kutudaki kusurlu ampul sayısı |
|
Şirkette çalışan personel sayısı |
|
Elmaların ağırlığı |
Benzin istasyonuna gün içinde gelen araçların sayısı,Zar atma deneyinde 6 gelinceye kadar yapılan atış sayısı ,Kutudaki kusurlu ampul sayısı ve Şirkette çalışan personel sayısı seçeneklerinde verilen rassal değişkenlerin değerleri sayım yoluyla elde edildiğinden, bunlar kesikli rassal değişkenlerdir.Elmaların ağırlığı seçeneğinde verilen “Elmaların ağırlığı” rassal değişkeni belli bir aralıkta sonsuz sayıda değer alabilir ve aldığı bu değer ölçüm yoluyla elde edilir. Bu nedenle sürekli bir rassal değişkendir.
6.Soru
Bernoulli(0,6) olduğuna göre X rassal değişkeninin beklenen değeri kaçtır?
|
0,6 |
|
0,4 |
|
1 |
|
0,3 |
|
0,2 |
Beklenen değer dağılımın ortalaması anlamındadır. Bernoulli dağılımında beklenen değer (ortalama) olduğundan beklenen değer 0,6 dır.
7.Soru
Hilesiz bir paranın üç kez atılması deneyinde A olayı “En az bir tura gelmesi” şeklinde tanımlandığında, A olayının oluşturan noktalar aşağıdakilerden hangisidir?
|
YYY, YYT, TTY |
|
TTT, TTY, YTT, TYT, YYT, TYY, YTY |
|
TTT, TTY, YTT, TYT, YYT, TYY |
|
TTT, TTY, YTT, TYT, YYT, TYY, YYY |
|
YYT, TTY, YTY, TTT |
Hilesiz bir paranın üç kez atılması deneyinde A olayı “ En az bir tura gelmesi” şeklinde tanımlandığında göre A olayını oluşturan noktaların kümesi, TTT, TTY, YTT, TYT, YYT, TYY, YTY şeklindedir.
8.Soru
Aşağıdakilerden hangisi poisson dağılımının varsayımlarından birisi değildir?
|
Birim zaman ya da birim uzayda gerçekleşen olayların sayısı ayrık olmak kaydıyla diğer bir birim zaman ya da uzayda gerçekleşen olayların sayısından bağımsızdır.
|
|
Birim zaman çok kısa ise, birim zamanda birden fazla olayın gerçekleşme olasılığı bire yaklaşır.
|
|
Birim zaman ya da birim uzayda gerçekleşen olayların ortalama sayısı düzgündür.
|
|
Birim zamanda ortalama x kadar olay gerçekleşiyorsa birim zamanın yarısında ortalama x/2 olay gerçekleşir.
|
|
Kısa bir zaman aralığında bir olayın gerçekleşme olasılığını birim zamanın toplam uzunluğu ile orantılıdır.
|
9.Soru
Bir Yüzme takımının 50 metre serbest stil yüzme derecesi ortalama 32,83 saniye ve standart sapması ise 4,13 saniyedir. Bu Yüzme takımında 25,98 saniye ile 29,38 saniye arasında yüzenlerin tüm takıma oranı ne kadardır ?
|
0,0897 |
|
0,1520 |
|
0,2361 |
|
0,3042 |
|
0,3976 |
P ( 25,98 < x 29,38 ) aralığını hesaplamalıyız.
x = 25,98 için z = (x_i-µ)/? = (25,98-32,83)/4,13 = -1,66
x = 29,38 için z = (x_i-µ)/? = (29,38-32,83)/4,13 = -0,84
P ( -1,66 < z -0,84 ) olasılığı için önce z = -1,66 ile z = 0 aralığı bulunacak ,
sonra z = -0,84 ile z = 0 aralığı bulunacak ve bu değerler birbirinden çıkarılacaktır.
0,4515 – 0,2995 = 0,152
10.Soru
Yukarıdaki tabloda bir okulda voleybol veya basketbol oynayan bayan ve erkek öğrenci sayıları verilmiştir. Buna göre,rastgele seçilen bir öğrencinin voleybol oynama olasılığı nedir?
|
0.34 |
|
0.46 |
|
0.52 |
|
0.75 |
|
0.80 |
Tabloya göre voleybol oynayan öğrencilerin toplamı 10’dur. Toplam öğrenci sayısı 75 olduğuna göre,bulunur.
11.Soru
Bir fabrikada üretilen ürünlerin %30 u yazlıktır. Buna göre bu fabrikanın ürettiği ürünler arasından rasgele 5 ürün seçildiğinde en az 4 tanesinin yazlık ürün olma olasılığı kaçtır?
|
0,0315
|
|
0,1462
|
|
0,2859
|
|
0,3871
|
|
0,4946
|
12.Soru
Y rassal değişkeni n=4 ve p=0,8 olan Binom dağılımına sahiptir. Buna göre, P(Y?1) olasılığı kaçtır?
|
0,0272
|
|
0,1536
|
|
0.4096
|
|
0.4112
|
|
0,4352
|
13.Soru
µ= 30 br. ve ?=1.5 br. değerleriyle normal dağılmakta olan X rassal değişkeni için P(X? a)=0.10 olduğuna göre uygun a değeri aşağıdakilerden hangisine eşittir?
|
33.92
|
|
29.92
|
|
35.92
|
|
31.92
|
|
25.92
|
14.Soru
Varyansı 9 olan bir poisson dağılımının ortalaması kaçtır ?
|
3 |
|
6 |
|
9 |
|
27 |
|
81 |
Poisson dağılımında
?^2 = ? olduğu için varyansı 9 ise ortalamasıda 9 dur.
15.Soru
A ve B olayları için P(AnB)=0 olduğu bilinmektedir. Buna göre A ve B olaylarına ne ad verilir?
|
Basit Olaylar
|
|
Birleşik Olaylar
|
|
Bağımlı Olaylar
|
|
Ayrık Olaylar
|
|
Kesin Olaylar
|
16.Soru
Sürekli bir rassal değişikenlerin tanımlı olduğu aralıkta belirlenen eşit uzunluktaki aralıkların olasılıklarının eşit olduğu dağılım aşağıdakilerden hangisidir?
|
Binom dağılımı
|
|
Bernoulli dağılımı
|
|
Normal dağılım
|
|
Düzgün dağılım
|
|
Standart normal dağılım
|
17.Soru
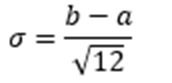
Sürekli X rassal değişkeni [ 3 , 10] aralığında düzgün dağılıma sahip olduğuna göre X rassal değişkeninin standart sapması kaçtır?
|
1,25 |
|
3,22 |
|
4,02 |
|
1,04 |
|
2,02 |
X düzgün dağılım olduğuna göre standart sapmasıbulunur.
18.Soru
Bir madeni paranın 30 kez atılması deneyinde yazı sayısının aritmetik ortalaması kaçtır?
|
15
|
|
60
|
|
30
|
|
32
|
|
28
|
19.Soru
Bir bankanın müşteri hizmetlerine hergün ortalama 5 şikayet gelmektedir. Buna göre herhangi bir günde 2 tane şikayet gelme olasılığı kaçtır?
|
|
|
|
|
|
|
|
|
|
Bu bir Poisson dağılımıdır.bulunur.
20.Soru
Belirli bir Liseden rasgele bir öğrenci seçilsin. A, seçilen öğrencinin Fizik dersinden başarılı olma olasılığı ve B , seçilen öğrencinin Kimya dersinden başarılı olma olasılığı olsun. P(A)= 0,35 , P(B)= 0,60 ve P(A ? B) = 0,10 olmak üzere rasgele seçilen bir öğrencinin derslerden en az birinden geçme olasılığı nedir ? (A?B olayının olasılığı nedir ? )
|
0,93
|
|
0,85
|
|
0,70
|
|
0,50
|
|
0,25
|
-
- 1.SORU ÇÖZÜLMEDİ
- 2.SORU ÇÖZÜLMEDİ
- 3.SORU ÇÖZÜLMEDİ
- 4.SORU ÇÖZÜLMEDİ
- 5.SORU ÇÖZÜLMEDİ
- 6.SORU ÇÖZÜLMEDİ
- 7.SORU ÇÖZÜLMEDİ
- 8.SORU ÇÖZÜLMEDİ
- 9.SORU ÇÖZÜLMEDİ
- 10.SORU ÇÖZÜLMEDİ
- 11.SORU ÇÖZÜLMEDİ
- 12.SORU ÇÖZÜLMEDİ
- 13.SORU ÇÖZÜLMEDİ
- 14.SORU ÇÖZÜLMEDİ
- 15.SORU ÇÖZÜLMEDİ
- 16.SORU ÇÖZÜLMEDİ
- 17.SORU ÇÖZÜLMEDİ
- 18.SORU ÇÖZÜLMEDİ
- 19.SORU ÇÖZÜLMEDİ
- 20.SORU ÇÖZÜLMEDİ