İstatistik Final 18. Deneme Sınavı
Toplam 20 Soru1.Soru
Anlam düzeyi 0.10 olan bir hipotez sınamasında, I. tip hata yapma olasılığı kaçtır?
|
0.97
|
|
0.98
|
|
0.10
|
|
0.20
|
|
0.30
|
2.Soru
Aşağıdaki eşleştirmelerden hangisi doğrudur?
|
Nitel Nicel |
|
Nitel Nicel |
|
Nitel Nicel |
|
Nitel Nicel |
|
Nitel Nicel |
0,Nitel değişkenler ölçülemeyen gözlemlenen değişkenlerdir. Nicel değişkenler ise ölçülebilen değişkenlerdir. Saç rengi, medeni hal, cinsiyet gibi değişkenler nitel, uzunluk, ağırlık, yaş gibi değişkenler ise nicel değişkenlerdir.
3.Soru
Aşağıdakilerden hangisi/hangileri aritmetik ortalamanın özelliklerindendir?
- Gözlem değerlerinin aritmetik ortalamadan sapmalarının cebirsel toplamı sıfırdır.
- Aritmetik ortalamanın gözlem sayısı ile çarpımı gözlem değerleri toplamını verir.
- Aritmetik ortalama hesabında serideki tüm gözlem değerleri kullanılır.
|
I. ve II. |
|
I. ve III. |
|
II. ve III. |
|
I., II. ve III. |
|
Sadece III. |
Gözlem değerlerinin aritmetik ortalamadan sapmalarının cebirsel toplamı sıfırdır. Aritmetik ortalamanın gözlem sayısı ile çarpımı gözlem değerleri toplamını verir. Aritmetik ortalama hesabında serideki tüm gözlem değerleri kullanılır. Gözlem değerlerinin aritmetik ortalamadan olan sapmalarının kareleri toplamı minimumdur. Aritmetik ortalama iki veya daha çok kütleyi karşılaştırabilmek için çok yararlı bir ölçüdür. Alt ve/veya üst limiti belirsiz olan serilerde aritmetik ortalama hesaplanmaz.
4.Soru
Aşağıdaki ifadelerden hangisi nokta ve aralık tahminleme süreçleri için farklılık gösteren bir özelliktir?
|
Her iki tahminlemede de belirlenen güven düzeyi için uygulanır.
|
|
Her iki tahminlemede de örneklemler rassal seçilir.
|
|
Her iki tahminlemede de birim seçimi rassal yapılır.
|
|
Her iki tahminleme de hesaplanan istatistikler birer rassal değişkendir.
|
|
Her iki tahminlemede hesaplanan istatistiğin değeri rassal değişkenin aldığı bir değerdir.
|
5.Soru
Bir binom denemesinde deneme sayısı 6 ve tek bir denemede ilgilenilen sonucun gerçekleşme olasılığı 0,30 ise bu 6 denemede ilgilenilen sonuç sayısının 2 olma olasılığı kaçtır?
|
0,25 |
|
0,45 |
|
0,32 |
|
0,20 |
|
0,30 |
Binom dağılımında,
eşitliği ile olasılık elde edilir.
olarak hesaplanır.
6.Soru
....., zaman serisi gözlem değerlerinde uzun zaman dönemi içerisinde artma yada azalma yönündeki genel eğilimi gösterir.Boşluğa hangi tanım gelmelidir.
|
Frekans poligonu
|
|
Trend
|
|
Histogram
|
|
pasta grafiği
|
|
sütun grafiği
|
7.Soru
Nüfus sayımında bazı kişilerin sayılmamış olması veri derleme hatalarından hangisine örnek olarak verilebilir?
|
Standart hata
|
|
Zamanlama hatası
|
|
Rassal hata
|
|
Kapsam hatası
|
|
Vasıf hatası
|
8.Soru
Aşağıdakilerden hangisi beşeri veri derleme aracıdır?
|
Terazi |
|
Termometre |
|
Anket formları |
|
Anketör |
|
Mezura |
Veri derleme araçları maddi ve beşeri olmak üzere iki gruba ayrılır. Terazi, termometre, anket formları ve mezura gözlemlenecek birimlerin özelliklerini ölçmeye yarayan aletler maddi veri derleme araçlarını oluştururlar. Ancak veri derlemede birimleri ve özelliklerini ölçen kişiler derlemenin beşeri araçlarıdır. Anketör de bunlardan birisidir.
9.Soru
Rassal değişkenlerle ilgili aşağıdaki ifadelerden hangisi yanlıştır?
|
Rassal değişkenler, aldığı değerleri belli bir olasılık dahilinde alır.
|
|
Bir sınıftaki öğrenci sayısı ölçülebilir cinsten bir rassal değişkendir.
|
|
Kesikli bir rassal değişkenin aldığı değer, genellikle incelenen olaya konu olan birimlerin sayılması yoluyla belirlenir.
|
|
Bir sınıftaki öğrenci sayısı, kesikli rassal değişkenlere bir örnektir.
|
|
Sürekli rassal değişkenlerin aldığı değerler, sayma yoluyla elde edilemez.
|
10.Soru
Derlenen verilerin düzenlenmesi, tablo, grafik ve şekillerle gösterilmesi ve verilerin doğasında var olan özelliklerin profilinin çıkarılmasına ne ad verilir?
|
Betimleme
|
|
Örnekleme
|
|
Çözümleme
|
|
Yorumlama
|
|
Raporlama
|
11.Soru
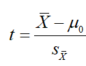
Eskişehir Fırıncılar Odası, Eskişehir ilinde Ramazan ayında üretilecek Ramazan pidelerinin 300 gr olmasına karar vermiştir. Ramazan ayında yapılan denetlemelerde A fırınından 26 adet pide rasgele olarak seçilmiş ve ağırlıklarının ortalaması 298 gr ve standart sapması 8 gr olarak hesaplanmıştır. 0,05 anlam düzeyinde A fırınındaki pidelerin ortalamalarının 300 gr’dan az olup olmadığı sınanmak istenmektedir. Bu sınamada test istatistiği kaçtır?
|
-2 |
|
-1,25 |
|
0 |
|
1,25 |
|
2 |
Burada n=26 ’dır. Küçük örneklem söz konusudur (n<30 olduğundan). Dolayısıyla hesaplanacak test istatistiği:
formülünden hesaplanır. Burada
Test istatistiği t=-1,25’dir.
12.Soru
Belirli bir olayın gerçekleşme olasılığının, eldeki mevcut bilgilere dayalı olarak belirlendiği olasılık yaklaşımına ne ad verilir?
|
Öznel olasılık
|
|
Nesnel olasılık
|
|
Deneme
|
|
Olay
|
|
Şans
|
13.Soru
Soru5: ilgilenilen bağımlı y ve bağımsız x değişkenleri için “y değerlerini tahmin ederken x bağımsız değişkeninin değerlerini bilmenin gerçekten faydası var mıdır?” sorusunun cevabını bulmak için yapılan testin adı nedir?
|
Ki-kare testi
|
|
Belirlilik testi
|
|
Anlamlılık testi
|
|
T testi
|
|
Z testi
|
14.Soru
Bir araştırmaya konu olan özelliğin sonuçları sayısal değere sahip değilse, araştırma değişkenine ne ad verilir?
|
Nitel değişken
|
|
Nicel değişken
|
|
Kesikli değişken
|
|
Sürekli değişken
|
|
İkili değişken
|
15.Soru
8 21 45 12 4 32 34 serisinini medyanı kaçtır?
|
12
|
|
21
|
|
32
|
|
34
|
|
45
|
16.Soru
Otomobil lastiği üreten bir fabrikada, ürünlerin ömrünü artırmak amacıyla bir kimyasal kullanılması planlanmaktadır. Bu amaçla uygulanacak kimyasalın etkisi sınanmak istenmektedir. Bu sınamada kurulacak alternatif hipotez nedir?
|
Yeni kimyasal lastiklerin ömrünü değiştirmez.
|
|
Yeni kimyasal lastiklerin ömrünü arttırır.
|
|
Yeni kimyasal lastiklerin ömrünü azaltır.
|
|
Yeni kimyasal lastik üretimini değiştirmez.
|
|
Yeni kimyasal lastik üretimini azaltır.
|
17.Soru
10,12,14,16,18 değerlerinden oluşan basit serinin aritmetik ortalaması kaçtır?
|
16
|
|
15
|
|
14
|
|
13
|
|
12.5
|
18.Soru
Rastgele seçilen 20 bebeğin boy uzunluğu ile anne karın çevresi arasındaki doğrusal regresyon denklemi; y=35,81+0,135x olarak verilmiştir. Bu bilgilere göre
Bebeğin boy uzunluğu y=50 ise x’in alacağı değer nedir?
|
y=100,1 |
|
y=98,56 |
|
y=101,7 |
|
y=117,4 |
|
y=105,1 |
y=35,81+0,135x ise
50=35,81-0,135x eşitliğinden y=105,1 olarak bulunur.
19.Soru
Bir para havaya atıldığında yazı veya tura gelmesi söz konusudur. Bu olayın sonucu kaç tanedir?
|
0
|
|
1
|
|
2
|
|
3
|
|
4
|
20.Soru
Rassal örneklem hacmi yeterli büyüklükteyse, evren dağılım şekli ne olursa olsun, evren ortalamasının örnekleme dağılımı hangi dağılıma uymaktadır?
|
Düzgün dağılım
|
|
Üssel dağılım
|
|
Normal dağılım
|
|
Binom dağılımı
|
|
t dağılımı
|
-
- 1.SORU ÇÖZÜLMEDİ
- 2.SORU ÇÖZÜLMEDİ
- 3.SORU ÇÖZÜLMEDİ
- 4.SORU ÇÖZÜLMEDİ
- 5.SORU ÇÖZÜLMEDİ
- 6.SORU ÇÖZÜLMEDİ
- 7.SORU ÇÖZÜLMEDİ
- 8.SORU ÇÖZÜLMEDİ
- 9.SORU ÇÖZÜLMEDİ
- 10.SORU ÇÖZÜLMEDİ
- 11.SORU ÇÖZÜLMEDİ
- 12.SORU ÇÖZÜLMEDİ
- 13.SORU ÇÖZÜLMEDİ
- 14.SORU ÇÖZÜLMEDİ
- 15.SORU ÇÖZÜLMEDİ
- 16.SORU ÇÖZÜLMEDİ
- 17.SORU ÇÖZÜLMEDİ
- 18.SORU ÇÖZÜLMEDİ
- 19.SORU ÇÖZÜLMEDİ
- 20.SORU ÇÖZÜLMEDİ