Matematik 1 Ara 22. Deneme Sınavı
Toplam 19 Soru1.Soru
işleminin sonucu kaçtır?
|
1 |
|
3 |
|
5 |
|
7 |
|
9 |
2.Soru
Aşağıdaki fonksiyonlardan hangisi 1-1 birebirdir?
|
|
|
|
|
|
|
|
|
|
Değer kümesindeki elemanlar görüntü kümesinde sadece bir elemanla eşleşiyor.
Diğer şıklardaki değer kümesindeki negatif ve pozittif aynı sayı görüntü kümesinde sayıya karşılık geldiğinden yanlıştır.
3.Soru
|
(-1,0) |
|
(1,0) |
|
(0,-1) |
|
(0,1) |
|
(-1,1) |
Bu parabol için (-b/2a)=-1 ve buradan x=-1 için y=0 olduğundan doğru cevap A şıkkıdır.
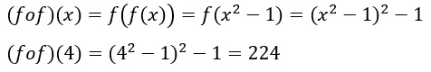
4.Soru
|
(-2, -11) |
|
(2, -11) |
|
(-2, 11) |
|
(-2, 11) |
|
(-2, -27) |
5.Soru
A = {1, 2, 3, 4, 5} kümesinin kaç tane alt kümesi vardır?
|
2
|
|
16
|
|
8
|
|
4
|
|
32
|
6.Soru
e değeri hanigi bilim adam tarafından bulunmuştur?
|
Einstein
|
|
Napier
|
|
Tesla
|
|
Gauss
|
|
Sokrat
|
9.Soru
Aşağıda verilen Venn şemasına göre, seçeneklerden hangisi doğrudur?
|
|
|
|
|
|
|
|
|
|
Venn şemasına göre A={1,2,3,4,5}, B={3,4,9,10} ve C={4,5,6,7,8}‘dir. O halde ,
,
şeklindedir.
olur.
10.Soru
9 büyüklüğündeki bir depremin genliği 7 büyüklüğündeki bir depremin genliğinden kaç kat büyüktür?
|
10 |
|
100 |
|
200 |
|
400 |
|
1500 |
9-7=2
10x10 =100
11.Soru
f(x)=|x|+4 ise f(-1)=?
|
1
|
|
2
|
|
3
|
|
4
|
|
5
|
12.Soru
f(x)=x^2 fonksiyonunun görüntü kümesi aşağıdakilerden hangisine eşittir?
|
Negatif olmayan reel sayılar
|
|
Negatif reel sayılar kümesi
|
|
Reel sayılar kümesi
|
|
Boş küme
|
|
Tamsayılar kümesi
|
13.Soru
Eğer
ise aşağıdakilerden hangisi her zaman doğrudur?
|
|
|
|
|
|
|
|
|
|
yani
olduğundan doğru cevap A’dır.
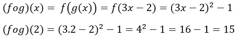
15.Soru
olduğuna göre f-1(x) aşağıdakilerden hangisidir?
|
|
|
|
|
|
|
|
|
yoktur. |
fonksiyonunda
f(x)=y=x-5
x ve y'nin yerleri değiştirildiğinde
x=y-5
y=x+5=f-1(x)
Doğru cevap B'dir.
17.Soru
Bir sınıfta İngilizce veya Almanca dillerinden sadece birini bilen 15 kişi, en az birini bilen 20 kişi, en çok birini bilen 18 kişi vardır. Buna göre sınıfta kaç kişi vardır?
|
20 |
|
21 |
|
22 |
|
23 |
|
24 |
Tüm sınıfı E ile İngilizce bilenlerin kümesini İ ile ve Almanca bilenlerin kümesini de A ile gösterelim. Sadece bir dili bilen 15 kişi olduğundan
olur. En az birini bilenler 20 kişi olduğuna göre
olur. En çok birini bilen 18 kişi olduğuna göre
olur. O halde elde edilir. Buradan sınıf mevcudu 20+3=23 olmalıdır.
18.Soru
y = 2x + 7 ve y = -2x - 7 doğrularının y-eksenini kestiği noktaların ordinatları toplamı aşağıdakilerden hangisidir?
|
-2 |
|
7 |
|
2 |
|
0 |
|
-7 |
y = 2x + 7 ve y = -2x - 7 doğrularının y-eksenini kestiği noktaları bulmak için, x=0 için y'nin aldığı değerleri hesaplamak gerekir. Buna göre x=0 olduğunda sırasıyla y=7 ve y=-7 olur. Böylece bu doğruların y eksenini kestiği noktalar (x=apsis, y=ordinat) olmak üzere sırasıyla (0, 7) ve (0, -7) olur. Soruda bu noktaların ordinatları toplamı sorulduğundan ordinatlar toplamı -7 + 7 = 0 olur. Doğru cevap D'dir.
-
- 1.SORU ÇÖZÜLMEDİ
- 2.SORU ÇÖZÜLMEDİ
- 3.SORU ÇÖZÜLMEDİ
- 4.SORU ÇÖZÜLMEDİ
- 5.SORU ÇÖZÜLMEDİ
- 6.SORU ÇÖZÜLMEDİ
- 7.SORU ÇÖZÜLMEDİ
- 8.SORU ÇÖZÜLMEDİ
- 9.SORU ÇÖZÜLMEDİ
- 10.SORU ÇÖZÜLMEDİ
- 11.SORU ÇÖZÜLMEDİ
- 12.SORU ÇÖZÜLMEDİ
- 13.SORU ÇÖZÜLMEDİ
- 14.SORU ÇÖZÜLMEDİ
- 15.SORU ÇÖZÜLMEDİ
- 16.SORU ÇÖZÜLMEDİ
- 17.SORU ÇÖZÜLMEDİ
- 18.SORU ÇÖZÜLMEDİ
- 19.SORU ÇÖZÜLMEDİ