Matematik 1 Final 1. Deneme Sınavı
Toplam 19 Soru1.Soru
x üretim miktarını göstermek üzere bir malın toplam maliyet fonksiyonu
C(x) = 2500+(x2-200x)/4
olarak verilmektedir. Maliyetin minimum olduğu üretim miktarı aşağıdakilerden hangisidir?
|
100 |
|
150 |
|
120 |
|
130 |
|
140 |
100
2.Soru
a,b,c birer rakam ve abc 3 basamaklı bir sayı olmak üzere, a’nın değeri değeri 2 arttırılıp, b’nin değeri 4 azaltılıp, c’nin değeri 5 arttırıldığında, abc sayısının değeri nasıl değişir?
|
245 azalır
|
|
165 artar
|
|
Değişmez
|
|
235 artar
|
|
245 atar
|
3.Soru
50 kişilik bir turist kafilesinde 30 kişi İngilizce, 25 kişi Fransızca, 10 kişi hem İngilizce hem de Fransızca konuşabiliyor. Buna göre kafilede ne İngilizce ne de Fransızca konuşamayan kaç kişi vardır?
|
5
|
|
6
|
|
7
|
|
8
|
|
9
|
4.Soru
Yarılanma ömrü 5 gün olan bir radyoaktif maddeden 400 gram vardır. 30 gün sonra bu maddeden kaç gram kalır?
|
6.25
|
|
6,5
|
|
12.5
|
|
7.5
|
|
15
|
5.Soru
Bir sınıftaki öğrenci mevcudunun %60'ı erkektir. Erkek öğrencilerin %60'ı, kız öğrencilerin ise %70'i Türkçe dersinden başarılıdır. Buna göre sınıfın Türkçe dersinden başarı oranı yüzde kaçtır?
|
48
|
|
64
|
|
60
|
|
72
|
|
84
|
6.Soru
fonksiyonun yerel minimum değeri aşağıdakilerden hangisidir?
|
0 |
|
2 |
|
7 |
|
9 |
|
12 |
Önce fonksiyonun türevini alıp kritik noktalarını bulalım.
dır. Türevin kökleri
dir. Bu değerleri ikinci türevde yerine yazalım.
olduğundan yerel maksimum noktasıdır.
olduğundan yerel minimum noktasıdır. Dolayısıyla cevap B seçeneğidir.
7.Soru
Bir fonksiyonun bir noktadaki anlık değişim hızına ne denir?
|
Türev
|
|
Süreklilik
|
|
İntegral
|
|
Limit
|
|
Logaritma
|
8.Soru
x mal miktarını göstermek üzere bir malın toplam maliyet fonksiyonu C(x)= 250 + (
– 62x) / 100 ‘dür. Buna göre maliyetin minimum olduğu üretim miktarı nedir?
|
25 |
|
30 |
|
33 |
|
31 |
|
32 |
C’(x)=(2x-62)/100 olup bu denklemi sıfıra eşitlerse x= 31 sonucunu elde ederiz. Doğru cevap D’dir.
9.Soru
Aylık olarak yayınlanan bir derginin haftalık sabit giderleri 14000 TL, birim değişken maliyet 0,125 TL ve derginin satış fiyatı da 4,5 TL ise bu derginin haftalık başa-baş satış miktarı nedir?
|
3200 |
|
3500 |
|
3800 |
|
4000 |
|
4200 |
Derginin sabit üretim giderleri a=14000 TL, birim değişken gideri v=0,125 TL ve derginin satış fiyatı p=4,5 TL olduğuna göre başa-baş satış miktarı
olur.
10.Soru
(1,3), (2,4), (3,4) ve (4,6) noktalarının regresyon doğrusu aşağıdakilerden hangisidir?
|
y=9/10 x+2 |
|
y=9/10 x+ 9/10 |
|
y=x+9/10 |
|
y=-9/10 x +1 |
|
y=2x -9/10 |
Aşağıdaki tabloyu oluşturalım:
g(a,b)=(a+b-3)2+(2a+b-4)2+ (3a+b-4)2+(4a+b-6)2
dersek, ga(a,b)=2.(a+b-3)+2.2.(2a+b-4)+2.3.(3a+b-4)+2.4.(4a+b-6) =60a+20b-94
gb(a,b)=2.(a+b-3)+2.(2a+b-4)+2.(3a+b-4)+2.(4a+b-6) =20a+8b-34
olur. ga(a,b)=0 ve gb(a,b)=0 denklemleri birlikte çözülecek olursa,
a=9/10 ve b=2 elde edilir. Buradan regresyon doğrusu y=9/10 x+2
elde edilir.
11.Soru
|
Reel sayılar |
|
2 sayısından oluşan küme |
|
Rasyonel sayılar |
|
Tamsayılar |
|
İrrasyonel sayılar |
Sabit fonksiyon tüm reel sayılar için tanımlıdır.
12.Soru
Bir beyaz eşya firmasının çamaşır makinesi üretim fonksiyonu, x haftalık işgücü saatini ve y(1000 TL birim) sermaye yatırım miktarını göstermek üzere
x=35 ve y=25 için işgücü marjinal verimliliği aşağıdakilerden hangisidir?
|
1200 |
|
1250 |
|
1300 |
|
1350 |
|
1400 |
olur. (x,y)=(35,25) için
olur.
13.Soru
f(x,y)=-x2+xy+4x-2y2+12y fonksiyonunun yerel maksimum noktası aşağıdakilerden hangisidir?
|
(4,4) |
|
(-4,4) |
|
(-4,-4) |
|
(4,-4) |
|
(2,-2) |
(4,4)
14.Soru
x mal miktarı olmak üzere bir malın gelir fonksiyonu R(x)=12x –
/10 ‘dur. Buna göre x=15 için marjinal gelir nedir?
|
9 |
|
10 |
|
2 |
|
30 |
|
12 |
Bunun için türev almamız gerekiyor. R’(x)=12-2x/10=12-x/5 olarak hesaplanır. x yerine 15 yazılırsa R’(15)=12-15/5=12-3=9 olarak elde edilir. Doğru cevap A’dır.
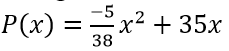
15.Soru
satış miktarını göstermek üzere bir malın toplam kâr fonksiyonu
ise kârın maksimum olduğu satış miktarı nedir?
|
130 |
|
131 |
|
132 |
|
133 |
|
134 |
Kârın maksimum olduğu satış miktarını bulmak için toplam kâr fonksiyonunun türevini alıp sıfıra eşitlemeliyiz.
16.Soru
aşağıdakilerden hangisidir?
|
|
|
|
|
1 |
|
|
|
|
olur. Doğru cevap A’dır.
17.Soru
matrisinin tersi aşağıdakilerden hangisidir?
|
|
|
|
|
|
|
|
|
|
Bir matrisin tersinin olabilmesi için o matrisin determinantının sıfırdan farklı olması gerekir. Önce A matrisinin determinantını hesaplayalım.
olduğu için tersi vardır.
olur. Doğru cevap E’dir.
18.Soru
Aşağıdakilerden hangisi yanlıştır?
|
|
|
|
|
|
|
|
|
|
-
- 1.SORU ÇÖZÜLMEDİ
- 2.SORU ÇÖZÜLMEDİ
- 3.SORU ÇÖZÜLMEDİ
- 4.SORU ÇÖZÜLMEDİ
- 5.SORU ÇÖZÜLMEDİ
- 6.SORU ÇÖZÜLMEDİ
- 7.SORU ÇÖZÜLMEDİ
- 8.SORU ÇÖZÜLMEDİ
- 9.SORU ÇÖZÜLMEDİ
- 10.SORU ÇÖZÜLMEDİ
- 11.SORU ÇÖZÜLMEDİ
- 12.SORU ÇÖZÜLMEDİ
- 13.SORU ÇÖZÜLMEDİ
- 14.SORU ÇÖZÜLMEDİ
- 15.SORU ÇÖZÜLMEDİ
- 16.SORU ÇÖZÜLMEDİ
- 17.SORU ÇÖZÜLMEDİ
- 18.SORU ÇÖZÜLMEDİ
- 19.SORU ÇÖZÜLMEDİ