Matematik 1 Final 12. Deneme Sınavı
Toplam 18 Soru1.Soru
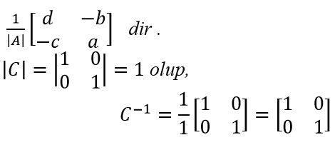
matrisinin tersi aşağıdakilerden hangisidir?
|
|
|
|
|
|
|
|
|
|
Matrisinin tersinin
olmak koşuluyla
olarak bulunur. Doğru cevap C seçeneğidir.
2.Soru
noktasındaki teğetinin eğimi kaçtır?
|
|
|
|
|
|
|
|
|
|
olur. Doğru cevap C’dir.
3.Soru
y = 2x + 3 doğrusuna paralel olan ve (1, 0) noktasından geçen doğrunun denklemi aşağıdakilerden hangisidir?
|
y = 2x-3
|
|
y = 2x-1
|
|
y = 2x-2
|
|
y = -2x+1
|
|
y = -2x+3
|
7.Soru
g(x,y) = 8x3 + 2x – y2 ise g (2,1) aşağıdakilerden hangisine eşittir?
|
67 |
|
68 |
|
60 |
|
69 |
|
71 |
x yerine 2, y yerine 1 yazılırsa, f(2,1)= 8x3 + 2x – y2 = 8.23 + 2.2 – 12 = 67 elde edilir. Doğru cevap A’dır.
8.Soru
lim(x3-8)/(x-2)=?
x→2
|
12 |
|
8 |
|
4 |
|
2 |
|
0 |
(x-2)(x2+2x+4)/(x-2)=(x2+2x+4) olu ve x=2 için 22+2∙2+4=12
9.Soru
Bir beyaz eşya firmasının çamaşır makinesi üretim fonksiyonu, x haftalık işgücü saatini ve y (1000 TL birim) sermaye yatırım miktarını göstermek üzere
x=35 ve y=25 için sermaye marjinal verimliliği aşağıdakilerden hangisidir?
|
2560 |
|
2660 |
|
2760 |
|
2860 |
|
2960 |
olur. (x,y)=(35,25) için
olur.
10.Soru
A = {a, b, c, d, e } olmak üzere, A’nın alt kümelerinden kaç tanesinde {a} bulunurken {e} bulunmaz?
|
2
|
|
4
|
|
5
|
|
8
|
|
16
|
11.Soru
Aşağıda verilen sayılardan hangisi ya da hangileri
sayısının eşitidir?
|
Sadece I. |
|
Sadece I. ve II. |
|
Sadece III. |
|
Sadece II. ve III. |
|
I, II ve III |
I, II, III
14.Soru
Fonksiyonları verilsin.
aşağıdakilerden hangisine eşittir?
|
5 |
|
4 |
|
1 |
|
-1 |
|
9 |
f^-1(x)=x+1
f^-1(g(1))=f^-1(4)=5
15.Soru
Aşağıdakilerden hangisi 22•23 işleminin sonucudur?
|
25 |
|
26 |
|
223 |
|
232 |
|
21 |
2(2+3) = 25
16.Soru
f(x,y) = 3x2 + 5y olmak üzere x = 2 alındığında f(x,y) = 37 ‘ye eşit oluyorsa y değeri aşağıdakilerden hangisine eşit olur?
|
3 |
|
4 |
|
5 |
|
1 |
|
6 |
x yerine 2 yazılırsa, f(2,y)= 3.22 + 5y =3.4y + 5y = 37 ‘ eşit ise buradan y=5 olarak elde edilir. Doğru cevap C’dir.
17.Soru
f(x)=I-xI fonksiyonunun görüntü kümesi nedir?
|
Pozitif reel sayılar kümesi
|
|
Negatif reel sayılar kümesi
|
|
Boş küme
|
|
Reel sayılar kümesi
|
|
Tamsayılar kümesi
|
18.Soru
f(x) = 2x - 3 ise fofof(3) ne olur?
|
5
|
|
8
|
|
-2
|
|
1
|
|
3
|
-
- 1.SORU ÇÖZÜLMEDİ
- 2.SORU ÇÖZÜLMEDİ
- 3.SORU ÇÖZÜLMEDİ
- 4.SORU ÇÖZÜLMEDİ
- 5.SORU ÇÖZÜLMEDİ
- 6.SORU ÇÖZÜLMEDİ
- 7.SORU ÇÖZÜLMEDİ
- 8.SORU ÇÖZÜLMEDİ
- 9.SORU ÇÖZÜLMEDİ
- 10.SORU ÇÖZÜLMEDİ
- 11.SORU ÇÖZÜLMEDİ
- 12.SORU ÇÖZÜLMEDİ
- 13.SORU ÇÖZÜLMEDİ
- 14.SORU ÇÖZÜLMEDİ
- 15.SORU ÇÖZÜLMEDİ
- 16.SORU ÇÖZÜLMEDİ
- 17.SORU ÇÖZÜLMEDİ
- 18.SORU ÇÖZÜLMEDİ