Matematik 1 Final 13. Deneme Sınavı
Toplam 18 Soru1.Soru
Verilen fonksiyon için
kaçtır?
|
2 |
|
6 |
|
12 |
|
4 |
|
-2 |
2.Soru
fonksiyonunun artan olduğu en geniş aralık aşağıdakilerden hangisidir?
|
|
|
|
|
|
|
|
|
|
Fonksiyonun artan olduğu aralığı bulabilmek için türevini alıp fonksiyonun işaretinin pozitif olduğu kümeyi bulmalıyız.
fonksiyonu her pozitif gerçel sayısı için pozitif olacağından doğru cevap B’dir.
3.Soru
Bir fonksiyonda herhangi iki a ve b değeri için, eğer a
artan fonksiyondur.
azalan fonksiyondur.
üstel fonksiyondur.
sabit fonksiyondur.
doğrusal fonksiyondur.
Yanıt Açıklaması:
herhangi iki a ve b değeri için, eğer a
|
artan fonksiyondur.
|
|
azalan fonksiyondur.
|
|
üstel fonksiyondur.
|
|
sabit fonksiyondur.
|
|
doğrusal fonksiyondur.
|
4.Soru
aşağıdakilerden hangisine eşittir?
|
1 |
|
2 |
|
4 |
|
8 |
|
16 |
x yerine 2, y yerine 1, z yerine 0 yazılırsa,
olur. Dolayısıyla cevap D seçeneğidir.
5.Soru
f(x)=2x3+mx2 fonksiyonunun x=1 noktasındaki teğet doğrusunun eğimi 8 ise m katsayısı aşağıdakilerden hangisidir?
|
0 |
|
-1 |
|
1 |
|
2 |
|
-2 |
m katsayısını bulabilmek için f'(1)=8 denklemini çözmeliyiz. f'(1)=(6x2+2mx)|x=1 =6+2m=8 buradan m=1 olur.
7.Soru
2000 kişinin yaşadığı bir kasabada nüfus her yıl
artmaktadır. Aşağıdakilerden hangisi şehrin 4 yıl sonraki nüfusunu verir?
|
|
|
|
|
|
|
|
|
|
olarak elde edilir. Doğru cevap E seçeneğidir.
8.Soru
f (x,y) = x^3 - y^3 ise 2f(1,0) + 3f(0,1) ifadesinin değeri aşağıdakilerden hangisidir?
|
-1
|
|
-2
|
|
-3
|
|
-4
|
|
-5
|
9.Soru
Toplam maliyetin toplam gelire eşit olduğu noktaya verilen ad aşağıdakilerden hangisidir?
|
Denge noktası |
|
Piyasa noktası |
|
Başa-baş noktası |
|
Arz noktası |
|
Talep noktası |
Toplam maliyetin toplam gelire eşit olduğu noktaya başa-baş noktası denir.
11.Soru
Sezyum 137 izotopunun yarılanma ömrü 30 sene olduğuna göre bir kilogram izotopun kütlesinin 100 gr’ın altına inmesi için kaç sene geçmelidir?
|
99,6
|
|
235,1
|
|
196,41
|
|
134,5
|
|
272,66
|
12.Soru
aşağıdakilerden hangisine eşittir?
|
e-10 |
|
e-5 |
|
e |
|
e+5 |
|
e+10 |
y sabit olarak düşünülüp x’e göre türev alınırsa,
olarak bulunur. x ve y yerine 1 yazılırsa,
Dolayısıyla cevap D seçeneğidir.
13.Soru
|
4 |
|
3 |
|
2 |
|
-2 |
|
5 |
Polinomun derecesi 3 tür.
14.Soru
f(x,y)=y2-2x2+5xy ise fy(1,1) aşağıdakilerden hangisidir?
|
5 |
|
-5 |
|
0 |
|
2 |
|
-2 |
5
16.Soru
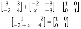
olsun. A+B=I2 ise x ne olmalıdır?
|
1 |
|
2 |
|
3 |
|
4 |
|
5 |
A+B=I2 ise
İki matrisin eşitliğinden -2+x=0 dolayısıyla x=2 olarak elde edilir.
17.Soru
Belirli bir noktadan sonra girdi miktarındaki artışa karşılık çıktı miktarındaki artış durur ve azalmaya başlar. Üretim fonksiyonunun bu davranışına verilen ad aşağıdakilerden hangisidir?
|
Azalan marjinal verimler kanunu |
|
Lagrange çarpanı kanunu |
|
Başabaş kanunu |
|
Arz kanunu |
|
Talep kanunu |
Bir girdinin miktarı artarken, diğer girdilerin değerleri sabit olmak üzere, toplam çıktının değeri de artmaktadır. Belirli bir noktadan sonra girdi miktarındaki artışa karşılık çıktı miktarındaki artış durur ve azalmaya başlar. Üretim fonksiyonunun bu davranışına iktisatta azalan marjinal verimler kanunu denir.
18.Soru
Yandaki arz ve talep doğrularına göre denge noktasının
değeri kaçtır?
|
|
|
|
|
|
|
|
|
|
Mavi çizgi ile gösterilen denklemde
olarak yazabiliriz.
biçimindeki bir doğrunun eğimi
Kırmızı çizgi ile gösterilen denklemde
olarak yazabiliriz.
Her iki denklemde
değerlerini birbirlerine eşitlersek
olur. Birinci deklemde
değerini yerine yazarsak
değeri
olur. Dolayısıyla cevap A seçeneği olur.
-
- 1.SORU ÇÖZÜLMEDİ
- 2.SORU ÇÖZÜLMEDİ
- 3.SORU ÇÖZÜLMEDİ
- 4.SORU ÇÖZÜLMEDİ
- 5.SORU ÇÖZÜLMEDİ
- 6.SORU ÇÖZÜLMEDİ
- 7.SORU ÇÖZÜLMEDİ
- 8.SORU ÇÖZÜLMEDİ
- 9.SORU ÇÖZÜLMEDİ
- 10.SORU ÇÖZÜLMEDİ
- 11.SORU ÇÖZÜLMEDİ
- 12.SORU ÇÖZÜLMEDİ
- 13.SORU ÇÖZÜLMEDİ
- 14.SORU ÇÖZÜLMEDİ
- 15.SORU ÇÖZÜLMEDİ
- 16.SORU ÇÖZÜLMEDİ
- 17.SORU ÇÖZÜLMEDİ
- 18.SORU ÇÖZÜLMEDİ