Matematik 1 Final 20. Deneme Sınavı
Toplam 20 Soru1.Soru
Verilen talep fonksiyonlarından hangisinde p=40 için fiyattaki değişim talep miktarından aynı oranda değişime yol açmaktadır?
|
q=f(p) = 400 - 5p
|
|
q=f(p) = 300 - 4p
|
|
q=f(p) = 160 - 4p
|
|
q=f(p) = 200 - 5p
|
|
q=f(p) = 250 - 5p
|
2.Soru
A=[1 2;3 4;5 6] ve B=[1 3 5;2 4 6] ise A x B işleminin sonucu aşağıdakilerden hangisidir?
|
[5 11 17;11 25 39;17 39 61] |
|
[1 9 15;4 16 36;2 12 30] |
|
[16 36 24;4 2 15;2 12 30] |
|
[61 39 5;17 25 17;11 5 5] |
|
[30 2 10;24 2 2;15 12 16] |
[5 11 17;11 25 39;17 39 61]
4.Soru
g(x,y)=xy+2x+y2 ise g(2,2) aşağıdakilerden hangisidir?
|
12 |
|
8 |
|
16 |
|
10 |
|
14 |
12
5.Soru
Bir ürünün haftalık x biriminin üretim toplam maliyeti
fonksiyonudur. Bu ürünün talep fonksiyonu da
olduğuna göre maksimum kar ne kadar olur?
|
5441,5 |
|
5651,5 |
|
5821,5 |
|
6226,5 |
|
6434,5 |
Toplam kar fonksiyonu:
olduğuna göre, marjinal gelirin marjinal maliyete eşit olduğu nokta,
fonksiyonunun mutlak maksimum noktası olur.
için kar maksimum olduğuna göre maksimum kar değerini bulmak için, kar fonksiyonunda
değerini verelim. Maksimum kar.
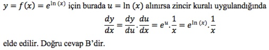
bulunur. Dolayısıyla cevap A seçeneğidir.
7.Soru
Aşağıdaki kümelerden hangisi diğerlerinden farklıdır?
|
{T,A,P,İ,R}
|
|
{P,A,T,İ,K}
|
|
{T,A,K,İ,P}
|
|
{K,A,T,İ,P}
|
|
{K,İ,T,A,P}
|
8.Soru
ise k değeri aşağıdakilerden hangisidir?
|
2 |
|
-1/2 |
|
-2 |
|
1/2 |
|
0 |
Sarrus kuralına göre 4k=(3.1.2+1.1.5+0)-(5.1.1+3.1.0+2.4.1)=11-13=-2, k=-1/2 olur.
9.Soru
3x + y = 6 ve x + 2y = 7 ise y kaçtır?
|
1 |
|
2 |
|
3 |
|
4 |
|
5 |
3x + y = 6
x + 2y = 7
2/ 3x + y = 6
-1/ x + 2y = 7
6x + 2y = 12
-x - 2y = -7
5x = 5
x = 1
3.1 + y = 6
y = 6 - 3
y = 3
10.Soru
Etin kilogram 45 TL olduğunda evine ayda 4 kg et alan Ahmet Bey, etin kilogramı 35 TL olduğunda evine ayda 6 kg et alıyor. Bu alışverişi ifade eden fiyat-talep doğrusunun denklemi aşağıdakilerden hangisi olur?
|
-4x+32 |
|
-4x+77 |
|
-8x+32 |
|
-8x+77 |
|
-6x+32 |
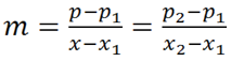
Bu iki noktayı (x1,p1)=(4,46) ve (x2,p2)=(6,30) olarak yazabiliriz. p=mx+b biçimindeki fiyat talep doğrusunun eğimi
ile hesaplanır.
ise 2p-90=-16x+64 olur. Buradan p=-8x+77 denklemi bulunur.
11.Soru
f(x,y) = e3xy fonksiyonu verilmiştir. Buna göre fy (0,2) değeri aşağıdakilerden hangisidir?
|
1
|
|
6
|
|
4
|
|
5
|
|
7
|
12.Soru
y=2-x ve 2y=-1-3x doğrularının kesişim noktaları aşağıdakilerden hangisidir?
|
(-5,7) |
|
(5,7) |
|
(-5,-7) |
|
(5,-7) |
|
(5,-5) |
(-5,7)
13.Soru
f(x, y, z) = 3x + 7y – 2z + xyz fonksiyonu kaç değişkenli bir fonksiyondur?
|
1
|
|
2
|
|
3
|
|
4
|
|
5
|
14.Soru
Bir f(x) polinomunu 0 yapan x değerlerine ne ad verilir?
|
Kök
|
|
Maksimum
|
|
Minimum
|
|
Medyan
|
|
Etkisiz değer
|
15.Soru
Aşağıdaki sayılardan hangisi irrasyonel bir sayıdır?
|
|
|
|
|
|
|
|
|
-3 |
a şıkkındaki sayı devirli bir sayı, b şıkkındaki sayı karesi 4 olan pozitif sayı, d şıkkındaki sayı rasyonel sayı ve e şıkkındaki negatif tamsayıdır. c şıkkı ise karesi 3 olan sayıyı gösterir ki bu rasyonel yada tamsayı olan bir sayı değildir.
16.Soru
g(x,y) = 2y6 + 7y – 3xy ise gyy(x,y) aşağıdakilerden hangisine eşittir?
|
12y5 |
|
7 – 3x |
|
12y5 + 7 – 3x |
|
60y4 |
|
40y4 |
gy(x,y) = 12y5 + 7 – 3x tekrar y’ye göre türev alınırsa gyy(x,y) = 60y4 elde edilir. Doğru cevap D’dir.
17.Soru
Fonksiyonu veriliyor.
aşağıdakilerden hangisidir?
|
1 |
|
-4 |
|
2 |
|
-2 |
|
-1 |
18.Soru
x miktarı ve p de fiyatı göstermek üzere bir malın arz denklemi p=2x+10 ve talep denklemi p=-3x+45 olarak verilsin. Buna göre denge noktası nedir?
|
(7,32)
|
|
(11,32)
|
|
(7,24)
|
|
(11,24)
|
|
(11,36)
|
19.Soru
f(x)=x^2+3x-7 fonksiyonunun x=4 noktasındaki teğetinin eğimi kaçtır?
|
-7
|
|
0
|
|
3
|
|
11
|
|
12
|
20.Soru
,
B=[2 2 2] ise BA aşağıdakilerden hangisidir?
|
[2] |
|
[6] |
|
[8] |
|
[12] |
|
[16] |
olarak elde edilir.
-
- 1.SORU ÇÖZÜLMEDİ
- 2.SORU ÇÖZÜLMEDİ
- 3.SORU ÇÖZÜLMEDİ
- 4.SORU ÇÖZÜLMEDİ
- 5.SORU ÇÖZÜLMEDİ
- 6.SORU ÇÖZÜLMEDİ
- 7.SORU ÇÖZÜLMEDİ
- 8.SORU ÇÖZÜLMEDİ
- 9.SORU ÇÖZÜLMEDİ
- 10.SORU ÇÖZÜLMEDİ
- 11.SORU ÇÖZÜLMEDİ
- 12.SORU ÇÖZÜLMEDİ
- 13.SORU ÇÖZÜLMEDİ
- 14.SORU ÇÖZÜLMEDİ
- 15.SORU ÇÖZÜLMEDİ
- 16.SORU ÇÖZÜLMEDİ
- 17.SORU ÇÖZÜLMEDİ
- 18.SORU ÇÖZÜLMEDİ
- 19.SORU ÇÖZÜLMEDİ
- 20.SORU ÇÖZÜLMEDİ