Matematik 1 Final 21. Deneme Sınavı
Toplam 19 Soru1.Soru
y = 3x + m ve y = 2x + 4 doğruları x-eksenini aynı noktada kestiğine göre m kaçtır?
|
6 |
|
-2 |
|
2 |
|
-6 |
|
0 |
İlk olarak y = 2x + 4 doğrusunun x eksenini hangi noktada kestiğini bulalım. O halde y = 0 noktası için,
2x + 4 = 0
2x = -4
x = -2 olarak bulunur. Öyleyse, y = 2x + 4 doğrusunun x eksenini kestiği nokta (-2, 0) dır.
y = 3x + m doğrusu da y eksenini aynı noktada kestiğinden, bu nokta bu doğruyu sağlamalıdır.
0 = 3 (-2) + m
0 = -6 + m
m = 6 olarak bulunur. Doğru cevap A'dır.
2.Soru
|
|
|
(-3,3) |
|
Fonksiyonun azalan olduğu aralık yoktur. |
|
Tüm reel sayılar kümesinde azalandır. |
|
|
3.Soru
Aşağıdaki doğrulardan hangisi y = -5 - 6x doğrusuna paraleldir?
|
y = 6x + 5 |
|
y = -4 - 3x |
|
y = x + 5 |
|
y = 2x + 4 |
|
y = 3 - 6x |
Doğruların eğimlerinin eşit olabilmesi için eğimlerinin eşit olması gerekir. y=-5-6x doğrusunun eğimi x'in katsayısı olan -6'dır. Şıklarda verilen doğrulardan eğimi -6 olan sadece y = 3 - 6x doğrusudur. Doğru cevap E'dir.
4.Soru
y=3x+1 ve 2y=6x+2 doğruları kaç noktada kesişirler?
|
Sonsuz noktada
|
|
Kesişmezler
|
|
Bir noktada
|
|
İki noktada
|
|
Üç noktada
|
5.Soru
f(x)=(x2+x)e-x ise f'(1) kaçtır?
|
e |
|
1/e |
|
e2 |
|
0 |
|
1 |
Çarpımın türevi kuralından f'(x)=(2x+1)e-x-(x2+x).e-x olur. x=1 deki değeri f'(1)=(2.1+1)e-1-(12+1).e-1=1/e olarak elde edilir.
6.Soru
f(x)=x(x+1) fonksiyonunun x=1 apsisli noktasındaki teğetinin eğimi kaçtır?
|
2
|
|
3
|
|
4
|
|
5
|
|
6
|
7.Soru
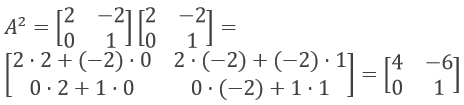
ise A2 matrisi aşağıdakilerden hangisidir?
|
|
|
|
|
|
|
|
|
|
8.Soru
|2 4;a 8|=4 ise aşağıdakilerden hangisi a değeridir?
|
3 |
|
2 |
|
4 |
|
5 |
|
6 |
3
9.Soru
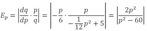
p fiyatı ve q miktarı göstermek üzere, bir malın talep fonksiyonu q=f(p)=-1/12 p2+5 olarak veriliyor. Fiyat p=6 birim için talebin fiyat esnekliği aşağıdakilerden hangisidir?
|
1 |
|
2 |
|
3 |
|
4 |
|
5 |
Talebin fiyat esnekliği
şeklinde tanımlanır.
olduğundan
elde edilir. p yerine 6 yazılırsa, Ep=3 olur.
10.Soru
x miktarı ve p fiyatı göstermek üzere bir malın arz ve talep denklemleri
p=0.5x+100 ve p=200-(2/3)x
olarak verilmektedir. Denge noktası aşağıdakilerden hangisidir?
|
(120,160) |
|
(160,120) |
|
(120,100) |
|
(100,120) |
|
(120,120) |
(120,160)
11.Soru
g(x,y)=x3y2-3xy2+5x olarak veriliyor. gxy(2,3)=?
|
90 |
|
54 |
|
30 |
|
24 |
|
8 |
g(x,y)=x3y2-3xy2+5x olarak verilmiş. İstene değer fonksiyonun önce x değişkenine göre türevini almamız. Sonrada bulduğumuz değerin y değişkenine göre türevini alarak gxy(x,y) türev fonksiyonu bulunur.
gx(x,y)=3x2y2-3y2+5
gxy(x,y)=6x2y-6y
İstenen değerler bu fonksiyonda yerine yazılarak sonuca ulaşılır.
gxy(2,3)=6.22.3-6.3 = 6.4.3-18=72-18=54
Doğru cevap B şıkkıdır.
12.Soru
f(x)=x+3 ve g(x)=x-2 olduğuna göre fog(x) nedir?
|
fog(x)=x+1
|
|
fog(x)=x-1
|
|
fog(x)=x+2
|
|
fog(x)=x+3
|
|
fog(x)=x-2
|
13.Soru
f(x)=x+ln(e^x)+2 ise f'(x)=?
|
1
|
|
2
|
|
e^x
|
|
2x
|
|
1/x
|
14.Soru
Bir malın sabit üretim gideri 25000 lira, birim değişken gideri 4 lira ve malın satış fiyatı 20 lira olduğuna başa-baş noktası aşağıdakilerden hangisidir?
|
1562.5
|
|
1125.5
|
|
900
|
|
1362.5
|
|
1100
|
15.Soru
de miktarı göstermek üzere bir malın arz denklemi
ve talep denklemi
olarak verilsin. Denge noktası aşağıdakilerden hangisi olur?
|
|
|
|
|
|
|
|
|
|
Talep edilen mal miktarıyla arz edilen miktarın eşit olduğu noktaya denge noktası denir. Buna göre denge noktasını bulabilmek için arz ve talep denklemleri ortak çözülmelidir. Buradan,
denkleminden
elde edilir. Denklemlerden herhangi birinde
olur. Doğru cevap B’dir.
16.Soru
Aşağıdaki sayılardan hangisi en büyüktür?
|
|
|
|
|
|
|
|
|
|
Verilen sayılara tek tek bakalım.
olarak bulunur. Buna göre doğru cevap D seçeneğidir.
17.Soru
50 kişilik bir sınıfta 30 kişi bilim uygulamaları seçmeli dersini, 25 kişi basketbol seçmeli dersini, 15 kişi her iki dersi almaktadır. Sınıfta her iki seçmeli dersi de almayan kaç öğrenci vardır?
|
10
|
|
15
|
|
5
|
|
20
|
|
40
|
18.Soru
f(x,y) = In(x2 + y2) fonksiyonu verilmiştir. Buna göre fy (1,1) değeri aşağıdakilerden hangisidir?
|
0,69
|
|
2,21
|
|
3,43
|
|
4,62
|
|
5,89
|
19.Soru
Richter ölçeğine göre 6,9 büyüklüğündeki bir depremin genliği, 4,9 büyüklüğündeki depremin genliğinden kaç kat büyüktür?
|
2 |
|
4 |
|
10 |
|
100 |
|
1000 |
Richter büyüklüğünün bir birim artmasında depremin genliği 10 kat artar. Dolayısıyla Richter büyüklüğünün 2 birim artması genliğin 10.10 kat yani 100 kat artması demektir.
-
- 1.SORU ÇÖZÜLMEDİ
- 2.SORU ÇÖZÜLMEDİ
- 3.SORU ÇÖZÜLMEDİ
- 4.SORU ÇÖZÜLMEDİ
- 5.SORU ÇÖZÜLMEDİ
- 6.SORU ÇÖZÜLMEDİ
- 7.SORU ÇÖZÜLMEDİ
- 8.SORU ÇÖZÜLMEDİ
- 9.SORU ÇÖZÜLMEDİ
- 10.SORU ÇÖZÜLMEDİ
- 11.SORU ÇÖZÜLMEDİ
- 12.SORU ÇÖZÜLMEDİ
- 13.SORU ÇÖZÜLMEDİ
- 14.SORU ÇÖZÜLMEDİ
- 15.SORU ÇÖZÜLMEDİ
- 16.SORU ÇÖZÜLMEDİ
- 17.SORU ÇÖZÜLMEDİ
- 18.SORU ÇÖZÜLMEDİ
- 19.SORU ÇÖZÜLMEDİ