Matematik 1 Final 22. Deneme Sınavı
Toplam 19 Soru1.Soru
Verilen limit işleminin sonucu aşağıdakilerden hangisidir?
|
2 |
|
0 |
|
5 |
|
6 |
|
3 |
2.Soru
log a=3 , log b= 2 ise log 60 =?
|
2a+b |
|
a+2 |
|
a.b+1 |
|
a+b_2 |
|
a+b+1 |
log 60 = log(3.2.10) = log 3+ log 2 + log !0
= a +b +1
4.Soru
f(x,y) = 4x2 + 2y2 + 2xy – 10y – 19x fonksiyonun kritik noktası aşağıdakilerden hangisidir?
|
(-2,14/4) |
|
(-2,14) |
|
(14/4,2) |
|
(14/4,-2) |
|
(14,-2) |
fx(x,y) = 8x+ 2y -19 ve fy(x,y)=4y + 2x -10 olduğundan bu iki türevin sıfıra eşir olduğu noktaları bulmalıyız. Bu durumda 8x+ 2y -19=0 ve 4y + 2x -10=0 iki denklemin çözümünden x=-2 bulunur.Bu değeri yerine yazarsak y değeri=14/4 olarak elde edilir. Doğru cevap A’dır.
5.Soru
olduğuna göre f(3)-f(1) kaçtır?
|
1 |
|
2 |
|
3 |
|
4 |
|
5 |
f(3)=32-(2.3)+5=8
f(1)=12-(2.1)+5=4
f(3)-f(1)=8-4=4
Doğru cevap D'dir.
6.Soru
matrisi verilsin. A matrisinin determinantının 26 olması için sayısı ne olmalıdır?
|
4 |
|
5 |
|
6 |
|
7 |
|
8 |
A matrisinin determinantı
olarak verilmiştir. Verilen matrisin determinantı hesaplanırsa
denklemi elde edilir. Bu denklem çözülürse m=5 bulunur.
7.Soru
A=⎨a,b,c⎬ ve B=⎨b,c⎬olmak üzere bu iki kümenin arakesit kümesi aşağıdakilerden hangisine eşittir?
|
B
|
|
⎨a⎬
|
|
⎨a,b,c⎬
|
|
⎨b⎬
|
|
⎨a,c⎬
|
8.Soru
x üretim miktarını göstermek üzere bir malın toplam maliyet fonksiyonu C(x)=15x+300 olarak verilmektedir. Bu ürüne ait talep fonksiyonu P=150-2x olduğuna göre maksimum kâr aşağıdakilerden hangisidir?
|
1950 |
|
2150 |
|
2000 |
|
1750 |
|
1875 |
1950
9.Soru
Aşağıdakilerden hangisi kare matrisin tanımıdır?
|
Satır sayısı sütun sayısına eşit olan matrislerdir.
|
|
Köşegendeki elemanları 1 diğerleri 0 olan matristir.
|
|
Tüm elemanları 0 olan matristir.
|
|
Tüm elemanları bir sayının karesi olan matrislerdir.
|
|
Tüm elemanları 1 olan matristir.
|
10.Soru
olmak üzere,
fonksiyonu veriliyor. Bu fonksiyonun görüntü kümesi aşağıdakilerden hangisidir?
|
|
|
|
|
|
|
|
|
|
Bir fonksiyonun görüntü kümesi,
dır. Buna göre,
den,
olur.
11.Soru
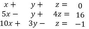
Sistemin çözümü aşağıdakilerden hangisidir?
|
|
|
|
|
|
|
|
|
|
olduğundan denklem sistemini Gramer yöntemi ile çözebiliriz.
bilinmeyenlerine karşılık gelen matrisleri sırasıyla
bulunur. Bu nedenle doğru cevap E seçeneğidir.
12.Soru
Diğer değişkenler sabit olduğunda, belirli zaman aralığında piyasa üreticilerin değişik fiyat düzeylerinde satmaya hazır oldukları mal veya hizmet miktarına verilen ad aşağıdakilerden hangisidir?
|
Talep |
|
Arz |
|
Talep kanunu |
|
Arz kanunu |
|
Başabaş noktası |
Diğer değişkenler sabit olduğunda, belirli zaman aralığında piyasa üreticilerin değişik fiyat düzeylerinde satmaya hazır oldukları mal veya hizmet miktarına arz denir.
14.Soru
Aşağıdaki şekilde A, B ve C kümeleri görülmektedir. Buna göre s(A/(BUC)) aşağıdakilerden hangisidir?
|
5 |
|
4 |
|
3 |
|
2 |
|
1 |
A/(BUC) = {1,2}'dir. Dolayısıyla s(A/(BUC)) = 2 olur. Cevap D seçeneğidir.
15.Soru
Bir beyaz eşya firması piyasa fiyatı 800 TL olduğunda, piyasaya 100 adet çamaşır makinesi sürüyor. Fiyat 900 TL olduğunda piyasaya 120 adet çamaşır makinesi sürüyor. Bu firma, fiyatı kaç TL olduğunda piyasaya 150 adet çamaşır makinesi sürer?
|
1000 TL |
|
1030 TL |
|
1050 TL |
|
1080 TL |
|
1100 TL |
Bu iki noktayı
olarak yazabiliriz.
biçimindeki arz doğrusunun eğimi
denklemi bulunur. Denklemde
yerine 150 yazılırsa 1050 TL bulunur. Dolayısıyla cevap D seçeneğidir.
16.Soru
doğrularının kesişim noktası aşağıdakilerden hangisidir?
|
|
|
|
|
|
|
|
|
|
doğrularının oluşturduğu denklem sistemi
biçimindedir. Denklem sisteminde taraf tarafa toplanırsa
olur. Bu değeri iki denklemden herhangi birinde yerine yazılırsa
değeri hesaplanır.
Birinci denklemde yerine -2 yazalım.
denkleminden
elde edilir. O halde verilen doğruların kesişim noktası
olur. Doğru cevap A’dır.
17.Soru
Aşağıdaki sayılardan hangisi en küçüktür?
|
log3 27
|
|
log5 625
|
|
log 100
|
|
log4 16
|
|
log6 216
|
19.Soru
fonksiyonu
noktasında sürekli ve
olduğuna göre
kaçtır?
|
16 |
|
14 |
|
11 |
|
10 |
|
9 |
lim┬(x→2)〖4x^2-ax+6〗=16-2a+6=4 olup buradan 22-2a=4, 18=2a dan a=9 olarak bulunur.
Doğru cevap E seçeneğidir.
-
- 1.SORU ÇÖZÜLMEDİ
- 2.SORU ÇÖZÜLMEDİ
- 3.SORU ÇÖZÜLMEDİ
- 4.SORU ÇÖZÜLMEDİ
- 5.SORU ÇÖZÜLMEDİ
- 6.SORU ÇÖZÜLMEDİ
- 7.SORU ÇÖZÜLMEDİ
- 8.SORU ÇÖZÜLMEDİ
- 9.SORU ÇÖZÜLMEDİ
- 10.SORU ÇÖZÜLMEDİ
- 11.SORU ÇÖZÜLMEDİ
- 12.SORU ÇÖZÜLMEDİ
- 13.SORU ÇÖZÜLMEDİ
- 14.SORU ÇÖZÜLMEDİ
- 15.SORU ÇÖZÜLMEDİ
- 16.SORU ÇÖZÜLMEDİ
- 17.SORU ÇÖZÜLMEDİ
- 18.SORU ÇÖZÜLMEDİ
- 19.SORU ÇÖZÜLMEDİ