Matematik 1 Final 27. Deneme Sınavı
Toplam 20 Soru2.Soru
Bir girdinin miktarı artarken, diğer girdilerin değerleri sabit olmak üzere, toplam çıktının değeri de artmaktadır. Belirli bir noktadan sonra ise girdi miktarındaki artışa karşılık çıktı miktarındaki artış durur ve azalmaya başlar. Üretim fonksiyonunun bu davranışına ne denir.
|
Arz kanunu
|
|
Azalan marjinal verimler kanunu
|
|
Talep kanunu
|
|
Piyasa dengesi
|
|
Başa-baş analiz
|
3.Soru
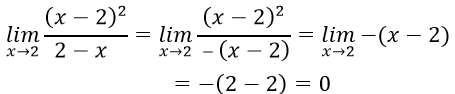
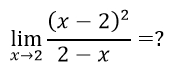
|
|
|
|
|
|
|
|
|
|
Verilen rasyonel sayıların paydaları eşitlenirse payı büyük olan sayı büyük olacağından sıralama aşağıdaki gibi olacaktır.
4.Soru
Eğer
|
|
|
|
|
|
|
|
|
|
sabit olarak düşünülüp
göre türev alınırsa,
olur. Doğru cevap A’dır.
5.Soru
f(x)=x+a ve f(1)=3 ise a=?
|
2
|
|
3
|
|
4
|
|
5
|
|
6
|
6.Soru
Aşağıda grafiği verilen f fonksiyonu için aşağıdakilerden hangisi doğrudur?
|
A noktası fonksiyonun tek yerel maksimum noktasıdır. |
|
B noktası mutlak minimum noktasıdır, yerel minimum noktası değildir. |
|
C noktası mutlak maksimum noktasıdır. |
|
D noktası yerel minimum noktasıdır. |
|
Fonksiyonun (a, b) aralığında türevlenebilirliği hakkında bir şey söylenemez. |
Grafiği verilen f fonksiyonunda A noktası yerel maksimum ve aynı zamanda mutlak maksimum noktasıdır; B noktası yerel minimum ve aynı zamanda mutlak minimum noktasıdır; C noktası yerel maksimum noktasıdır ve D noktası yerel minimum noktasıdır. Fonksiyon grafiği incelendiğinde fonksiyonun verilen aralıkta türevlenebildiği açıkça görülmektedir.
7.Soru
noktasındaki teğet doğrusunun eğimi 8 ise m katsayısı aşağıdakilerden hangisidir?
|
0 |
|
-1 |
|
1 |
|
2 |
|
-2 |
olur. Doğru cevap C’dir.
8.Soru
Bir malın veya hizmetin satın alınmak istenen miktarı ile fiyatı arasındaki ters yönlü ilişkiye verilen ad aşağıdakilerden hangisidir?
|
Ceteris Paribus |
|
Başabaş noktası |
|
Talep kanunu |
|
Arz kanunu |
|
Denge sabiti |
Bir malın veya hizmetin satın alınmak istenen miktarı ile fiyatı arasındaki ters yönlü ilişki, talep kanunu olarak adlandırılır.
9.Soru
A=[1 0;0 4] ve B=[2 6;4 8] olsun. A x B aşağıdakilerden hangisidir?
|
[2 6;16 32] |
|
[32 16;6 2] |
|
[16 2;32 6] |
|
[2 4;24 32] |
|
[32 24;4 2] |
[2 6;16 32]
10.Soru
f(x,y)=4x3+6y+2x2+xy-3x ise fxx(1,1) aşağıdakilerden hangisidir?
|
28 |
|
12 |
|
14 |
|
16 |
|
22 |
28
11.Soru
f(x,y) = In(x^2 + y^2) fonksiyonu verilmiştir. Buna göre fx (1,0) değeri aşağıdakilerden hangisidir?
|
2
|
|
0
|
|
3
|
|
4
|
|
5
|
12.Soru
f(x,y) = 4x^2 - 3y^2 + 4y - 5x + 1 fonksiyonu verilmiştir. Buna göre fx (1,1) değeri aşağıdakilerden hangisidir?
|
3
|
|
-3
|
|
4
|
|
-4
|
|
1
|
13.Soru
f(x,y)=3xy2-2y ise f(2,3)=?
|
46 |
|
54 |
|
85 |
|
102 |
|
146 |
f(x,y)=3xy2-2y fonksiyonunda değerler yerine yazılır.
f(2,3)=3.2.32-23=6.9-8=54-8=46
Doğru cevap A şıkkıdır.
14.Soru
f(x)=x3+3x2-9x+5 fonksiyonun yerel minimum değeri aşağıdakilerden hangisidir?
|
0 |
|
1 |
|
-3 |
|
2 |
|
-1 |
Fonksiyonun türevinin kökleri -3 ve 1'dir. Denklemde x yerine -3 konursa yerel maksimum değeri 32, 1 konursa da yerel minimum değeri 0 bulunur.
15.Soru
g(x,y,z)=
ise g(2,1,0) aşağıdakilerden hangisine eşittir?
|
1 |
|
2 |
|
4 |
|
8 |
|
16 |
x yerine 2, y yerine 1, z yerine 0 yazılırsa, g(2,1,0)=(lne2)2+1+0/(2-1+0)=8 olur.
16.Soru
f fonksiyonunun tanım kümesi 2014 yılında Türkiye’deki illerin isimleri ve x bir il olmak üzere, f(x) ilin plaka numarası ise bu f fonksiyonunun görüntü kümesi aşağıdakilerden hangisidir?
|
{1,2,...,80,81}
|
|
{A,B,...,Z}
|
|
{0,1}
|
|
{a, A, b, B, c, C, ..., z, Z}
|
|
{1,2,3,...,29}
|
17.Soru
f(x,y) = x6 + 5y2 olduğuna göre fx(2,3) aşağıdakilerden hangisine eşittir?
|
230 |
|
192 |
|
200 |
|
150 |
|
137 |
x’e göre kısmi türev alınırsa y sabit olarak düşünülerek fx(x,y) = 6x5 + 0 elde edilir. Buna göre fx(2,3) için x yerine 2, y yerine 3 yazılırsa, fx(2,3)= 6.25 =192 elde edilir. Doğru cevap B’dir.
19.Soru
h(x,y)=x2+3y2+xy+6x-8y fonksiyonunun kritik noktaları aşağıdakilerden hangisidir?
|
(1,2) |
|
(-1,-2) |
|
(2,-4) |
|
(-2,4) |
|
(3,6) |
Hem hx hem de hy‘yi sıfır yapan değer ya da değerleri bulmalıyız. hx(x,y)=2x+y+6=0 ve hy(x,y)=6y+x-8=0 olmalıdır. 2x+y=-6, x+6y=8 denklem sisteminde ikinci denklemi -2 ile çarpar ve denklemleri alt alta toplarsak y=2 sonucunu elde ederiz. İkinci denklemde y'i yerine koyarsak x=-4 elde ederiz. Kritik noktamız (2,-4) olur.
20.Soru
f(x)=1/(x+1) ise f'(1) aşağıdakilerden hangisidir?
|
-1/4 |
|
-1/2 |
|
1/2 |
|
1/4 |
|
1 |
f'(x)=(0•(x+1)-1•1)/(x+1)2 olur ve x yerine 1 konulursa sonuç -1/4 olarak bulunur.
-
- 1.SORU ÇÖZÜLMEDİ
- 2.SORU ÇÖZÜLMEDİ
- 3.SORU ÇÖZÜLMEDİ
- 4.SORU ÇÖZÜLMEDİ
- 5.SORU ÇÖZÜLMEDİ
- 6.SORU ÇÖZÜLMEDİ
- 7.SORU ÇÖZÜLMEDİ
- 8.SORU ÇÖZÜLMEDİ
- 9.SORU ÇÖZÜLMEDİ
- 10.SORU ÇÖZÜLMEDİ
- 11.SORU ÇÖZÜLMEDİ
- 12.SORU ÇÖZÜLMEDİ
- 13.SORU ÇÖZÜLMEDİ
- 14.SORU ÇÖZÜLMEDİ
- 15.SORU ÇÖZÜLMEDİ
- 16.SORU ÇÖZÜLMEDİ
- 17.SORU ÇÖZÜLMEDİ
- 18.SORU ÇÖZÜLMEDİ
- 19.SORU ÇÖZÜLMEDİ
- 20.SORU ÇÖZÜLMEDİ