Matematik 1 Final 9. Deneme Sınavı
Toplam 19 Soru1.Soru
ise fxx(2,1) aşağıdakilerden hangisine eşittir?
|
e-2 |
|
e+2 |
|
e2 |
|
e2-2 |
|
e2+2 |
y sabit düşünülüp x’e göre türev alınırsa, fx(x,y)=yexy+2(x-y)+1/y bulunur. Elde edilen fonksiyonda tekrar y sabit düşünülüp x’e göre türev alınırsa, fxx(x,y)=y2exy+2 bulunur. x yerine 2 yerine y yerine 1 yazılırsa e2+2 elde edilir.
3.Soru
ise x=?
|
11 |
|
10 |
|
9 |
|
8 |
|
7 |
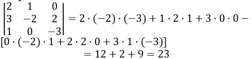
Sarrus kuralına göre verilen determinant hesaplanırsa
olur. Sorulan eşitlik 23=2x+1 denklemine dönüşür. Buradan x=11 elde edilir.
4.Soru
Bir satıcı tanesi 5 liradan bir ürün satın almaktadır. Sabit giderleri de 3000 liradır. Buna göre ürünün marjinal maliyeti nedir?
|
5
|
|
6
|
|
100
|
|
600
|
|
3000
|
6.Soru
doğrularının kesişim noktası aşağıdakilerden hangisidir?
|
|
|
|
|
|
|
|
|
|
Bu iki denklemi eşitlersek
olarak elde edilir. Bulduğumuz bu x değerini birinci denklemde yerine koyarsak,
bulunur. Doğru cevap B seçeneğidir.
7.Soru
İkinci dereceden bir polinomun diskriminantı 0'dan büyükse, aşağıdakilerden hangisi doğrudur?
|
Birbirinden farklı iki kök vardır.
|
|
Kök yoktur.
|
|
Tek kök vardır.
|
|
Kökler imajiner sayılardır.
|
|
Köklerin ikisi de 0'dır.
|
8.Soru
Bir beyaz eşya firması piyasa fiyatı 800 TL olduğunda, piyasaya 100 adet çamaşır makinesi sürüyor. Fiyat 900 TL olduğunda piyasaya 120 adet çamaşır makinesi sürüyor. Bu firma, fiyatı kaç TL olduğunda piyasaya 150 adet çamaşır makinesi sürer?
|
1000 TL |
|
1030 TL |
|
1050 TL |
|
1080 TL |
|
1100 TL |
Bu iki noktayı (x1,p1)=(100,800) ve (x2,p2)=(120,900) olarak yazabiliriz. p=mx+b biçimindeki arz doğrusunun eğimi
ile hesaplanır.
ise p-800=5x-500 olur. Buradan p=5x+300 denklemi bulunur. Denklemde x yerine 150 yazılırsa p= 1050 TL bulunur.
9.Soru
Matrislerin determinantlarını kullanarak sistemin çözümünü bulmaya verilen ad aşağıdakilerden hangisidir?
|
Adler yöntemi |
|
Cramer yöntemi |
|
Pavlov yöntemi |
|
Thales yöntemi |
|
Archimedes yöntemi |
Matrislerin determinantlarını kullanarak sistemin çözümünü bulmaya Cramer yöntemi denir.
10.Soru
|
|
|
|
|
|
|
|
|
|
Önce
sonra da
göre türev alınacak olursa
elde edilir. Buradan doğru cevap E’dir.
11.Soru
Logaritma cetvellerinin asıl amacı nedir?
|
Toplama işlemlerini yapabilmek
|
|
Çıkarma işlemlerini yapabilmek
|
|
Sayıların türevini hesaplayabilmek
|
|
Çarpma, bölme, üs alma , ortalama bulma gibi işlemleri kolaylaştırmak
|
|
Mantıksal işlemleri yapabilmek
|
12.Soru
Kare matris nedir?
|
Satır ve sütun sayıları birbirine eşittir.
|
|
Satır ve sütun sayıları tam sayıların katları şeklindedir.
|
|
Satır ve sütun sayıları bazı tam sayıların kareleridir.
|
|
Satır ve sütun sayıları bazı tam sayıların karekökleridir.
|
|
Satır sayısı sütun sayısının karesi veya tersidir.
|
13.Soru
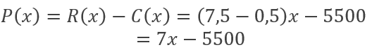
Bir malın sabit üretim giderleri 5500 TL, birim değişken maliyet 0,50 TL malın satış fiyatı da 7,50 TL ise kâr fonksiyonu aşağıdakilerden hangisidir
|
|
|
|
|
|
|
|
|
|
Toplam maliyet fonksiyonu
ve toplam gelir fonksiyonu
olduğundan kâr fonksiyonu
olur. Doğru cevap D’dir.
15.Soru
|
0 |
|
2 |
|
4 |
|
6 |
|
8 |
Paydayı sıfır yapan değer süreksiz noktayı verir.
x-6 =0
x=6
16.Soru
A={1,3} ve B={3,9} ise A ve B kümelerinin birleşim kümesi nedir?
|
{3}
|
|
{1,3}
|
|
{3,9}
|
|
{1}
|
|
{1,3,9}
|
17.Soru
fonksiyonunun kritik noktasında
toplamı kaçtır?
|
-2 |
|
-1 |
|
0 |
|
1 |
|
2 |
Hem
‘yi sıfır yapan değer ya da değerleri bulmalıyız.
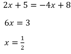
denklem sisteminde eşitlikleri alt alta toplar ve her iki tarafı 5’e bölersek
olur. Buradan
çıkarma işlemini yaparsak
olur. ikinci eşitlikte
yerine koyarsak
olur. Kritik nokta
toplamı ise
olur. Dolayısıyla cevap B seçeneği olur.
19.Soru
f(x, y) = 5x^2 + 11y^2 fonksiyonun x’e göre kısmi türevi aşağıdakilerden hangisidir?
|
10x
|
|
10y
|
|
22x
|
|
22y
|
|
10x + 22y
|
-
- 1.SORU ÇÖZÜLMEDİ
- 2.SORU ÇÖZÜLMEDİ
- 3.SORU ÇÖZÜLMEDİ
- 4.SORU ÇÖZÜLMEDİ
- 5.SORU ÇÖZÜLMEDİ
- 6.SORU ÇÖZÜLMEDİ
- 7.SORU ÇÖZÜLMEDİ
- 8.SORU ÇÖZÜLMEDİ
- 9.SORU ÇÖZÜLMEDİ
- 10.SORU ÇÖZÜLMEDİ
- 11.SORU ÇÖZÜLMEDİ
- 12.SORU ÇÖZÜLMEDİ
- 13.SORU ÇÖZÜLMEDİ
- 14.SORU ÇÖZÜLMEDİ
- 15.SORU ÇÖZÜLMEDİ
- 16.SORU ÇÖZÜLMEDİ
- 17.SORU ÇÖZÜLMEDİ
- 18.SORU ÇÖZÜLMEDİ
- 19.SORU ÇÖZÜLMEDİ