Matematik 2 Ara 1. Deneme Sınavı
Toplam 19 Soru1.Soru
y=f(x) fonksiyonunun grafiği aşağıda verilmiştir. Buna göre
integralinin sonucu nedir?
|
-1 |
|
0 |
|
3/2 |
|
2 |
|
5/2 |
Orijinden geçen bu doğrunun eğimi grafikten de görüldüğü gibi 1/4 olduğundan f(x)=x/4 bulunur. Böylece
olur.
4.Soru
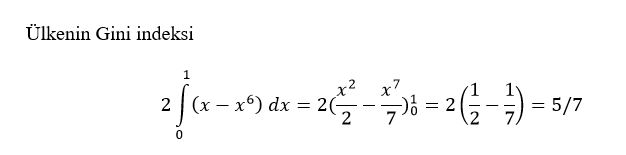
Aşağıdaki tabloda OECD verilerine göre beş ülkenin 2010 yılına ait Gini indeksleri verilmiştir. Buna göre göreceli olarak gelir dağılımının en iyi olduğu ülke aşağıdakilerden hangisidir?
|
Belçika |
|
Slovakya |
|
Finlandiya |
|
Çek Cumhuriyeti |
|
Danimarka |
Gini indeksinin 0’a yaklaşması, göreceli olarak gelirin daha iyi dağıtıldığını gösterir. Tabloya göre Danimarka’nın Gini indeksi diğer ülkelerle kıyaslandığında 0’a en yakın olan indekstir.
5.Soru
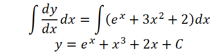
diferansiyel denkleminin genel çözümü aşağıdakilerden hangisidir?
|
|
|
|
|
|
|
|
|
|
sonucuna ulaşılır.
7.Soru
|
(1,3) |
|
(4,5) |
|
(3,4) |
|
(0,12) |
|
(1,8) |
(1,3) noktası eşitsizlikte yerine yazılırsa 4.1+2.3=10 ve 10<16 olduğundan eşitsizlik sağlanır.
9.Soru
integralinin sonucu aşağıdakilerden hangisidir?
|
31/3 |
|
7 |
|
15 |
|
14/3 |
|
5 |
31/3
10.Soru
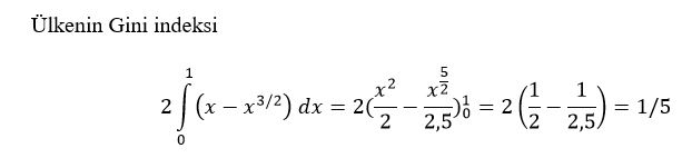
[0, 1] aralığında tanımlı
olmak üzere f fonksiyonunun {0, 1/4, 1/2, 3/4, 1} bölüntüsüne karşılık gelen üst toplamı aşağıdakilerden hangisidir?
|
5/32 |
|
7/32 |
|
15/32 |
|
19/32 |
|
30/32 |
f fonksiyonunun
{0, 1/4, 1/2, 3/4, 1} bölüntüsüne karşılık gelen üst toplamı Ü(f) ile gösterilsin. Bu durumda [0, 1] aralığı [0, 1/4] , [1/4,1/2] , [1/2,3/4] ve [3/4,1] şeklinde dört eşit parçaya ayrılmış olur. Aşağıda verilen grafikten de görüldüğü gibi [0, 1] aralığında f fonksiyonu artandır.
Böylece
olur.
12.Soru
Aşağıdaki noktalardan hangisi 5x+3y?20 2x+4y?45 x?0, y?0 Eşitsizliklerinin hepsini birden sağlar?
|
(7,8)
|
|
(4,3)
|
|
(3,3)
|
|
(4,4)
|
|
(5,5)
|
13.Soru
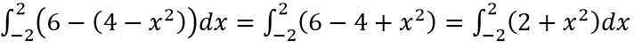
Alttan y=4-x2 parabolü, üstten y=6 ve yanlardan x=2 ve x=-2 ile sınırlı bölgenin alanı kaç br2’dir?
|
16/3 |
|
8 |
|
12 |
|
40/3 |
|
16 |
15.Soru
Gini indeksi hangi aralıkta olabilir?
|
-1, 1
|
|
-1, 0
|
|
0, 1
|
|
0, 2
|
|
1, 2
|
17.Soru
|
132000 |
|
144000 |
|
154000 |
|
140000 |
|
160000 |
18.Soru
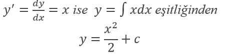
diferansiyel denkleminin y(0)=2 koşulunu sağlayan çözümü aşağıdakilerden hangisidir?
|
|
|
|
|
|
|
|
|
|
Verilen ifade de her iki tarafın x‘e göre integralini alırsak
elde ederiz. y(0)=2 olması istendiğinden
ve c=1 bulunur.
19.Soru
Belli bir zaman diliminde, bireyin diğer mal ve hizmetlerden olan tüketimi sabit iken, bir malın çeşitli miktarda tüketilmesi sonucu ulaşılan tatmin düzeyine ne ad verilir?
|
Çapraz esneklik |
|
Toplam fayda |
|
Piyasa fiyatı |
|
Talep |
|
Rant |
Belli bir zaman diliminde, bireyin diğer mal ve hizmetlerden olan tüketimi sabit iken, bir malın çeşitli miktarda tüketilmesi sonucu ulaşılan tatmin düzeyine toplam fayda denir.
-
- 1.SORU ÇÖZÜLMEDİ
- 2.SORU ÇÖZÜLMEDİ
- 3.SORU ÇÖZÜLMEDİ
- 4.SORU ÇÖZÜLMEDİ
- 5.SORU ÇÖZÜLMEDİ
- 6.SORU ÇÖZÜLMEDİ
- 7.SORU ÇÖZÜLMEDİ
- 8.SORU ÇÖZÜLMEDİ
- 9.SORU ÇÖZÜLMEDİ
- 10.SORU ÇÖZÜLMEDİ
- 11.SORU ÇÖZÜLMEDİ
- 12.SORU ÇÖZÜLMEDİ
- 13.SORU ÇÖZÜLMEDİ
- 14.SORU ÇÖZÜLMEDİ
- 15.SORU ÇÖZÜLMEDİ
- 16.SORU ÇÖZÜLMEDİ
- 17.SORU ÇÖZÜLMEDİ
- 18.SORU ÇÖZÜLMEDİ
- 19.SORU ÇÖZÜLMEDİ