Matematik 2 Ara 12. Deneme Sınavı
Toplam 19 Soru1.Soru
Aşağıdaki noktalardan hangisi -x + 5y ? 4 eşitsizliğini sağlar?
|
(0,0) |
|
(1,-1) |
|
(1,1) |
|
(3,1) |
|
(8,2) |
(1,1) noktasını eşitsizlikte yerine yazarsak, -x+5y=-1+5.1=4 olup doğru cevap C dir.
2.Soru
Laboratuvar ortamında bir bakteri türünün sayısının orantısal olarak arttığı gözlenmiştir. İlk başta laboratuvar ortamında 400 bakteri bulunurken 12 saat sonra bakteri sayısı 600’e ulaşmıştır. 6 saat sonra laboratuvar ortamında kaç bakteri bulunur? (İstenen bakteri sayısı B ile gösterilsin)
|
|
|
|
|
|
|
|
|
|
Başlangıçta laboratuvar ortamında 400 bakteri bulunduğundan y(0)=400 ve 12 saat sonra 600 bakteri bulunduğundan y(12)=600 ’dür. Bu problemi çözmek için nüfus artış problemlerinde de kullanılan dy/dt=Ky diferansiyel denklemini kullanalım.
olur. Buradan
olur. Eşitliğin her iki tarafının doğal logaritması alınırsa
Başlangıçtan itibaren t=12+6=18 saat sonraki bakteri sayısı istediğinden
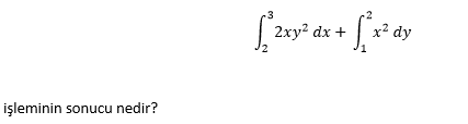
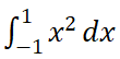
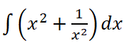
3.Soru
integralinin sonucu aşağıdakilerden hangisidir?
|
|
|
|
|
|
|
|
|
|
olduğundan
olur.
4.Soru
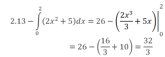
x miktarı ve p fiyatı göstermek üzere bir malın arz fonksiyonu p=2x2+5 şeklinde verilmiştir. Buna göre p0=13 fiyatındaki üretici rantı aşağıdakilerden hangisidir?
|
32/3 |
|
16/3 |
|
46/3 |
|
26/3 |
|
12 |
Arz fonksiyonunda p0=13 değerini yerine yazarsak, 13=2x2+5 eşitliğinden 2x2=8 ve x2 =4 bulunur. Buradan x=2 veya x=-2 dir. Arz miktarı negatif olamayacağından x0=2 olup üretici rantı,
sonucuna ulaşılır.
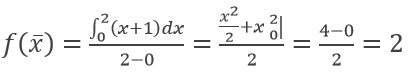
5.Soru
f(x)=x+1 fonksiyonunun [0,2] aralığındaki ortalama değeri aşağıdakilerden hangisidir?
|
2 |
|
4 |
|
6 |
|
8 |
|
10 |
f fonksiyonu [0,2] aralığında sürekli olduğundan, bu aralıktaki ortalama değeri,
olarak bulunur.
7.Soru
Arz ve talep miktarını eşit olduğu noktadaki fiyatın adı aşağıdaki seçeneklerin hangisinde doğru olarak verilmiştir?
|
Rant Fiyatı
|
|
Tüketici Fiyatı
|
|
Arz Fiyatı
|
|
Talep Fiyatı
|
|
Piyasa Fiyatı
|
10.Soru
integralinin değeri aşağıdakilerden hangisidir?
|
-2/3 |
|
-1/3 |
|
0 |
|
1/3 |
|
2/3 |
11.Soru
|
(1,1) |
|
(3,3) |
|
(3,4) |
|
(2,3) |
|
(2,2) |
Taralı bölgeye göre doğru cevap A şıkkıdır.
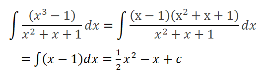
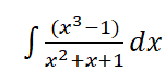
15.Soru
integralinin sonucu nedir?
|
|
|
|
|
|
|
|
|
|
u=x2+1 değişken değiştirmesi yapılarak du=2xdx bulunur. Böylece
bulunur. u=x2+1 olduğundan
olur.
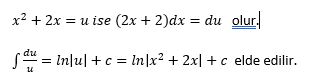
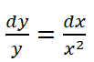
16.Soru
diferansiyel denkleminin y(-1)=e koşulunu sağlayan çözümü aşağıdakilerden hangisidir?
|
|
|
|
|
|
|
|
|
|
İfadeyi
formunda yazarak her iki tarafı integre edersek
buluruz. Buradan
elde ederiz.
diyecek olursak
elde ederiz. y(-1)=e olması istendiğinden c=1 olur.
17.Soru
|
(2,0) |
|
(3,4) |
|
(-1,-1) |
|
(5,1) |
|
(-1,6) |
Eşitsizliği sağlayan nokta (-1-1) dir.
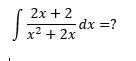
18.Soru
integralinin sonucu aşağıdakilerden hangisidir?
|
|
|
|
|
|
|
|
|
|
olduğundan
olur.
19.Soru
Aşağıdaki noktalardan hangisi
eşitsizliğini sağlar?
|
(4,3) |
|
(2,2) |
|
(-1,0) |
|
(-2,4) |
|
(3,4) |
2x+3y= 6 doğrusu düzlemi iki parçaya böler. Verilen noktalardan (-1,0) noktası bu doğrunun altında kaldığından eşitsizlik sağlanır. Yani
olduğundan (-1,0) noktası eşitsizliği sağlar.
-
- 1.SORU ÇÖZÜLMEDİ
- 2.SORU ÇÖZÜLMEDİ
- 3.SORU ÇÖZÜLMEDİ
- 4.SORU ÇÖZÜLMEDİ
- 5.SORU ÇÖZÜLMEDİ
- 6.SORU ÇÖZÜLMEDİ
- 7.SORU ÇÖZÜLMEDİ
- 8.SORU ÇÖZÜLMEDİ
- 9.SORU ÇÖZÜLMEDİ
- 10.SORU ÇÖZÜLMEDİ
- 11.SORU ÇÖZÜLMEDİ
- 12.SORU ÇÖZÜLMEDİ
- 13.SORU ÇÖZÜLMEDİ
- 14.SORU ÇÖZÜLMEDİ
- 15.SORU ÇÖZÜLMEDİ
- 16.SORU ÇÖZÜLMEDİ
- 17.SORU ÇÖZÜLMEDİ
- 18.SORU ÇÖZÜLMEDİ
- 19.SORU ÇÖZÜLMEDİ