Matematik 2 Ara 16. Deneme Sınavı
Toplam 18 Soru1.Soru
Bir tekstil atölyesinde yastık kılıfı ve çarşaf üretimi yapılmaktadır. Atölyede 4000 metre kumaş ve 9000 metre iplik mevcuttur. Bir yastık kılıfı üretmek için 1 metre kumaş ve 3 metre iplik; bir çarşaf üretmek için ise 4 metre kumaş ve 8 metre iplik gerekmektedir. Yastık kılıflarının tanesi 10 liradan, çarşafın tanesi ise 30 liradan satıldığına göre atölyedeki malzemeler kullanılarak maksimum ne kadar gelir elde edilir?
|
32500 |
|
30000 |
|
40000 |
|
37500 |
|
45000 |
Geliri maksimum yapan yastık kılıfı sayısına x, çarşaf sayısına ise y diyelim. Bu durumda amaç fonksiyonu f(x,y)=10x+30y olur. Problemdeki diğer kısıtlar ise
şeklindedir. f fonksiyonunun tanım kümesinin oluşturduğu başka bir ifadeyle yukarıda verilen eşitsizliklerin hepsini sağlayan noktaların oluşturduğu bölgenin köşe noktaları (0,0), (3000,0), (1000,750) ve (0,1000) olur. Amaç fonksiyonunun bu köşe noktalarındaki değeri hesaplanırsa en büyük değerini (1000, 750) noktasında aldığı görülür. Buna göre 1000 tane yastık kılıfı ve 750 tane de çarşaf üretilmelidir. Bu üretimden elde edilecek gelir ise
f(1000,750)=10.1000+30.750=32500 liradır.
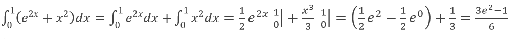
2.Soru
integralinin sonucu aşağıdakilerden hangisidir?
|
36 |
|
28 |
|
30 |
|
34 |
|
26 |
36
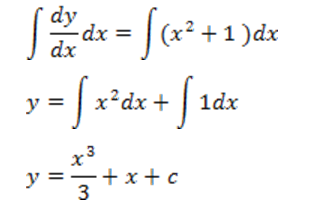
4.Soru
diferansiyel denkleminin x=0 için y=0 başlangıç değerine sahip çözümü aşağıdakilerden hangisidir?
|
|
|
|
|
|
|
|
|
|
elde edilir. x=0 için y=0 başlangıç değeri uygulanırsa 0=0+0+c eşitliğinden c=0 bulunur. O halde
diferansiyel denkleminin x=0 için y=0 başlangıç değerine sahip çözümü
olarak bulunur.
5.Soru
x>0 olmak üzere,
diferansiyel denkleminin genel çözümü aşağıdakilerden hangisidir?
|
|
|
|
|
|
|
|
|
|
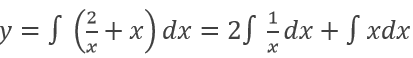
integralinden
bulunur.
7.Soru
Aşağıdakilerden hangisi doğrusal bir eşitsizliktir?
|
|
|
|
|
|
|
|
|
|
, b, c sabit sayılar olmak üzere
eşitsizliğine doğrusal eşitsizlik denir.
8.Soru
x miktarı ve p fiyatı göstermek üzere bir malın talep fonksiyonu p=10-x şeklinde veriliyor. Piyasa fiyatı 4 olduğuna göre tüketici rantı aşağıdakilerden hangisidir?
|
10 |
|
14 |
|
18 |
|
22 |
|
26 |
Piyasa fiyatı 4 değerini talep fonksiyonunda yerine yazarsak 4=10-x eşitliğinden x=6 olarak bulunur. Bu durumda tüketici rantı,
olarak bulunur.
9.Soru
diferansiyel denkleminin genel çözümü aşağıdakilerden hangisidir?
|
|
|
|
|
|
|
|
|
|
ifadesinde her iki tarafın da integrali alınırsa,
elde edilir.
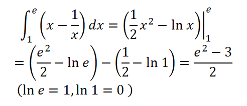
10.Soru
integralinin değeri aşağıdakilerden hangisidir?
|
|
|
|
|
0 |
|
|
|
|
11.Soru
işleminin sonucu aşağıdakilerden hangisidir?
|
|
|
|
|
|
|
|
|
|
12.Soru
diferansiyel denkleminin y(1)=0 koşuluna uyan çözümü aşağıdakilerden hangisidir?
|
|
|
|
|
|
|
|
|
|
şeklinde yazılabilir. Buradan
koşulu uygulanırsa
elde edilir. Böylece çözüm
olur.
13.Soru
diferansiyel denkleminin genel çözümü aşağıdakilerden hangisidir?
|
|
|
|
|
|
|
|
|
|
eşitliğinde her iki tarafın x’e göre integrali alınırsa
olur.
14.Soru
x>0 olmak üzere,
diferansiyel denkleminin genel çözümü aşağıdakilerden hangisidir?
|
|
|
|
|
|
|
|
|
|
15.Soru
integralinin değeri aşağıdakilerden hangisidir?
|
|
|
|
|
|
|
|
|
|
16.Soru
Aşağıdaki noktalardan hangisi x+y? 6, x?0, y?0 eşitsizliklerinin hepsini birden sağlar?
|
(-2, 4)
|
|
(-2, -2)
|
|
( 3, 3)
|
|
(3, -2)
|
|
(6, 6 )
|
17.Soru
Bir problemde iki değil de üç tane karar değişkeni var ise çözüm kümesine nerede bakılmalıdır?
|
Üç boyutlu uzay |
|
Düzlem |
|
İki boyutlu uzay |
|
Eksen |
|
Çözüm kümesi |
Bir problemde iki değil de üç tane karar değişkeni varsa bu durumda problemin tanım kümesi üç boyutlu uzayda bulunur.
18.Soru
Bir kimyasal maddenin 4024 yıl sonra üçte biri kalmıştır. Buna göre bu kimyasal maddenin bozunma sabiti nedir?
|
0,000273
|
|
0,000124
|
|
0,000382
|
|
0,000259
|
|
0,000322
|
-
- 1.SORU ÇÖZÜLMEDİ
- 2.SORU ÇÖZÜLMEDİ
- 3.SORU ÇÖZÜLMEDİ
- 4.SORU ÇÖZÜLMEDİ
- 5.SORU ÇÖZÜLMEDİ
- 6.SORU ÇÖZÜLMEDİ
- 7.SORU ÇÖZÜLMEDİ
- 8.SORU ÇÖZÜLMEDİ
- 9.SORU ÇÖZÜLMEDİ
- 10.SORU ÇÖZÜLMEDİ
- 11.SORU ÇÖZÜLMEDİ
- 12.SORU ÇÖZÜLMEDİ
- 13.SORU ÇÖZÜLMEDİ
- 14.SORU ÇÖZÜLMEDİ
- 15.SORU ÇÖZÜLMEDİ
- 16.SORU ÇÖZÜLMEDİ
- 17.SORU ÇÖZÜLMEDİ
- 18.SORU ÇÖZÜLMEDİ