Matematik 2 Ara 18. Deneme Sınavı
Toplam 20 Soru1.Soru
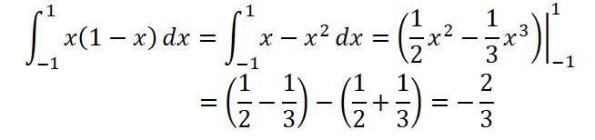
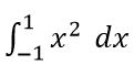
integralinin değeri aşağıdakilerden hangisidir?
|
-2/3 |
|
-1/3 |
|
0 |
|
1/3 |
|
2/3 |
2.Soru
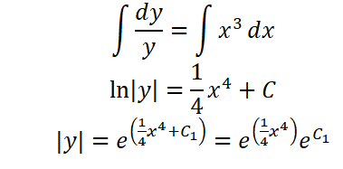
diferansiyel denkleminin genel çözümü aşağıdakilerden hangisidir?
|
|
|
|
|
|
|
|
|
|
ise
olduğundan
bulunur.
3.Soru
x miktarı p fiyatı göstermek üzere bir malın arz fonksiyonu
şeklinde verilsin. Piyasa fiyatı 11 olduğuna göre üretici rantı aşağıdakilerden hangisidir?
|
15 |
|
16 |
|
17 |
|
18 |
|
19 |
Arz fonksiyonunda piyasa fiyatı olan 11’i yerine yazalım:
olacaktır. Miktar negatif olamayacağı için x=3 olarak alınır. Bu değeri de x°=3 şeklinde göstererek
formülünü kullanarak
olarak bulunur.
4.Soru
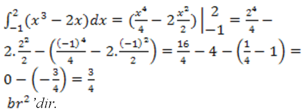
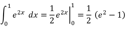
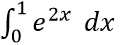
integralinin sonucu aşağıdakilerden hangisidir?
|
1/4 |
|
3/4 |
|
4 |
|
6 |
|
16 |
6.Soru
fonksiyonu aşağıdaki diferansiyel denklemlerden hangisinin bir çözümüdür?
|
|
|
|
|
|
|
|
|
|
ifadesinde her iki tarafın türevini alırsak,
elde edilir.
olduğundan bu değer türev fonksiyonunda yerine yazılırsa
olduğu görülür.
7.Soru
diferansiyel denkleminin genel çözümü aşağıdakilerden hangisidir?
|
|
|
|
|
|
|
|
|
|
Verilen denklemi
olarak yazalım. Burada her iki tarafın integralini alırsak
ve buradan da
diyecek olursak
olarak elde ederiz.
8.Soru
Aşağıdaki noktalardan hangisi
eşitsizliklerinin hepsini birden sağlar?
|
(-2,3) |
|
(3,2) |
|
(-3,-2) |
|
(3,-2) |
|
(1,4) |
(3,2) noktası 2x+3y=12 doğrusunun tam üzerindedir ve her iki bileşeni de sıfırdan büyüktür. Yani,
sağlanır.
9.Soru
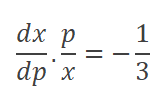
Bir malın talep fiyat esnekliği 1/3 olarak verilsin. Bu malın miktarı ve fiyatı arasındaki ilişkiyi veren talep denklemi aşağıdakilerden hangisidir?
|
|
|
|
|
|
|
|
|
|
Talep fonksiyonununun türevi negatif olduğundan
ifadesi
şeklinde yazılabilir. Bu diferansiyel denklemi değişkenlerine ayırıp çözelim: c sabit bir gerçel sayı olmak üzere
elde edilir.
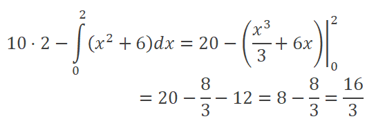
10.Soru
x miktarı ve p fiyatı göstermek üzere bir malın talep fonksiyonu
ve arz fonksiyonu
şeklinde verilmiştir. Buna göre piyasa fiyatı düzeyindeki tüketici rantı aşağıdakilerden hangisidir?
|
18 |
|
12 |
|
10 |
|
16/3 |
|
5 |
Arz ve talebin eşit olduğu noktadaki fiyat piyasa fiyatı olduğuna göre
elde edilir. Bu değeri arz fonksiyonunda yerine yazılırsa,
bulunur. Buna göre
ve
olur. Buradan tüketici rantı
ve üretici rantı
olur.
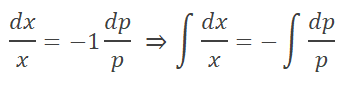
11.Soru
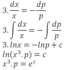
Bir malın talep fiyat esnekliği 1 olarak verildiğine göre bu malın miktarı ve fiyatı arasındaki ilişkiyi veren talep denklemi aşağıdakilerden hangisidir?
|
|
|
|
|
|
|
|
|
|
Talep fonksiyonunun türevi negatif olduğundan,
ifadesini
şeklinde yazabiliriz. Elde ettiğimiz bu diferansiyel denklemi düzenlersek,
eşitliğinden,
lnx=-lnp+C olup lnx+lnp=C elde edilir. Buradan logaritma özelliklerini kullanarak, ln(x.p)=C bulunur. Her iki taraf e tabanında yazılırsa, xp=eC elde edilir.
12.Soru
integralinin değeri aşağıdakilerden hangisidir?
|
|
|
|
|
|
|
|
|
|
13.Soru
diferansiyel denkleminin genel çözümü aşağıdakilerden hangisidir?
|
|
|
|
|
|
|
|
|
|
Denklemi dy/y=4dx olarak yazalım ve her iki tarafın integralini alalım. Böylece ln|y|=4x+c1 elde ederiz. Buradan
bulunur.
dersek denklemin genel çözümü olarak
elde ederiz.
14.Soru
Aşağıdakilerden hangisi talep edilen miktarı etkileyen bir değişikliktir?
|
Nüfus sayısı |
|
Tercihlerin değişmesi |
|
Talep edilen malın fiyatının değişmesi |
|
Çapraz esnekliği bulunan malın fiyatının değişmesi |
|
Tamamlayıcı malın fiyatının değişmesi |
Talep edilen malın fiyatının değişmesi talep edilen miktarı etkileyen bir değişikliktir. Bu durumda talep eğrisi sağa ya da sola kaymaktadır.
15.Soru
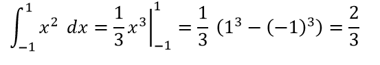
integralinin değeri aşağıdakilerden hangisidir?
|
-2/3 |
|
-1/3 |
|
0 |
|
1/3 |
|
2/3 |
17.Soru
eşitsizliğini sağlayan noktaların grafiği aşağıdakilerden hangisidir?
|
|
|
|
|
|
|
|
|
|
20.Soru
Aşağıdaki noktalardan hangisi 2x + y ? 8 ve x + 5y ? 4 eşitsizliklerinin ikisini birden sağlar?
|
(-3,0) |
|
(5,0) |
|
(1,-1) |
|
(1,1) |
|
(4,3) |
(1,1) noktası her iki eşitliğide sağlar.
-
- 1.SORU ÇÖZÜLMEDİ
- 2.SORU ÇÖZÜLMEDİ
- 3.SORU ÇÖZÜLMEDİ
- 4.SORU ÇÖZÜLMEDİ
- 5.SORU ÇÖZÜLMEDİ
- 6.SORU ÇÖZÜLMEDİ
- 7.SORU ÇÖZÜLMEDİ
- 8.SORU ÇÖZÜLMEDİ
- 9.SORU ÇÖZÜLMEDİ
- 10.SORU ÇÖZÜLMEDİ
- 11.SORU ÇÖZÜLMEDİ
- 12.SORU ÇÖZÜLMEDİ
- 13.SORU ÇÖZÜLMEDİ
- 14.SORU ÇÖZÜLMEDİ
- 15.SORU ÇÖZÜLMEDİ
- 16.SORU ÇÖZÜLMEDİ
- 17.SORU ÇÖZÜLMEDİ
- 18.SORU ÇÖZÜLMEDİ
- 19.SORU ÇÖZÜLMEDİ
- 20.SORU ÇÖZÜLMEDİ