Matematik 2 Ara 6. Deneme Sınavı
Toplam 19 Soru1.Soru
Talep eğrisinin kaymasına neden olan faktörlere bir örnek veriniz?
|
Arzın artması |
|
Fiyatların artması |
|
Arzın azalması |
|
Fiyatların azalması |
|
Talebin fiyat esnekliği |
Talep eğrisinin kaymasına neden olan faktörlerden biri fiyatların artmasıdır.
2.Soru
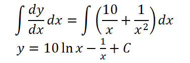
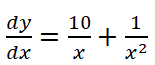
diferansiyel denkleminin genel çözümü aşağıdakilerden hangisidir?
|
|
|
|
|
|
|
|
|
|
ise eşitliğin her iki tarafının x’e göre integrali alınırsa
bulunur.
3.Soru
x>0 olmak üzere
diferansiyel denkleminin genel çözümü aşağıdakilerden hangisidir?
|
|
|
|
|
|
|
|
|
|
Verilen ifade de her iki tarafın x‘e göre integralini alırsak
elde edilir.
5.Soru
Arz ve talep miktarının eşit olduğu noktadaki fiyatı aşağıdakilerden hangisi tanımlar?
|
Gini indeksi |
|
Lorenz fonksiyonu |
|
arz |
|
Üretici rantı |
|
Piyasa fiyatı |
Piyasa fiyatı arz ve talep miktarının eşit olduğu noktadaki fiyattır.
6.Soru
Satın almak istediğimiz bir mal veya hizmeti istekli olduğumuz fiyatın altında aldığımızda sağlamış olduğumuz kazancı neyle tanımlarız?
|
Arz |
|
Talep |
|
Üretici rantı |
|
Tüketici rantı |
|
Gini indeksi |
Satın almak istediğimiz bir mal veya hizmeti istekli olduğumuz fiyatın altında aldığımızda sağlamış olduğumuz kazanç tüketici rantıdır.
7.Soru
f(x,y)=3x+4y amaç fonksiyonunun,
eşitsizliği ile verilen küme üzerindeki maksimum değeri nedir?
|
4 |
|
6 |
|
10 |
|
12 |
|
14 |
x+2y=6 ve x+y=4 denklem sistemi çözüldüğünde x+2y=6 ve x+y=4 doğrularının (2,2) noktasında kesiştikleri görülür. Çokgen bölgenin köşe noktaları:(0,0), (0,3), (4,0) ve (2,2) dir. Amaç fonksiyonunun bu noktalardaki değerleri f(0,0)=0, f(0,3)=12, f(4,0)=12 ve f(2,2)=14 olur. Bu fonksiyon değerlerinin en büyüğü 14 olduğuna göre amaç fonksiyonunun bu çokgen bölge üzerindeki maksimum değeri 14 olur.
8.Soru
Yukarıda çözüm kümesi verilen eşitsizlik aşağıdakilerden hangisidir?
|
|
|
|
|
|
|
|
|
|
Eksenleri (7,0) ve (0,5) noktalarında kesen doğru denklemi 5x+7y=35’dir. Verilen çözüm kümesi
eşitsizliğinin çözüm kümesidir.
10.Soru
Bir fabrikada iki tür kutu üretilmektedir. Fabrikada 1000 cm3 tahta ve 10 kilo tutkal bulunmaktadır. İlk kutunun üretimi için 80cm3 tahta ve 50 gr tutkal, ikinci kutunun üretimi için ise 60cm3 tahta ve 40 gr tutkal gerekmektedir. Birinci kutu 40 liradan ikinci kutu ise 30 liradan satıldığına göre fabrikadaki malzemeler kullanılarak maksimum gelir elde edilmek istenmektedir. Bu problem durumunun amaç fonksiyonu aşağıdakilerden hangisidir? (f(x,y) maksimum gelir olmak üzere x: Satılan birinci kutu sayısı, y: Satılan ikinci kutu sayısı)
|
f(x,y)=80x+50y |
|
f(x,y)=40x+30y |
|
f(x,y)=60x+40y |
|
f(x,y)=80x+60y |
|
f(x,y)=50x+40y |
Birinci kutu 40 liradan ikinci kutu ise 30 liradan satıldığına göre maksimum gelir elde etmek için amaç fonksiyonu f(x,y)=40x+30y şeklindedir.
11.Soru
diferansiyel denkleminin genel çözümü aşağıdakilerden hangisidir?
|
|
|
|
|
|
|
|
|
|
ise
ve buradan
bulunur.
12.Soru
f(x)=x2-2x+1 fonksiyonunun [0,3] aralığı üzerindeki ortalama değeri aşağıdakilerden hangisidir?
|
2 |
|
3 |
|
1 |
|
1/2 |
|
3/2 |
2
13.Soru
|
0,88 |
|
0,55 |
|
0,11 |
|
0,66 |
|
0,33 |
Yani 0,66 olarak sonucu buluruz.
14.Soru
Bir popülasyondaki mikroorganizma sayısındaki artış hızı mevcut mikroorganizma sayısı ile orantılıdır. Popülasyondaki mikroorganizma sayısı 3 yılda 2 katına çıktığına göre mikroorganizma sayısı kaç yılda 4’e katlanır?
|
3
|
|
4
|
|
5
|
|
6
|
|
7
|
15.Soru
f(x,y)=9x+13y amaç fonksiyonunun aşağıda verilen çokgen bölge üzerindeki en büyük değeri kaçtır?
|
249 |
|
259 |
|
269 |
|
279 |
|
289 |
Çözüm: Verilen amaç fonksiyonu en büyük değerini (5,18) noktasında alır ve f(5,18)=9.5+13.18=279 bulunur.
16.Soru
Bir ülkenin istatistik kurumunun yayımladığı yüzde 20’lik fert gruplarına göre gelir dağılımı verilerinden elde edilen Lorenz fonksiyonu
şeklinde belirlenmiştir. Buna göre bu ülkenin Gini indeksi aşağıdakilerden hangisidir?
|
0,25 |
|
0,33 |
|
0,45 |
|
0,65 |
|
0,85 |
Bir ülkenin Gini indeksi
formülüyle bulunabilir. Buna göre
elde edilir.
18.Soru
“Belli bir zaman diliminde, bireyin diğer mal ve hizmetlerden olan tüketimi sabit iken, bir malın çeşitli miktarda tüketilmesi sonucu ulaşılan tatmin düzeyi” şeklinde tanımlanan kavram aşağıdakilerden hangisidir?
|
Talep |
|
Arz |
|
Tüketici rantı |
|
Üretici rantı |
|
Toplam fayda |
Belli bir zaman diliminde, bireyin diğer mal ve hizmetlerden olan tüketimi sabit iken, bir malın çeşitli miktarda tüketilmesi sonucu ulaşılan tatmin düzeyine toplam fayda denir.
19.Soru
Belirli Bir zaman aralığında piyasa üreticilerin değişik fiyat düzeyinde satmaya istekli oldukları mal veya hizmet miktarını tanımlayan ifade aşağıdakilerden hangisidir?
|
Tüketici rantı |
|
Üretici rantı |
|
arz |
|
talep |
|
Gini indeksi |
Arz belirli Bir zaman aralığında piyasa üreticilerin değişik fiyat düzeyinde satmaya istekli oldukları mal veya hizmet miktarıdır.
-
- 1.SORU ÇÖZÜLMEDİ
- 2.SORU ÇÖZÜLMEDİ
- 3.SORU ÇÖZÜLMEDİ
- 4.SORU ÇÖZÜLMEDİ
- 5.SORU ÇÖZÜLMEDİ
- 6.SORU ÇÖZÜLMEDİ
- 7.SORU ÇÖZÜLMEDİ
- 8.SORU ÇÖZÜLMEDİ
- 9.SORU ÇÖZÜLMEDİ
- 10.SORU ÇÖZÜLMEDİ
- 11.SORU ÇÖZÜLMEDİ
- 12.SORU ÇÖZÜLMEDİ
- 13.SORU ÇÖZÜLMEDİ
- 14.SORU ÇÖZÜLMEDİ
- 15.SORU ÇÖZÜLMEDİ
- 16.SORU ÇÖZÜLMEDİ
- 17.SORU ÇÖZÜLMEDİ
- 18.SORU ÇÖZÜLMEDİ
- 19.SORU ÇÖZÜLMEDİ